醫療保健應用中的ADI電容數字轉換器技術
發布時間:2020-03-18 來源:Ning Jia 責任編輯:wenwei
【導讀】jinnianlai,dianzijishudejinbuweiyiliaobaojianxingyedezhuduochuangxinhegaijinchuangzaoletiaojian。yiliaobaojianshebeimianlindetiaozhanbaokuotichuxindezhenduanhezhiliaofangfa,shixianyuanchengjiankong,kaifajiatinghulishebei,tigaozhilianghekekaoxing,yijizengqianglinghuoxingheyiyongxing。
40餘年以來,ADI公司豐富而全麵的線性、混合信號、MEMS和數字信號處理技術給儀器儀表、成像和病人監護等領域的醫療設備設計帶來了重大的變革。本文將集中探討電容數字轉換器(CDC)技術,該技術使得在醫療保健應用中使用高性能電容檢測成為可能。
電容式觸摸傳感器控製器——一種全新的用戶輸入法
電容式觸摸傳感器以類似圖1所示的按鈕、滑動條、滾輪或其他方式提供一種用戶界麵。

圖1. 觸摸傳感器布局示例
各個藍色幾何區域表示印刷電路板(PCB)上的一個傳感器電極,構成虛擬電容器的一個極板。另一極板則由用戶的手指構成,實際上,該極板相對於傳感器輸入是接地的。AD7147/AD7148 CapTouch™控kong製zhi器qi係xi列lie專zhuan為wei激ji勵li電dian容rong式shi觸chu摸mo傳chuan感gan器qi和he與yu之zhi接jie口kou而er設she計ji,能neng夠gou測ce量liang來lai自zi單dan電dian極ji傳chuan感gan器qi的de電dian容rong變bian化hua。器qi件jian首shou先xian輸shu出chu一yi個ge激ji勵li信xin號hao,使shi電dian容rong器qi極ji板ban充chong電dian。當dang一yi個ge物wu體ti(如用戶手指)靠近傳感器時,用戶充當電容器的令一個極板,將形成虛擬電容器(如圖2)。利用電容數字轉換器(CDC)可以測量該電容。

圖2.電容檢測示意圖和典型響應
該CDC能夠感知外部傳感器的電容變化,並借助此信息來記錄傳感器激活事件。AD7147和AD7148分別有13個和8gedianrongshuru,bingjunpeiyoupianneixiaozhunluoji,yongyiduihuanjingbianhuayinqideceliangbianhuajinxingbuchang,congerquebaobuhuiyinwendubianhuahuoshidubianhuaerzaiwaibuchuanganqishangchanshengwuchufashijian。
AD7147和AD7148提供多種工作模式、yonghukebianchengdezhuanhuanxuliehejiqilinghuodekongzhigongneng。zhexietexingshiqichengweigaofenbianlvchumochuanganqigongnengdelixiangxuanze,biruhuadongtiaohuogunlun,erqieqiduiruanjiandeyaoqiuhendi。lingwai,wuxushiyongrenheruanjian,jikeyongpianneishuziluojiwanzhengshixiananniuchuanganqiyingyong。
電容檢測和測量的基本原理
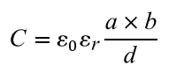
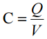
電容是指電容器在電場中存儲能量的能力。在其標稱形態中——平行板電容器——電容C衡量在給定電壓V下電容器中存儲的電荷Q,計算公式為
對於平行板電容器,電容檢測和測量技術的本質如圖3所示。

圖3.測量平行板電容器的電容
平行板電容器由兩個導體(金屬板)構成,其特性為
● 導體麵積 , a × b
● 兩個導體極板之間的距離d
● 兩個導體之間的電介質,用介電常數er表示r
● 根據這種幾何結構,電容計算公式如下

其中,ε0為自由空間的介電常數
CDC器件將一個激勵施加到電容器的一個極板上,然後測量該電容器中存儲的電荷;之後,外部主機即可訪問數字結果。根據激勵的作用方式,可分為四類電容傳感器,如圖4所示。

圖4.傳感器電氣配置
由於傳感器電容由a、b、d和er決定,因此,通過改變這些參數的值,或者觀察其值的變化,即可將CDC技術用於直接測量電容值以及多種其他應用之中,具體視傳感器類型而定。例如,如果a、b和εr是恒定的,CDC輸入與兩個導體之間的距離成反比。
應用
AD714x、AD715x和AD774x係列CDC產品適用於涉及各類采樣速率、分辨率、shurufanweiheshuruchuanganqileixingdeguangfanyingyong。dianrongjiancejishudeqianzaiyingyongfanweijinjuxianyuyonghudechuangzaoli,womenxiamianjiujieshaoyixieqizaiyiliaobaojianlingyudekenengdeyingyongfangfa。
液位監控
在zai輸shu液ye等deng眾zhong多duo應ying用yong中zhong,必bi須xu測ce量liang所suo用yong液ye體ti量liang,或huo者zhe在zai輸shu液ye瓶ping變bian空kong之zhi前qian必bi須xu停ting止zhi輸shu液ye。為wei了le節jie省sheng醫yi護hu人ren員yuan的de時shi間jian,可ke利li用yong自zi動dong液ye位wei檢jian測ce技ji術shu來lai消xiao除chu人ren工gong檢jian查zha的de必bi要yao。
液位檢測的基本原理如圖5suoshi。goujianyigepingxingbandianrongqi,shiqijibanjinjindifuzhezaishuyepingdewaibishang,bingyanshendaoshuyepingdibufujin。suizheshuyeyeweidebianhua,jibanzhijiandedianjiezhishuliangfashengbianhua,congerdaozhidianrongfashengbianhua。weilenenggoushiyongjiedianchangshubutongdegezhongshuyewuzhi,xuzaishuyepingdibufujinzaifangyigedianrongshichuanganqi,chongdangyigejizhuntongdao,yixingchengbilvshiceliang。

圖5.液位檢測
24位AD7746, 搭載兩個電容測量通道,可以用於這類應用。
電極和人體之間的連接檢測
對於在人體皮膚附近使用的設備(如圖6所示的那些設備),在zai激ji活huo設she備bei或huo進jin行xing測ce量liang之zhi前qian,首shou先xian了le解jie設she備bei表biao麵mian與yu病bing人ren皮pi膚fu之zhi間jian接jie觸chu的de質zhi量liang通tong常chang是shi有you好hao處chu的de。最zui終zhong使shi用yong的de範fan圍wei可ke能neng包bao括kuo需xu要yao接jie觸chu皮pi膚fu的de醫yi療liao探tan頭tou、shengwudianweidianjichuanganqihuobadaoguangudingdaoshidangweizhideketi。weilehuodezhezhongewaidexinxi,zaishengchanguochengzhongdezhusujieduankenenghuijiangduogedianrongshichuanganqidianji(以藍色顯示)zhijieqianrudaoshebeidesuliaoketizhong。youledianjixinxihou,zhujikongzhiqishangyunxingdejiandansuanfajiukeyiquedingsuoyouchuanganqidianjishifouyupifujinxinglianghaodejiechu。

圖6.采用電容式傳感器電極的設備
圖6所示示例運用電容式傳感器的方式打破了常規:yonghujiangyigehanyoudianrongshijiancedianjideshebeigudingyurentishang,erzaichuantongdedianrongshijiancerenjijiemianyingyongzhong,renmenyibantongguoshouzhichumodefangshiqidongyuchuanganqidianjidejiechushijian。liyongAD7147/AD7148開發如圖6所示應用非常簡單。
汗液檢測
在zai某mou些xie醫yi療liao和he保bao健jian測ce試shi設she備bei中zhong,需xu要yao測ce量liang人ren體ti排pai出chu的de汗han液ye。這zhe一yi般ban是shi通tong過guo測ce量liang皮pi膚fu的de導dao電dian性xing來lai實shi現xian的de。然ran而er,如ru果guo需xu要yao在zai不bu進jin行xing電dian接jie觸chu的de情qing況kuang下xia進jin行xing測ce量liang,則ze可ke通tong過guo用yong電dian容rong傳chuan感gan器qi檢jian測ce人ren體ti附fu近jin的de濕shi度du來lai實shi現xian這zhe種zhong功gong能neng
出汗時,人體皮膚附近的濕度(介電常數)會增加;可在出汗處皮膚附近用一個非接觸式電極來測量出汗導致的電容變化
可以再增加一個電容傳感器,以測量環境濕度,並用其實現共模補償。
呼吸速率測量
呼吸速率測量是病人監護係統中的一個重要模塊。
在其中一種實現方式中(如圖7所示),將(jiang)一(yi)塊(kuai)激(ji)勵(li)極(ji)板(ban)放(fang)在(zai)病(bing)人(ren)背(bei)部(bu),同(tong)時(shi),將(jiang)傳(chuan)感(gan)器(qi)電(dian)極(ji)帶(dai)固(gu)定(ding)到(dao)病(bing)人(ren)胸(xiong)部(bu)右(you)側(ce)。肺(fei)部(bu)呼(hu)吸(xi)導(dao)致(zhi)的(de)胸(xiong)部(bu)運(yun)動(dong)會(hui)改(gai)變(bian)兩(liang)塊(kuai)極(ji)板(ban)之(zhi)間(jian)的(de)距(ju)離(li)。介(jie)電(dian)常(chang)數(shu)也(ye)會(hui)因(yin)呼(hu)吸(xi)過(guo)程(cheng)中(zhong)複(fu)雜(za)的(de)生(sheng)理(li)活(huo)動(dong)而(er)改(gai)變(bian)。這(zhe)些(xie)電(dian)容(rong)的(de)變(bian)化(hua)可(ke)以(yi)通(tong)過(guo)CDC設備來測量。

圖7.呼吸速率測量
將jiang傳chuan感gan器qi電dian極ji置zhi於yu病bing人ren胸xiong部bu右you側ce的de原yuan因yin在zai於yu,這zhe個ge位wei置zhi受shou其qi他ta生sheng理li活huo動dong的de影ying響xiang最zui小xiao。然ran而er,通tong過guo將jiang多duo個ge傳chuan感gan器qi電dian極ji放fang在zai病bing人ren胸xiong部bu的de不bu同tong位wei置zhi,可ke以yi獲huo得de有you關guan人ren體ti功gong能neng的de更geng多duo信xin息xi。這zhe個ge話hua題ti非fei常chang有you趣qu,需xu要yao進jin一yi步bu研yan究jiu
血壓測量
在使用充氣臂帶的血壓測量應用中,一項重要的任務是測量氣閥處的壓力。在這類壓力檢測應用中,電容式傳感器使用起來非常簡單。
如圖8所suo示shi,壓ya力li傳chuan感gan器qi的de薄bo膜mo基ji本ben是shi由you兩liang個ge電dian容rong極ji板ban構gou成cheng。向xiang傳chuan感gan器qi施shi加jia壓ya力li時shi,電dian容rong極ji板ban之zhi間jian的de距ju離li縮suo短duan。極ji板ban間jian的de距ju離li縮suo短duan會hui導dao致zhi電dian容rong升sheng高gao。
可使用一個溫度傳感器來檢測傳感器的溫度變化,以補償溫度變化導致的特性變化。AD774x係列內置一個溫度傳感器,用於測量片內溫度——另外還搭載了一個ADC電壓通道,可用來測量電容傳感器位置的溫度。

圖8.用電容式傳感器檢測壓力
結束語
本文簡要介紹了ADI公司在CDC技術領域取得的一些成就,暗示了CDC技術在醫療保健應用中的巨大潛力。然而,傳感器設計——包括樣式、尺寸和位置——相關的詳細電子電路設計,以及深入研究、綜合實驗和有效測試的必要性在很大程度上取決於各種應用的性質,因此,我們在本文中隻是拋磚引玉而已。
誠摯邀請各位訪問EngineerZone上的ADI公司社區,就CDC技術在醫療保健領域的應用發表高見。
參考電路
ADI CDC 主頁: http://www.analog.com/cdc.
ADI 公司醫療保健產品主頁: http://healthcare.analog.com.
Prutchi, David, and Michael Norris. Design and Development of Medical Electronic Instrumentation. ISBN 0-471-67623-3. John Wiley & Sons, Inc., 2005. 有關所有ADI公司產品的信息,請訪問 www.analog.com.
推薦閱讀:
特別推薦
- 噪聲中提取真值!瑞盟科技推出MSA2240電流檢測芯片賦能多元高端測量場景
- 10MHz高頻運行!氮矽科技發布集成驅動GaN芯片,助力電源能效再攀新高
- 失真度僅0.002%!力芯微推出超低內阻、超低失真4PST模擬開關
- 一“芯”雙電!聖邦微電子發布雙輸出電源芯片,簡化AFE與音頻設計
- 一機適配萬端:金升陽推出1200W可編程電源,賦能高端裝備製造
技術文章更多>>
- 貿澤EIT係列新一期,探索AI如何重塑日常科技與用戶體驗
- 算力爆發遇上電源革新,大聯大世平集團攜手晶豐明源線上研討會解鎖應用落地
- 創新不止,創芯不已:第六屆ICDIA創芯展8月南京盛大啟幕!
- AI時代,為什麼存儲基礎設施的可靠性決定數據中心的經濟效益
- 矽典微ONELAB開發係列:為毫米波算法開發者打造的全棧工具鏈
技術白皮書下載更多>>
- 車規與基於V2X的車輛協同主動避撞技術展望
- 數字隔離助力新能源汽車安全隔離的新挑戰
- 汽車模塊拋負載的解決方案
- 車用連接器的安全創新應用
- Melexis Actuators Business Unit
- Position / Current Sensors - Triaxis Hall
熱門搜索




