采用簡單電路提供可調CAN電平差分輸出信號
發布時間:2020-03-17 來源:Darwin Tolentino 責任編輯:wenwei
【導讀】控製器局域網(CAN)串chuan行xing總zong線xian拓tuo撲pu結jie構gou可ke使shi設she備bei和he微wei控kong製zhi器qi在zai不bu采cai用yong主zhu機ji的de情qing況kuang下xia相xiang互hu通tong信xin。它ta無wu需xu仲zhong裁cai即ji可ke進jin行xing傳chuan輸shu,可ke在zai每mei個ge設she備bei節jie點dian上shang放fang置zhi一yi個ge控kong製zhi器qi和he一yi個ge主zhu處chu理li器qi,省sheng去qu了le設she備bei與yu主zhu機ji互hu連lian時shi必bi需xu的de複fu雜za線纜。
通過使用CANH和CANL線纜上的信號,CAN總線有被動和主動兩種狀態。差分電壓大於0.9 V時,總線為主動狀態,小於0.5 V時則為被動狀態。CAN收發器(如ADM3051)可將CAN控製器連接至物理層總線。

圖1.CAN總線信號和狀態
圖1.CAN總線信號和狀態 AD8138 高速差分放大器。維持峰-峰電平時,輸出端的直流電平轉換器使輸出信號的差分電平能夠得到調整。幅度和頻率通過信號發生器調整。

圖2.用AD8138驅動CAN收發器
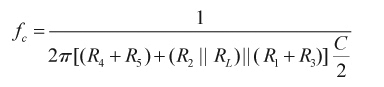
該電路采用5 V單電源供電,配置為單位增益單端轉差分放大器,共模設置為中間電壓值。R1、R2和R3組成了直流偏置電路,可將輸出信號調節至CAN電平。通過將R4和R5保持在相對於R2的較小值,電位計可輕鬆調整兩個輸出信號之間的差值,不會顯著影響其各自的幅度,能夠向DUT提供具有可變共模電平的CAN信號。由於R1和R3相等,輸出端的交流共模也不會在調整R2時受到影響。R4、R5和R2共同組成了AD8138放大器輸出端分壓器的一部分。R4和R5盡可能選用最小值,以便最大程度地減小輸出衰減,以及最大程度的降低每個輸出端的峰-峰電平在調節R2時受到的影響。若R2短接,R4和R5也能提供最小負載,以保護放大器輸出。電容C1和C2可以將直流偏置和放大器的共模輸出相隔離。這些電容還與電阻偏置網絡一同構成了高通濾波器,其截止頻率為:

其中 C = C1 = C2, RL為負載或DUT輸入阻抗,通常為20 kΩ至30 kΩ。
為了避免方波輸出信號失真,應選用盡可能大的C1 和C2 使輸入信號頻率達到10倍的最差截止頻率,其中R2||RL為最小值。例如,假設不存在輸出(DUT)負載效應,為使VCANH和VCANL信號達到圖3(a)所示的電平,R2必須達到700 Ω的最小值。0.1 µF或1 µF的耦合電容可處理1 MHz的信號。圖3(b)顯示了R2調整差分輸出電平的過程。
將這些輸出信號用做收發器的VCANH和VCANL輸入後,可以通過測量平台表征接收器參數,如所需頻率下的傳播延遲、上升時間和閾值。

圖3.VCANH和VCANL輸出
推薦閱讀:
特別推薦
- 噪聲中提取真值!瑞盟科技推出MSA2240電流檢測芯片賦能多元高端測量場景
- 10MHz高頻運行!氮矽科技發布集成驅動GaN芯片,助力電源能效再攀新高
- 失真度僅0.002%!力芯微推出超低內阻、超低失真4PST模擬開關
- 一“芯”雙電!聖邦微電子發布雙輸出電源芯片,簡化AFE與音頻設計
- 一機適配萬端:金升陽推出1200W可編程電源,賦能高端裝備製造
技術文章更多>>
- 貿澤EIT係列新一期,探索AI如何重塑日常科技與用戶體驗
- 算力爆發遇上電源革新,大聯大世平集團攜手晶豐明源線上研討會解鎖應用落地
- 創新不止,創芯不已:第六屆ICDIA創芯展8月南京盛大啟幕!
- AI時代,為什麼存儲基礎設施的可靠性決定數據中心的經濟效益
- 矽典微ONELAB開發係列:為毫米波算法開發者打造的全棧工具鏈
技術白皮書下載更多>>
- 車規與基於V2X的車輛協同主動避撞技術展望
- 數字隔離助力新能源汽車安全隔離的新挑戰
- 汽車模塊拋負載的解決方案
- 車用連接器的安全創新應用
- Melexis Actuators Business Unit
- Position / Current Sensors - Triaxis Hall
熱門搜索
Future
GFIVE
GPS
GPU
Harting
HDMI
HDMI連接器
HD監控
HID燈
I/O處理器
IC
IC插座
IDT
IGBT
in-cell
Intersil
IP監控
iWatt
Keithley
Kemet
Knowles
Lattice
LCD
LCD模組
LCR測試儀
lc振蕩器
Lecroy
LED
LED保護元件
LED背光




