高邊和低邊電流檢測技術分析
發布時間:2017-03-31 來源:Arpit Mehta 責任編輯:wenwei
【導讀】當dang代dai電dian子zi係xi統tong中zhong的de電dian源yuan管guan理li可ke以yi通tong過guo高gao效xiao的de電dian源yuan分fen配pei優you化hua係xi統tong效xiao率lv。電dian流liu檢jian測ce是shi電dian源yuan管guan理li的de關guan鍵jian技ji術shu之zhi一yi,它ta不bu僅jin有you助zhu於yu保bao持chi理li想xiang的de電dian壓ya等deng級ji,而er且qie能neng通tong過guo提ti供gong伺si服fu調tiao整zheng保bao持chi電dian子zi係xi統tong處chu於yu正zheng常chang狀zhuang態tai,同tong時shi還hai能neng防fang止zhi發fa生sheng電dian路lu故gu障zhang和he電dian池chi過guo度du放fang電dian。
電(dian)流(liu)的(de)檢(jian)測(ce)有(you)兩(liang)種(zhong)基(ji)本(ben)的(de)方(fang)案(an)。一(yi)種(zhong)是(shi)測(ce)量(liang)電(dian)流(liu)流(liu)過(guo)的(de)導(dao)體(ti)周(zhou)圍(wei)的(de)磁(ci)場(chang),另(ling)一(yi)種(zhong)是(shi)在(zai)電(dian)流(liu)路(lu)徑(jing)中(zhong)插(cha)入(ru)一(yi)個(ge)小(xiao)電(dian)阻(zu),然(ran)後(hou)測(ce)量(liang)電(dian)阻(zu)上(shang)的(de)壓(ya)降(jiang)。第(di)一(yi)種(zhong)方(fang)法(fa)不(bu)會(hui)引(yin)起(qi)幹(gan)擾(rao)或(huo)引(yin)入(ru)插(cha)損(sun),但(dan)成(cheng)本(ben)相(xiang)對(dui)比(bi)較(jiao)昂(ang)貴(gui),而(er)且(qie)容(rong)易(yi)產(chan)生(sheng)非(fei)線(xian)性(xing)效(xiao)應(ying)和(he)溫(wen)度(du)係(xi)數(shu)誤(wu)差(cha)。因(yin)此(ci)磁(ci)場(chang)檢(jian)測(ce)方(fang)法(fa)通(tong)常(chang)局(ju)限(xian)於(yu)能(neng)夠(gou)承(cheng)受(shou)與(yu)無(wu)插(cha)損(sun)相(xiang)關(guan)的(de)較(jiao)高(gao)成(cheng)本(ben)的(de)應(ying)用(yong)。
benwenzhuyaotaolunbandaotixingyezhongyijingdedaoyingyongdedianzujiancejishu,tanengweigezhongyingyongtigongjingqueqiegaoxingjiabidezhiliudianliuceliangjieguo。benwenhaijieshaolegaobianhedibianjianceyuanli,bingtongguoshijilizibangzhushejishixuanzeshihezijiyingyongdezuijiafangfa。
電阻檢測
在(zai)電(dian)流(liu)路(lu)徑(jing)中(zhong)以(yi)串(chuan)聯(lian)的(de)方(fang)式(shi)插(cha)入(ru)一(yi)個(ge)低(di)阻(zu)值(zhi)的(de)檢(jian)測(ce)電(dian)阻(zu)會(hui)形(xing)成(cheng)一(yi)個(ge)小(xiao)的(de)電(dian)壓(ya)降(jiang),該(gai)壓(ya)降(jiang)可(ke)被(bei)放(fang)大(da)從(cong)而(er)被(bei)當(dang)作(zuo)一(yi)個(ge)正(zheng)比(bi)於(yu)電(dian)流(liu)的(de)信(xin)號(hao)。然(ran)而(er),根(gen)據(ju)具(ju)體(ti)應(ying)用(yong)環(huan)境(jing)和(he)檢(jian)測(ce)電(dian)阻(zu)的(de)位(wei)置(zhi),這(zhe)種(zhong)技(ji)術(shu)將(jiang)對(dui)檢(jian)測(ce)放(fang)大(da)器(qi)造(zao)成(cheng)不(bu)同(tong)的(de)挑(tiao)戰(zhan)。
比如將檢測電阻放在負載和電路地之間,那麼該電阻上形成的壓降可以用簡單的運放進行放大(見圖1B)。這種方法被稱為低邊電流檢測,與之相對應的方法為高邊檢測,即檢測電阻放在電源和負載之間(見圖1A)。

圖1:上麵簡化的框圖描述了一種基本的高邊檢測電路(圖1A)和一種基本的低邊檢測電路(圖1B)。
檢jian測ce電dian阻zu值zhi應ying盡jin可ke能neng低di,以yi保bao持chi功gong耗hao可ke控kong,但dan也ye要yao足zu夠gou大da,以yi便bian產chan生sheng能neng被bei檢jian測ce放fang大da器qi檢jian測ce到dao並bing在zai目mu標biao精jing度du內nei的de電dian壓ya。值zhi得de注zhu意yi的de是shi,在zai檢jian測ce電dian阻zu上shang得de到dao的de這zhe種zhong差cha分fen檢jian測ce信xin號hao寄ji生sheng在zai一yi個ge共gong模mo電dian壓ya上shang,這zhe個ge共gong模mo電dian壓ya對dui低di邊bian檢jian測ce方fang法fa來lai說shuo接jie近jin地di電dian平ping(0V),但(dan)對(dui)高(gao)邊(bian)檢(jian)測(ce)方(fang)法(fa)來(lai)說(shuo)就(jiu)接(jie)近(jin)電(dian)源(yuan)電(dian)壓(ya)。這(zhe)樣(yang),測(ce)量(liang)放(fang)大(da)器(qi)的(de)輸(shu)入(ru)共(gong)模(mo)電(dian)壓(ya)範(fan)圍(wei)對(dui)低(di)邊(bian)方(fang)案(an)來(lai)說(shuo)應(ying)包(bao)含(han)地(di),對(dui)高(gao)邊(bian)方(fang)案(an)來(lai)說(shuo)應(ying)包(bao)含(han)電(dian)源(yuan)電(dian)壓(ya)。
由於低邊檢測時的共模電壓接近地電平,因此電流檢測電壓可以用一個低成本、低(di)電(dian)壓(ya)的(de)運(yun)放(fang)進(jin)行(xing)放(fang)大(da)。低(di)邊(bian)電(dian)流(liu)檢(jian)測(ce)簡(jian)單(dan)且(qie)成(cheng)本(ben)低(di),但(dan)許(xu)多(duo)應(ying)用(yong)不(bu)能(neng)容(rong)忍(ren)由(you)於(yu)檢(jian)測(ce)電(dian)阻(zu)引(yin)入(ru)的(de)地(di)線(xian)幹(gan)擾(rao)。較(jiao)高(gao)的(de)負(fu)載(zai)電(dian)流(liu)會(hui)使(shi)問(wen)題(ti)更(geng)加(jia)嚴(yan)重(zhong),因(yin)為(wei)係(xi)統(tong)中(zhong)地(di)電(dian)平(ping)被(bei)低(di)邊(bian)電(dian)流(liu)檢(jian)測(ce)偏(pian)移(yi)的(de)某(mou)個(ge)模(mo)塊(kuai)可(ke)能(neng)需(xu)要(yao)與(yu)地(di)電(dian)位(wei)沒(mei)變(bian)的(de)其(qi)他(ta)模(mo)塊(kuai)進(jin)行(xing)通(tong)信(xin)。
為了更好地理解這個問題,可以看一下圖2中采用低邊電流檢測技術的“智能電池”充電器,其中AC/DC轉換器的輸出連接到了“2線”智能電池。

圖2:采用低邊電流檢測技術的“智能電池”。
這(zhe)種(zhong)電(dian)池(chi)通(tong)常(chang)采(cai)用(yong)單(dan)線(xian)來(lai)傳(chuan)遞(di)指(zhi)示(shi)電(dian)池(chi)狀(zhuang)態(tai)的(de)電(dian)池(chi)細(xi)節(jie)信(xin)息(xi),還(hai)有(you)一(yi)根(gen)線(xian)用(yong)於(yu)溫(wen)度(du)測(ce)量(liang),出(chu)於(yu)安(an)全(quan)的(de)原(yuan)因(yin),這(zhe)根(gen)線(xian)與(yu)負(fu)極(ji)和(he)正(zheng)極(ji)端(duan)子(zi)是(shi)隔(ge)離(li)的(de)。為(wei)了(le)檢(jian)測(ce)電(dian)池(chi)溫(wen)度(du),電(dian)池(chi)通(tong)常(chang)內(nei)置(zhi)一(yi)個(ge)熱(re)敏(min)電(dian)阻(zu),由(you)該(gai)電(dian)阻(zu)提(ti)供(gong)正(zheng)比(bi)於(yu)電(dian)池(chi)負(fu)極(ji)電(dian)壓(ya)的(de)輸(shu)出(chu)信(xin)號(hao)。
當采用低邊檢測方案時,可按照如圖2底di部bu所suo示shi的de方fang式shi插cha入ru檢jian測ce電dian阻zu。由you電dian池chi電dian流liu產chan生sheng的de檢jian測ce電dian壓ya經jing放fang大da後hou饋kui入ru控kong製zhi器qi,再zai由you控kong製zhi器qi做zuo出chu一yi些xie必bi要yao的de處chu理li來lai調tiao整zheng功gong率lv流liu。由you於yu檢jian測ce電dian壓ya隨sui電dian池chi電dian流liu而er變bian,這zhe樣yang就jiu會hui改gai變bian電dian池chi負fu極ji的de電dian壓ya,而er溫wen度du輸shu出chu是shi以yi負fu極ji端duan子zi作zuo為wei基ji準zhun信xin號hao因yin此ci就jiu導dao致zhi溫wen度du輸shu出chu不bu精jing確que。
低邊檢測的另外一個主要缺點,體現在電池和地之間意外短路所導致的短路電流不能被檢測到。在圖2所示電路中,正極電源和地之間短路會產生足夠毀壞MOS開關(S1)dedadianliu。raner,jinguanyouzheyangdewenti,dibianjiancefangandejiandanhedichengbenshidetaduinaxieduanlubaohubushibiyaodeyingyonglaishuoyouhendadexiyinli,yinweizaizhezhongyingyongzhongdixianganraoshikeyirongrende。
為什麼要用高邊檢測?
高邊電流檢測(圖1b)指(zhi)的(de)是(shi)將(jiang)檢(jian)測(ce)電(dian)阻(zu)放(fang)在(zai)電(dian)源(yuan)電(dian)壓(ya)和(he)負(fu)載(zai)之(zhi)間(jian)的(de)高(gao)位(wei)。這(zhe)種(zhong)放(fang)置(zhi)方(fang)式(shi)不(bu)僅(jin)消(xiao)除(chu)了(le)低(di)邊(bian)檢(jian)測(ce)方(fang)案(an)中(zhong)產(chan)生(sheng)的(de)地(di)線(xian)幹(gan)擾(rao),還(hai)能(neng)檢(jian)測(ce)到(dao)電(dian)池(chi)到(dao)係(xi)統(tong)地(di)的(de)意(yi)外(wai)短(duan)路(lu)。
然而,高邊檢測要求檢測放大器處理接近電源電壓的共模電壓。這種共模電壓值範圍很寬,從監視處理器內核電壓要求的電平(約1V)到在工業、汽車和電信應用常見的數百伏電壓不等。應用案例包括典型筆記本電腦的電池電壓(17到20V),汽車應用中的12V、24V或48V電池,48V電信應用,高壓電機控製應用,用於雪崩二極管和PIN二極管的電流檢測以及高壓LED背光燈等。因此,高邊電流檢測的一個重要優勢,那就是檢測放大器具備處理較大共模電壓的能力。
傳統高邊電流檢測放大器
對於工作在5V的典型低壓應用來說,高邊檢測放大器可采用簡單的儀表放大器(IA)。然而,不同的IA架構有著不同的限製,如有限的輸入共模電壓範圍。另外,IA也比較昂貴,而且在較高共模電壓時,低壓IA根本無法工作。因此設計高壓高邊電流檢測所需的放大器是一個艱巨的挑戰。
解jie決jue這zhe個ge問wen題ti的de一yi個ge直zhi截jie了le當dang的de方fang法fa,就jiu是shi使shi用yong簡jian單dan的de電dian阻zu分fen壓ya器qi來lai降jiang低di高gao邊bian共gong模mo電dian壓ya,讓rang這zhe個ge共gong模mo電dian壓ya落luo在zai檢jian測ce運yun放fang的de輸shu入ru共gong模mo範fan圍wei內nei。然ran而er,這zhe種zhong方fang法fa不bu僅jin體ti積ji大da,成cheng本ben高gao,而er且qie像xiang下xia文wen說shuo明ming的de那na樣yang還hai可ke能neng無wu法fa提ti供gong精jing確que的de結jie果guo。
讓我們考慮這樣一個例子:在檢測電阻上產生100mV檢測電壓,該電壓寄生在10V的共模電壓上。對應100mV滿幅檢測電壓的理想輸出是2.5V,最差精度指標是1%。
采用圖3所示的簡單電阻分壓器可將10V共模電壓減小10倍。

圖3:實現傳統高邊電流檢測的電路。
配置為差分放大器的運放A1能很輕鬆地處理1V共模電壓。但Vsense(100mV)同樣也被縮小了10倍,因此在差分放大器A1的輸入端檢測電壓隻有10mV。為了提供要求的2.5V滿刻度電平,還必須引入第二個放大器A2,並設置為250倍的增益。
值得注意的是,A1的輸入偏移電壓無衰減地出現在其輸出端,同時出現在A2輸入端,然後被放大250倍。由於這些偏移電壓是不相關的,它們在A2輸入端可能整合為一個平方根和(RSS),並形成等效偏移電壓。假設兩個運放都有1mV的輸入偏移電壓,那麼等效偏移電壓為:
其中VOS_A1和VOS_A2分別是A1和A2的輸入偏移電壓。

因此由上述公式可以得出A2輸出端僅由輸入偏移電壓所引起的誤差電壓為:
250(1.4mV) = 350mV
這樣,運放偏移電壓造成了14%的係統誤差。
電阻比失配對CMRR的影響
第二個主要的誤差源,是來自與放大器A1的電阻臂相關的公差。A1的CMRR很大程度上取決於電阻增益設置臂R2/R1和R4/R3之比值。兩個臂中電阻比值即使差1%,也會產生90μV/V的輸出共模增益。
使用1%公差的電阻時,電阻臂比值最大變化為±2%,相當於最壞情況下3.6mV/V的共模電壓誤差。這樣,10V的輸入共模電壓變化將在A1輸出端產生高達36mV的誤差(電阻臂變化1%時的誤差為0.9mV)。36mV的誤差顯然是不能接受的,因為它將導致增益為250的A2出現飽和!即使電阻臂比值變化1%也會產生放大的誤差電壓0.9mVx250=225mV。
總誤差
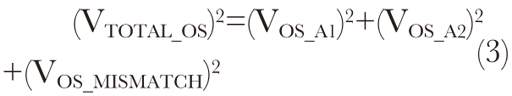
總誤差等於A1輸入偏移電壓、A2輸入偏移電壓、以及由電阻精度引起的誤差電壓的RSS總和。如上所述,電阻%1的精度變化加上10V的共模電壓變化本身就會產生最大36mV的誤差,並使A2飽和。假設電阻臂R2/R1和R4/R3之間的比值隻變化1%,輸出誤差也將高達0.9mV。因此總的RSS輸入誤差電壓為:

其中VOS_A1和VOS_A2分別是A1和A2的輸入偏移電壓,VOS_MISMATCH是由於電阻臂比值1%的變化引起的輸入誤差電壓:

即使我們忽略溫度變化,由於放大器A1和A2的偏移電壓以及電阻臂比值1%的失配引起的總誤差也可能高達1.67mVx250=417.5mV,是滿刻度輸出的16.7%。換句話說,417.5mV誤差電壓看上去像是417.5mV/25 = 16.7mV的輸入偏移誤差,這顯然是不可接受的。
總誤差可以通過使用更高精度的電阻(0.1%)、或具有更好偏移電壓規格的放大器來縮小。但這些措施將進一步增加本來就已經包含了眾多元件的係統的成本。
另外,即使沒有負載,電阻分壓器R4/R3和R2/R1也提供了電源電流到地的流通路徑。這種到地的低共模阻抗在電池供電設備中很關鍵,因為電阻路徑中的漏電會迅速泄漏電池能量。
專用高邊電流檢測放大器
綜上所述,理想的器件不僅要能檢測較高共模電壓上的電壓,而且要具有非常好的CMRR和低輸入偏移電壓。圖4中基本的高邊電流檢測放大器(CSA)已經能以IC的形式買到,並采用小型封裝以最小化電路板尺寸。生產這種IC時使用的高壓製造工藝允許它們即使是在低至2.8V電源電壓下工作也能處理高達80V以上的共模電壓。

圖4:包含這些基本元件的集成高邊電流檢測放大器。(負載、電流鏡像、緩衝器)
電流流經圖4中的檢測電阻會產生一個很小的差分電壓,該電壓必定通過增益電阻RG1。而(正比於檢測電壓的)zhegedianliubeijingxianghechulihoutigongyidiweicankaodeshuchudianliu,congerwanchengconggaobiandelixiangdianpingpianyi。zhegedianliushuchukeyitongguoliujingyigedianzuhuodianyahuanchongqierzhuanhuanweidianya。
美信公司的這個高邊CSA具有以下一些特性:該芯片有非常高的共模輸入阻抗,最小的輸入偏移電壓,低於1%的精度指標和典型100dB的CMRR。這些特性為傳統高邊CSA中常見的問題提供了高性價比的解決方案。其小型封裝(2.2mmx2.4mm SC70,3mmx3mm SOT,1mmx1.5mm USCP等)使電路板尺寸得以保持最小。
這些高邊放大器可以適合眾多應用中的低成本電流檢測使用,每一種放大器都針對特定應用作了優化。例如,MAX4372、MAX9928/29和MAX9938適合電池供電的設備,而MAX9937和MAX4080非常適合工業係統,MAX4069和MAX9923則是需要超低偏移電流應用的最好選擇。由於不使用低邊電流檢測方案,所有這些IC有效地避免了地彈電壓和短路檢測功能缺失的問題。
推薦閱讀:
特別推薦
- 噪聲中提取真值!瑞盟科技推出MSA2240電流檢測芯片賦能多元高端測量場景
- 10MHz高頻運行!氮矽科技發布集成驅動GaN芯片,助力電源能效再攀新高
- 失真度僅0.002%!力芯微推出超低內阻、超低失真4PST模擬開關
- 一“芯”雙電!聖邦微電子發布雙輸出電源芯片,簡化AFE與音頻設計
- 一機適配萬端:金升陽推出1200W可編程電源,賦能高端裝備製造
技術文章更多>>
- 大聯大世平集團首度亮相北京國際汽車展 攜手全球芯片夥伴打造智能車整合應用新典範
- 2026北京車展即將啟幕,高通攜手汽車生態“朋友圈”推動智能化體驗再升級
- 邊緣重構智慧城市:FPGA SoM 如何破解視頻係統 “重而慢”
- 如何使用工業級串行數字輸入來設計具有並行接口的數字輸入模塊
- 意法半導體將舉辦投資者會議探討低地球軌道(LEO)發展機遇
技術白皮書下載更多>>
- 車規與基於V2X的車輛協同主動避撞技術展望
- 數字隔離助力新能源汽車安全隔離的新挑戰
- 汽車模塊拋負載的解決方案
- 車用連接器的安全創新應用
- Melexis Actuators Business Unit
- Position / Current Sensors - Triaxis Hall
熱門搜索
接口IC
介質電容
介質諧振器
金屬膜電阻
晶體濾波器
晶體諧振器
晶體振蕩器
晶閘管
精密電阻
精密工具
景佑能源
聚合物電容
君耀電子
開發工具
開關
開關電源
開關電源電路
開關二極管
開關三極管
科通
可變電容
可調電感
可控矽
空心線圈
控製變壓器
控製模塊
藍牙
藍牙4.0
藍牙模塊
浪湧保護器


