考量運算放大器在Type-2補償器中的動態響應(一)
發布時間:2017-03-28 責任編輯:wenwei
【導讀】補償器是使控製係統在動態運行中快速穩定的電子濾波器。在絕大多數研究中,補償器是置於運算放大器(運放)周圍的一個有源電路,其特性完美。文本共有兩部分,這第一部分主要介紹開環增益的影響,第二部分將探討這些額外的極點的影響,並展示如果沒有適當選擇,它們會如何影響最終結果。
補償器是使控製係統在動態運行中快速穩定的電子濾波器。在絕大多數研究中,補償器是置於運算放大器(運放) 周圍的一個有源電路,其特性鑒定為完美。如果這種方法適用於低帶寬係統,如今的轉換器即使輸出電容小,隻要交越頻率超過100qianhejiunengquebaozugoukuaideshuntaixiangyingyixianzhishuchuyajiang。zaizhexieyingyongzhong,ruoyigewanmeiyunfangbuxingdehua,zuizhonghuidaozhiyanzhongdezengyihexiangweishizhen。ruguozhanshikaihuanzengyihesuoxuanyunfangdedi、gaopinlianggejidianruheyingxiangzhengtidongtaixiangying,ninjiukexuanzeqiadangdeyuanjian,mianchuyingxiangjiaoyuesuoxudezengyihexiangweixingnengbiaozheng。wenbengongyouliangbufen,zhediyibufenzhuyaojieshaokaihuanzengyideyingxiang,teyixianbutandipinhegaopinliangjidian。dierbufenjiangtantaozhexieewaidejidiandeyingxiang,bingzhanshiruguomeiyoushidangxuanze,tamenhuiruheyingxiangzuizhongjieguo。
不同補償器的類別
補償器的作用是形成一個給定電路的頻率響應-例如降壓轉換器-以便一旦閉環,控製係統表現出所需的交越頻率fc和適當的相位/增益裕度。補償器通過提供在fc的一些中期波段的增益或衰減強行形成0 dB交越點。相位裕度m由補償器在fc表現出的相位增量(phase boost)調節。最後,增益裕度取決於交越後補償器調降增益的能力。
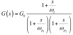
補償器有不同的類型,其在開關轉換器中通常稱為type 1、type 2和type 3。所有三個型號在原點都有一個極點以提供最大可用準靜態增益(S = 0),從而提供一個精確的輸出變量。type-1補償器是個簡單的積分電路,完全不提供相位增量。type 2基於type 1,增加了一個極/零對,最多有90°的相位增量,常見於電流模式電源,可提供大量補償。最後,type-3電路提供另一個極零對,可增加相位達180°。圖1所示為三種補償器的頻率響應(幅值和相位)及各自的傳遞函數表達式。

圖1:您選擇的補償器與您想要的相位增量有關。
type-2補償器常見於電流模式電源,其相位增量最大達90°,可提供大量補償。圖2所示為它置於運算放大器周圍的電路圖。您可看到檢測所監測變量(本例中的輸出電壓Vout)的一個電阻分壓器和幾個形成濾波器的無源元件。為確定該轉換器的傳遞函數,我們將首先考量運放的開環增益AOL,並看看它如何影響最終的表達式。該電路的傳遞函數G是聯係激勵信號Vout到輸出響應VFB的數學關係。

圖2:在該補償器中,我們認為運放具有有限的開環增益,但尚不考慮其內部極點。
簡介快速分析電路技術(FACT)
有許多確定濾波器動態響應的方法,本文將使用如快速分析電路技術(Fast Analytical Technique,簡稱FACT)。FACT的基本原理是確定在兩個不同條件下的電路時間常數:激勵信號消失(Vout降至0V)時和響應清零(VFB = 0)時。通過使用這種技術,您將領會用它確定一個特定的傳遞函數有多快速和直觀。
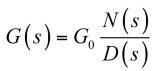
一個具有非零準靜態增益的一階係統的傳遞函數可表示為:
首項G0是S=0時係統表現出的增益。視情況而定,該項帶有單位。在這裏,因為我們所說的增益是[V]/[V],沒有單位,G是無量綱的。分子的N(s)控製傳遞函數的零點。在數學上,零點是個特定的點sz,無信號響應。從理論上講,考慮到激勵信號覆蓋整個s麵(諧波模式下不僅在垂直軸),當輸入信號調到零角頻率sz,零點表現為無信號的輸出響應。電路中一些特定阻抗組合阻擋了信號傳播,響應為0V,盡管存在激勵源。零點是分子的根。請注意這是個實用的數學抽象,極其有助於通過檢測找到零點,無需寫一連串代數。
分母D(s)由電路自然時間常數構成。通過設置激勵信號為0和確定這種結構中所考慮的電容或電感“所示”的阻抗而得出這些時間常數=RC或=L/R。如您想象把歐姆表置於暫時移除的電容或電感器,並讀取它顯示的電阻。這其實是個相當簡單的運用。看看圖3無源電路,可看到一個注入源(換言之,一個激勵源)正加偏壓於左邊回路。輸入信號通過網格和節點傳播,形成您看到的電阻R3上的響應。

圖3:確定電路的時間常數需要將激勵源設為0,並看看從電路中暫時移除的儲能元件所提供的電阻。
為確定本示例電路的時間常數,我們將激勵源設為0(一個0V電壓源短路和0A電流源開路),拆下電容器。然後,我們連接(在腦海中想象)一個歐姆表,以確定由電容器端提供的電阻。圖4引導您進行這些步驟。

圖4:在0V源短路後,您確定電容器端的電阻。
如果您按圖4進行運用,您“想象”R1與R2並聯後與與R4串聯,所有這些與R3並聯後與rC串聯。該電路的時間常數隻通過R和C1即可計算得出:
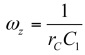
我們可證明,一階係統的極點是其時間常數的倒數。因此:
(3)現在,s = 0時這個電路的準靜態增益是多少?在直流條件下,電感器短路,電容器開路。把這概念應用於圖3的電路,繪製如圖5所示。您想象在R4前斷開連接,會看到一個含R1和R2的電阻分壓器。R2上的戴維寧(Thévenin)電壓為:
輸出電阻Rth 是R1與R2並聯的值。因此完整的傳遞函數涉及到電阻分壓器(由與Rth 串聯的R4和加載的R3所構成)。rC是斷開的,由於電容C1在這直流分析中被拆下。因此:

圖5:您斷開直流電路中的電容器,計算這簡單的電阻配置的傳遞函數。
我們如何知道是否有零點?嗯,這裏有個有用的技巧:您想象圖3的電路,使電容C1短路。現在假設您為具有短路電容器的電路提供激勵信號。您能夠基於示波器觀察Vout的響應嗎?當然rC使R3短路,盡管振幅可能低,輸入信號仍會傳輸並有響應。若“盡管C1短路但仍有響應”,那麼有與C1有關的零點。處理含電感L1的電路亦然(但采用電感開路)。
我們前麵提到,零點通過阻斷激勵信號的傳播而在電路中表現出來,輸出響應為0。如果我們考慮一個變形電路–其中C1由1/SC1代替–如圖6所示,當激勵源加偏壓於電路,有什麼特定的條件意味著無信號響應?無信號響應隻意味流過R3的電流為0。如果電阻沒有電流,沒有電壓施加和Vout是0V,這不是短路,而是虛擬的接地。

圖6:在這變形電路中,當串聯的rC和C1轉化為短路,響應消失。
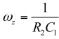
如果R3沒有電流,那麼串聯的rC和1/SC1轉化為短路:
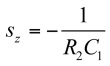
根sz是我們需要的零點位置:
從而有:
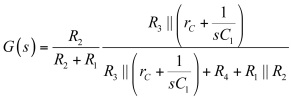
現在,我們可以組合所有這些結果,形成以圖3電路為特征的最終的傳遞函數:
(9)這就是所謂的低熵表達式,您可立即識別增益、極點和零點。高熵表達式將在考量阻抗分壓器時通過施加大規模外力到原來的電路來獲得,例如:
(10)不隻您可能在推導表達式時犯錯誤--我也會!但是將結果格式化到像(9)這樣需要更多的精力。此外,請注意,在寫(9)時我們沒有寫一行代數。如果我們後來發現一個錯誤,那麼易於回到一個單獨的圖紙並單獨修正它。(9)的校正將是容易的。現在嚐試對(10)進行相同的修正,您可能會從頭開始。您比對一下,在Mathcad®表繪製的表達式(9)和(10)的頻率響應是相同的,如圖7所示。

圖7:快速Mathcad®說明用FACT推導出的表達式是否與由原表達式返回的響應相匹配。
FACTdejianjieyizaishuoming,wulunduijiandandianluhaishigengfuzadedianlushiyongtamen,douhenjiandanhegaoxiao。tongguojiangyigefuzadetixijiegoufenjieweijiandandedandudedianlu,ninkeyihenkuaidixiechuchuandihanshu,youshizhixuguanchajiunengxiechu,zhengruwomensuozuodenayang。jiranwomenyijieshaolegongju,rangwomenbatayingyongdaowomendetype 2補償器中。
FACT應用於Type-2補償器
為高效地將FACT運用到圖2的電路,我們先考慮儲能元件:C1和C2。考慮到它們的獨立狀態可變—如它們不是串聯的或並行的--這是個二階係統。考慮非零準靜態增益,該係統可以表示為:
對於二階係統,我們可以證明分母遵循下列公式:
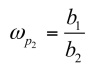
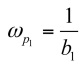
係數s僅僅是確定零點激勵源的時間常數之和。S²係數稍複雜,因其引入了一個新的符號:t1 2 。此符號意味著您“想象”的C2兩端的阻抗,而C1由短路取代。乍一看有點難以理解,但我們稍解釋就會明白。
按照求解圖3電路的途徑,我們可研究s = 0的係統,如圖8所示。在分析的過程中,Vref是個完美的源及其動態響應為0(忽略我們應用的調製,它的電壓是固定的)。因此,它自然不存在於小信號電路,在交流分析中采用短路的形式。

圖8:在直流條件下,斷開所有的電容:運算放大器運行於開環配置。
運算放大器提供的電壓相當於開環增益AOL的倍。反相引腳的電壓與低邊阻抗Rlower有關,在這種情況下,是個非零的值:
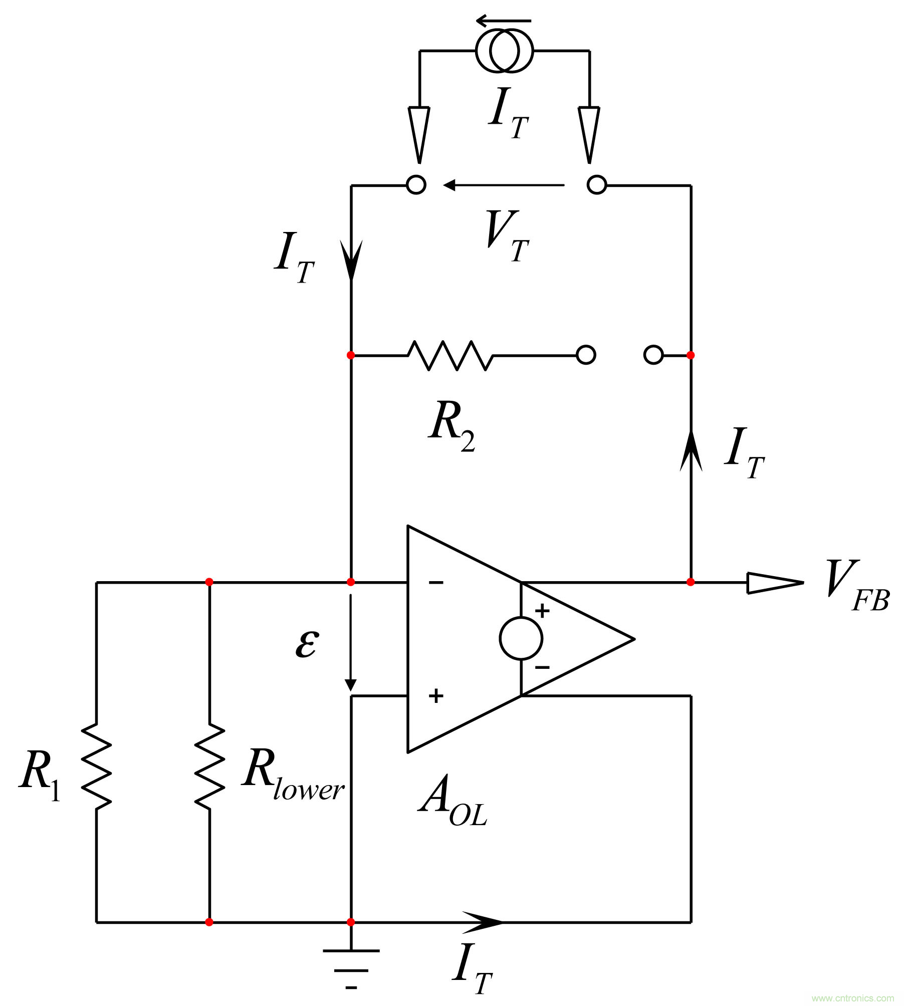
(13)在這個電路中,有兩個電容,因此有兩個單獨的時間常數。為確定與C2有關的第一個時間常數,我們將激勵信號設為0,確定C2的阻抗,C2連接端子,而C1從電路中移除,如圖9所示。

圖9:第一個時間常數與電容C2有關:在C2兩端的阻抗是多少?
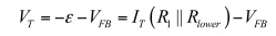
如果在前麵的示例中檢驗得很好,但電壓控製源的存在(即運算放大器)-用這簡單的方法是行不通的。為確定由C2端提供的阻抗,我們可連接測試生成器IT,和確定其兩端的電壓VT。然後VT/IT會給我們提供想要的阻抗。涉及電流源的草圖如圖10所示.。您可寫的第一個簡單的等式與有關。運算放大器的輸入引腳之間的電壓是施加在並聯的R1和Rlower兩端的電壓的負值:

圖10:您裝上一個測試發生器以確定C2兩端的阻抗。
運算放大器的輸出為開環增益AOL的倍。因此:
將(14)代入(15)得出:
VT是電流源的電壓。在其左側端有負的而右側有偏壓VFB:
如果我們從(17)提取VFB,結合(16)的結果,我們有:
阻抗可簡單地寫為:
因此第一個時間常數2表示為:
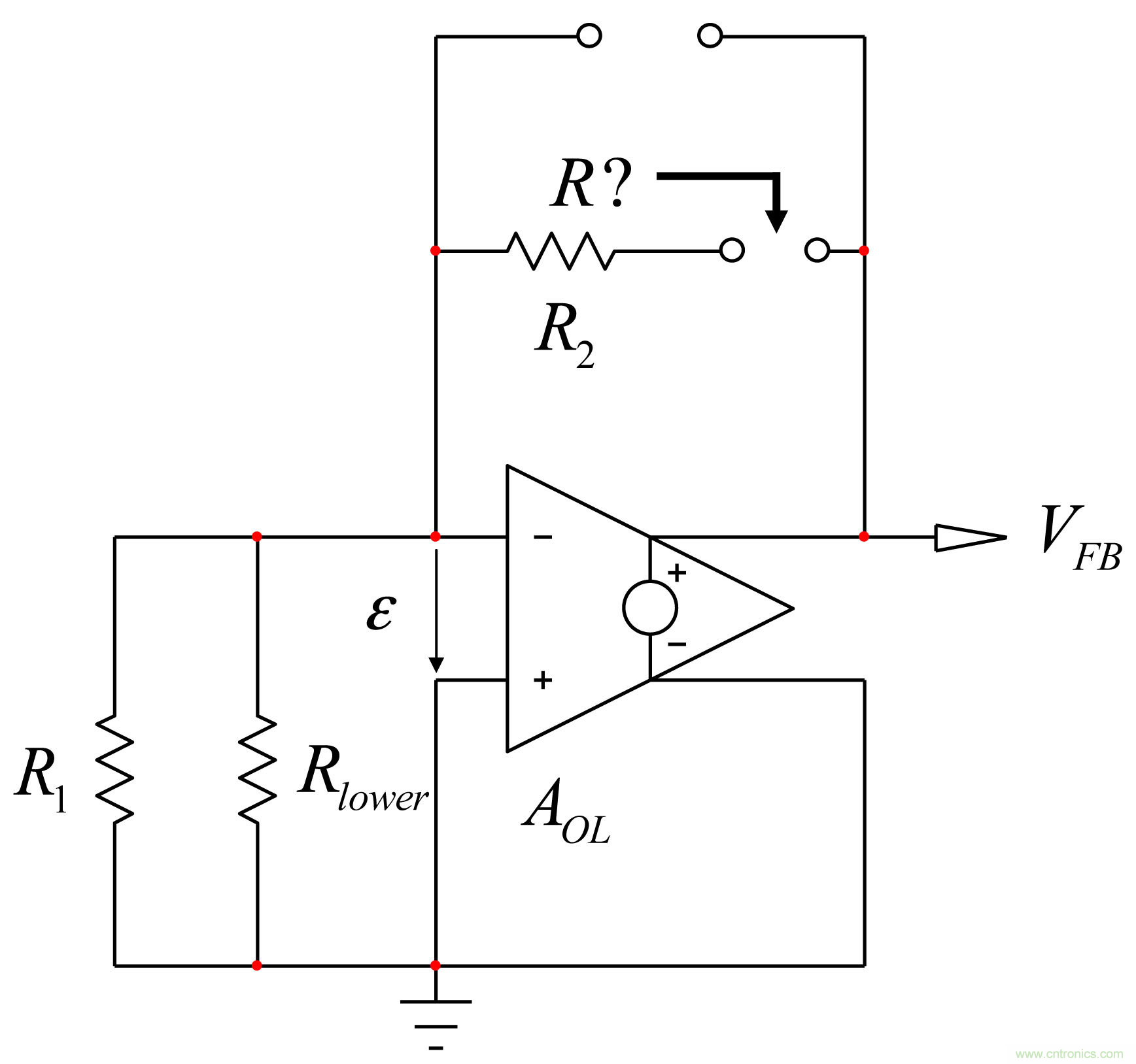
第二個時間常數與C1有關,需要更新的原理圖,如圖11所示。我們沒有裝電流發生器,因為結果很明顯:C1兩端的電阻就是已經確定的C2與R2 串聯後的電阻:

圖11:立即確定第二個時間常數,因為它是C2與R2串聯的驅動電阻。
我們有兩個時間常數,可進行第二階項。我們需要評估 ,其中C2被短路,我們看C1兩端的電阻。圖12所示為新的草圖。既然我們在涉及R2的回路中有弗蘭克短路,那麼電阻R就是R2:
因此,如果我們根據(12)組合時間常數,得出分母D(s) :

圖12:高頻係數用了罕見的符號但最終並不複雜:C2短路,隻需確定C1兩端的電阻。
該二階表達式可重新排列,假設質量因子Q遠小於1。在這種情況下,兩個極點完全分離:一個控製低頻,而第二個位於頻譜的上部。由(12)我們可以證明,兩個極點定義為:
(24)
(25)如果我們將這些定義應用到(23),簡化和重新排列,得到:
(26)
(27)現在有了分母,那麼這個電路有零點嗎?我們可以運用前述的技巧:如果我們想象,C1或C2短路,然後C1和C2短路,這三個配置有響應嗎?如果C1短路,我們有一個含R2和其他電阻的簡單的逆變器:有個與C1有關的零點。如果C2短路,則運算放大器為0: C2沒有零點。如果兩個電容器都短路,當然,沒有響應。為確定零點位置,圖13中的什麼可以防止激勵源的傳播,使響應無輸出信號?如果C1和R2短路,那麼響應消失:
(28)然後

圖13:如果R2與C1的串聯轉換為短路,那後沒信號的響應:這就解釋了零點是如何產生的。
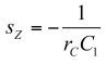
其中給出了零點位於:
(30)現在有最終的傳遞函數
(31)及
(33)
(34)
(35)比較電路之間的響應
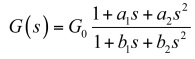
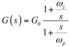
現在比較由type-2電路(其中我們考慮開環增益)帶來的動態響應是有意義的,下麵給出了type 2完美的傳遞函數:
(36)其中
(39)舉例說明,我們對比理想的運放和開環增益為50 dB的運放(例如TL431),此時補償器必須滿足以下目標:fc = 10 kHz和在此頻率的增益補償20 dB,相位增量必須是65°。R1和Rlower計算用於12V輸出和2.5 V參考電壓。(31)和(36)的兩個動態響應如圖14所示。交越增益和相位增量的偏差可以忽略不計。然而,在120赫茲頻率時(31)的增益為35 dB,(36)則為45dB。最後,有限的AOL選項的準靜態增益僅36.4 dB(66),而er無wu限xian時shi則ze為wei完wan美mei的de運yun算suan放fang大da器qi。這zhe些xie數shu字zi的de影ying響xiang是shi什shen麼me?增zeng益yi少shao兩liang倍bei時shi,電dian源yuan頻pin率lv將jiang影ying響xiang控kong製zhi係xi統tong的de能neng力li,抑yi製zhi整zheng流liu紋wen波bo。輸shu出chu變bian量liang可ke能neng會hui受shou到dao此ci元yuan件jian的de影ying響xiang,特te別bie是shi在zai電dian壓ya模mo式shi控kong製zhi下xia。此ci外wai,若ruo植zhi入ru增zeng益yi低di,控kong製zhi變bian量liang可ke能neng有you顯xian著zhe的de靜jing態tai誤wu差cha。若ruo您nin現xian在zai選xuan擇ze具ju有you更geng高gaoAOL的運放如80 dB,偏差消失,兩曲線相互非常接近,如圖15所示。

圖14:在type 2的波特圖中,我們認為開環增益AOL和低邊電阻Rlower並沒有太大影響原完美的方程式。

圖15:當開環增益AOL增加,兩條曲線很好地重疊。準靜態增益提高到66.3dB,對比於采用50dB AOL增益時的36 dB。
總結
這zhe第di一yi部bu分fen證zheng明ming了le在zai補bu償chang器qi中zhong采cai用yong非fei理li想xiang的de運yun算suan放fang大da器qi時shi開kai環huan增zeng益yi的de影ying響xiang。假jia如ru運yun算suan放fang大da器qi不bu是shi完wan美mei的de,您nin可ke以yi看kan到dao動dong態tai響xiang應ying中zhong在zai低di頻pin範fan圍wei內nei弱ruo開kai環huan增zeng益yi的de影ying響xiang,來lai評ping估gu這zhe種zhong情qing況kuang導dao致zhi的de性xing能neng下xia降jiang。在zai這zhe第di一yi部bu分fen中zhong,我wo們men隻zhi考kao慮lv開kai環huan增zeng益yi的de影ying響xiang。在zai第di二er部bu分fen中zhong,我wo們men將jiang複fu雜za化hua分fen析xi,將jiang集ji成cheng電dian路lu設she計ji人ren員yuan自zi然ran置zhi於yu一yi個ge運yun算suan放fang大da器qi中zhong以yi確que保bao穩wen定ding性xing的de低di頻pin和he高gao頻pin兩liang個ge極ji點dian考kao慮lv進jin來lai。
作者:Christophe Basso,安森美半導體公司
本文來源於電子技術設計。
推薦閱讀:
特別推薦
- 噪聲中提取真值!瑞盟科技推出MSA2240電流檢測芯片賦能多元高端測量場景
- 10MHz高頻運行!氮矽科技發布集成驅動GaN芯片,助力電源能效再攀新高
- 失真度僅0.002%!力芯微推出超低內阻、超低失真4PST模擬開關
- 一“芯”雙電!聖邦微電子發布雙輸出電源芯片,簡化AFE與音頻設計
- 一機適配萬端:金升陽推出1200W可編程電源,賦能高端裝備製造
技術文章更多>>
- 如何使用工業級串行數字輸入來設計具有並行接口的數字輸入模塊
- 邊緣AI的發展為更智能、更可持續的技術鋪平道路
- 每台智能體PC,都是AI時代的新入口
- IAR作為Qt Group獨立BU攜兩項重磅汽車電子應用開發方案首秀北京車展
- 構建具有網絡彈性的嵌入式係統:來自行業領袖的洞見
技術白皮書下載更多>>
- 車規與基於V2X的車輛協同主動避撞技術展望
- 數字隔離助力新能源汽車安全隔離的新挑戰
- 汽車模塊拋負載的解決方案
- 車用連接器的安全創新應用
- Melexis Actuators Business Unit
- Position / Current Sensors - Triaxis Hall
熱門搜索
SATA連接器
SD連接器
SII
SIM卡連接器
SMT設備
SMU
SOC
SPANSION
SRAM
SSD
ST
ST-ERICSSON
Sunlord
SynQor
s端子線
Taiyo Yuden
TDK-EPC
TD-SCDMA功放
TD-SCDMA基帶
TE
Tektronix
Thunderbolt
TI
TOREX
TTI
TVS
UPS電源
USB3.0
USB 3.0主控芯片
USB傳輸速度




