熱電偶之基本原理及設計要點
發布時間:2017-01-04 責任編輯:wenwei
【導讀】熱(re)電(dian)偶(ou)可(ke)以(yi)用(yong)於(yu)高(gao)精(jing)度(du)的(de)溫(wen)度(du)測(ce)量(liang),但(dan)對(dui)設(she)計(ji)工(gong)程(cheng)師(shi)來(lai)說(shuo)卻(que)很(hen)棘(ji)手(shou)。不(bu)過(guo),如(ru)果(guo)你(ni)理(li)解(jie)熱(re)電(dian)偶(ou)的(de)工(gong)作(zuo)原(yuan)理(li)的(de)話(hua),就(jiu)可(ke)以(yi)通(tong)過(guo)堅(jian)實(shi)的(de)電(dian)路(lu)設(she)計(ji)和(he)校(xiao)準(zhun)來(lai)優(you)化(hua)測(ce)量(liang)精(jing)度(du)。本(ben)文(wen)介(jie)紹(shao)了(le)熱(re)電(dian)偶(ou)的(de)基(ji)本(ben)原(yuan)理(li)及(ji)電(dian)路(lu)設(she)計(ji)時(shi)需(xu)要(yao)注(zhu)意(yi)的(de)事(shi)項(xiang)。
自20世紀初期以來,熱電偶就被廣泛應用於關鍵的溫度測量,特別是極高溫領域。對於許多工業和過程關鍵應用,T/C和RTD(電阻溫度檢測器)已經成為溫度測量的“黃金標準”。盡管RTD具有更好的精度和可重複性,但相對而言,熱電偶具有如下優勢:

然(ran)而(er),利(li)用(yong)熱(re)電(dian)偶(ou)進(jin)行(xing)高(gao)精(jing)度(du)溫(wen)度(du)測(ce)量(liang)可(ke)能(neng)比(bi)較(jiao)複(fu)雜(za)。您(nin)可(ke)以(yi)通(tong)過(guo)堅(jian)實(shi)的(de)電(dian)路(lu)設(she)計(ji)和(he)校(xiao)準(zhun)來(lai)優(you)化(hua)測(ce)量(liang)精(jing)度(du),但(dan)理(li)解(jie)熱(re)電(dian)偶(ou)工(gong)作(zuo)原(yuan)理(li)有(you)助(zhu)於(yu)設(she)計(ji)電(dian)路(lu)或(huo)使(shi)用(yong)溫(wen)度(du)計(ji)。
熱電偶工作原理
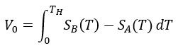
向一段金屬絲施加一個電壓源時,電流從正端流向負端,金屬絲發熱,造成一部分能量損耗。托馬斯·塞貝克在1821年發現的塞貝克效應則是一種反向現象:向一段金屬絲應用某種溫度梯度時,會產生一個電勢。這就是熱電偶的物理基礎。
式中,?V為電壓梯度,?T為溫度梯度,S(T)weisaibeikexishu。saibeikexishuyucailiaoxiangguan,bingqieyeshiwendudehanshu。yiduanjinshusishanglianggebutongwendudianzhijiandedianyadengyusaibeikexishuhanshuzaiwendushangdejifen。
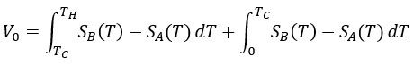
(式2)例如,圖1中的T1、T2和T3表示一段金屬絲上不同位置點的溫度。T1 (藍色)表示最低溫度點,T3(紅色)表示最高溫度點。T2和T1之間的電壓為:
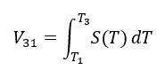
(式3)類似地,T3和T1之間的電壓為:
(式4)根據積分的可加性,V31也等於:
(式5)我們在討論熱電偶的電壓與溫度轉換時,要牢記這一點。

圖1:根據塞貝克係數,溫度梯度在傳導性金屬上產生電壓。
熱電偶由兩種不同的金屬組成,金屬絲的塞貝克係數S(T)一般不同。既然一種金屬上的溫度差即可產生電壓差,為什麼必須使用兩種金屬呢?假設圖2中的金屬絲是由材料“A”製成的。如果一塊電壓表的探頭也是由材料A製成的,理論上說,電壓表將檢測不到任何電壓。

圖2:電壓測量連接。當探頭和金屬絲的材料相同時,將不存在電勢差。
原因是當探頭連接到金屬絲末端時,相當於將金屬絲延長了。長金屬絲的兩個末端連接到電壓表的輸入,具有相同的溫度(TM)。如果金屬絲兩個末端的溫度相同,則不會產生電壓。 為了在數學上證明這一點,我們計算從電壓表正端到負端的整個金屬環上累積的電壓。
(式6)根據積分的可加性,上式變為:
(式7)當積分的下邊界和上邊界相同時,積分的結果為V=0。 如果探頭材料為B,如圖3所示,那麼:
(式8)將上式簡化,我們得到:
(式9)式9表明,測量電壓等於兩種材料的塞貝克係數函數之差的積分。這就是熱電偶使用兩種異金屬的原因。

圖3:電壓測量連接。探頭和金屬絲采用不同的材料,說明了塞貝克係數的物理現實。

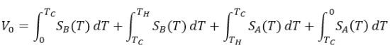
根據圖3中的電路和式9,假設SA(T)、SB(T)以及被測電壓已知,我們仍然不能計算得到熱端的溫度(TH),除非我們已知冷端的溫度(TC)。在熱電偶的早期階段,使用溫度為0°C的冰點爐作為參考溫度(術語“冷端”由此而來),因為這種方法的成本低、容易實現,並且能夠自我調節溫度。等效電路如見圖4所示。

圖4:熱電偶需要一個參考溫度,圖中所示的0°C,以便計算未知溫度TH。
熱電偶係統
現代熱電偶由一端(TH)連接在一起的兩根不同的金屬絲組成。在金屬絲對的開路端測量電壓。根據圖5所示的等效電路,VC與上圖3中的公式9相同。
(式10)
圖5:采用冷端補償的現代熱電偶配置。
冷端補償
冷端補償冷端(TC)溫度可設定為冰點爐的0°C,但在實際應用中,我們不使用冰水桶作為參考溫度。利用CJC (冷端補償)方法,可在不使用0°C冷端溫度的情況下計算得到熱端溫度。甚至冷端溫度不一定是恒定的。該方法僅僅使用一個獨立的溫度傳感器來測量TC點的溫度。如果已知TC,就能得到TH。
如(ru)果(guo)我(wo)們(men)使(shi)用(yong)溫(wen)度(du)傳(chuan)感(gan)器(qi)測(ce)量(liang)冷(leng)端(duan)溫(wen)度(du),那(na)麼(me)為(wei)什(shen)麼(me)不(bu)使(shi)用(yong)這(zhe)個(ge)傳(chuan)感(gan)器(qi)直(zhi)接(jie)測(ce)量(liang)熱(re)端(duan)的(de)溫(wen)度(du)呢(ne)?您(nin)可(ke)以(yi)看(kan)到(dao),冷(leng)端(duan)溫(wen)度(du)範(fan)圍(wei)比(bi)熱(re)端(duan)溫(wen)度(du)範(fan)圍(wei)窄(zhai)得(de)多(duo),所(suo)以(yi)溫(wen)度(du)傳(chuan)感(gan)器(qi)不(bu)需(xu)要(yao)支(zhi)持(chi)熱(re)電(dian)偶(ou)支(zhi)持(chi)的(de)極(ji)端(duan)溫(wen)度(du)。
利用CJC計算熱端溫度
如上所述,所有標準熱電偶參考表都是在冷端為0°C時得到的。那麼如何利用參考表得到熱端溫度呢?試想一下,將以上熱電偶的開路端延長,假想端點連接至溫度為0°C的結點(圖6)。如果我們能夠計算得到V0值,利用參考表就很容易得到對應的熱端溫度。

圖6:將延長後的熱電偶連接到0°C結點,即可確定未知熱端溫度TH
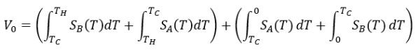
確定V0
(式11)重新整理上式:
(式12)
(式13)
(式14)式13的第一項與式10 (由圖5得到)完全相同。等效電壓輸出為VC,為已知值,因為冷端的溫度是由電壓表測得的。第二項等效於熱電偶在熱端溫度等於TC、冷端溫度等於0°C時的輸出。 由於TC也是由獨立的溫度傳感器測得的,我們可使用標準參考表查找得到式13中第二項的對應塞貝克電壓(Vi):
利用該V0值,即可通過標準參考表確定TH時的對應溫度。
利用冷端補償計算熱端溫度的過程分為以下幾步:

標準熱電偶參考表可參見NIST ITS-90熱電偶數據庫。如果因為內存或其它原因無法在微控製器中實現查找表,NIST ITS-90網站也針對每種熱電偶類型提供了一組公式,可用於溫度和電壓之間的相互轉換。
係統設計要點
至此,以上討論僅限於熱電偶的理論知識。為優化實際係統的精度,有幾個事項需要注意。基本熱電偶信號鏈(圖7)中的每個器件都將影響轉換精度,必須嚴格挑選,以將誤差降至最低。

圖7:熱電偶測量係統的基本元件包括放大器和ADC,以及之後可計算未知溫度的微控製器。
從圖7的de左zuo側ce開kai始shi,熱re電dian偶ou連lian接jie至zhi係xi統tong電dian路lu板ban的de連lian接jie器qi。熱re電dian偶ou本ben身shen也ye是shi傳chuan感gan器qi,也ye可ke能neng是shi誤wu差cha源yuan。較jiao長chang的de熱re電dian偶ou很hen容rong易yi拾shi取qu周zhou圍wei環huan境jing的de電dian磁ci噪zao聲sheng;屏蔽線可有效降低噪聲。 接jie下xia來lai的de元yuan件jian是shi放fang大da器qi,它ta具ju有you高gao輸shu入ru阻zu抗kang非fei常chang重zhong要yao,因yin為wei放fang大da器qi的de輸shu入ru阻zu抗kang和he熱re電dian偶ou電dian阻zu形xing成cheng一yi個ge分fen壓ya器qi。放fang大da器qi輸shu入ru阻zu抗kang越yue高gao,產chan生sheng的de誤wu差cha越yue小xiao。
(式16)此外,放大器增大熱電偶輸出,熱電偶輸出通常為毫伏範圍。盡管放大器的高閉環增益同時放大信號和噪聲,但在ADC輸入上增加低通濾波器可消除大部分噪聲。因為溫度變化不會非常快,此類應用的ADC轉換率一般非常低——可能每秒隻采樣幾次,所以低通濾波器非常有效。
最後,板載溫度傳感器需要非常靠近冷端連接器(理想情況是與熱電偶絲的末端接觸,但許多情況下條件不允許),獲得最好的冷端溫度測量結果。冷端測量中的任何誤差都將體現在熱端溫度計算中。
熱電偶電路實例及測試結果
無論設計自己的熱電偶測量電路還是采用參考設計,都需要驗證其精度。以下介紹MAXREFDES67#參考設計(圖8)的精度驗證。

圖8:MAXREFDES67#是用於熱電偶和RTD的參考設計,可測量電壓和電流,進而測量溫度,測量溫度範圍為-40°C至150°C。
為了舉例說明如何最大程度減小測量誤差,我們首先以熱電偶係統為例,例如Maxim的MAXREFDES67cankaosheji。weileyanzhenggaiceliangxitonghuorenheceliangxitongdewucha,xuyaoyigeyizhiwenduhezhidexinlaideyibiao,yongyubijiao。benlizhong,womenshiyongsangecankaowenduji:Omega HH41測溫儀(現在被HH42取代)、ETI參考溫度計和Fluke 724溫度校準器。 連接到MAXREFDES67#的K型熱電偶置於Fluke 7341校準爐中,並在20°C下進行校準。藍點數據以Omega HH41作為參考,綠點數據使用ETI設備為參考。紅點數據顯示的最大誤差小於0.1°C,基於Fluke 724校準器,但與之前測試不同的是,Fluke 724未用作參考儀器。模擬理想K型熱電偶輸出,並將MAXREFDES67#的輸入與熱電偶延長線相連。圖9所示為測試結果。

圖9. 利用Omnitec EC3TC(K型熱電偶,在20°C下經過校準),評估MAXREFDES67#的誤差與溫度關係,並將其與其它三款參考測溫儀進行比較。結果表明達到了非常高的精度。

圖10:MAXREFDES67#參考設計框圖。

總結
熱電偶在工業溫度測量應用領域具有諸多優勢,包括溫度範圍、響應時間、成本和耐久性。熱電偶理論略微有些複雜,但我們必須完全理解,從而能夠進行正確測量以及從電壓到溫度的高精度轉換。MAXREFDES67#參考設計采用MAX11254和MAX6126這兩款芯片,特別適合於熱電偶測溫這種噪聲敏感的小信號,高精度的測量應用。其中,MAX11254為6通道、24位、Δ-Σ ADC,在實現低噪聲高精度的同時降低了10倍功耗;MAX6126是一款超低噪聲、超高精度、低壓差的串聯型電壓基準,溫度係數為3ppm/°C (最大),具有出色的±0.02% (最大)初始精度。
推薦閱讀:
從儲能、阻抗兩種不同視角解析電容去耦原理
數字電路PCB設計中的EMC/EMI控製技術
較簡單二極管更靈敏的AM檢波器設計
從硬件到算法,單目視覺ADAS背後有哪些技術原理及難點?
細談去耦合對電磁兼容的影響
特別推薦
- 噪聲中提取真值!瑞盟科技推出MSA2240電流檢測芯片賦能多元高端測量場景
- 10MHz高頻運行!氮矽科技發布集成驅動GaN芯片,助力電源能效再攀新高
- 失真度僅0.002%!力芯微推出超低內阻、超低失真4PST模擬開關
- 一“芯”雙電!聖邦微電子發布雙輸出電源芯片,簡化AFE與音頻設計
- 一機適配萬端:金升陽推出1200W可編程電源,賦能高端裝備製造
技術文章更多>>
- 貿澤EIT係列新一期,探索AI如何重塑日常科技與用戶體驗
- 算力爆發遇上電源革新,大聯大世平集團攜手晶豐明源線上研討會解鎖應用落地
- 創新不止,創芯不已:第六屆ICDIA創芯展8月南京盛大啟幕!
- AI時代,為什麼存儲基礎設施的可靠性決定數據中心的經濟效益
- 矽典微ONELAB開發係列:為毫米波算法開發者打造的全棧工具鏈
技術白皮書下載更多>>
- 車規與基於V2X的車輛協同主動避撞技術展望
- 數字隔離助力新能源汽車安全隔離的新挑戰
- 汽車模塊拋負載的解決方案
- 車用連接器的安全創新應用
- Melexis Actuators Business Unit
- Position / Current Sensors - Triaxis Hall
熱門搜索
Future
GFIVE
GPS
GPU
Harting
HDMI
HDMI連接器
HD監控
HID燈
I/O處理器
IC
IC插座
IDT
IGBT
in-cell
Intersil
IP監控
iWatt
Keithley
Kemet
Knowles
Lattice
LCD
LCD模組
LCR測試儀
lc振蕩器
Lecroy
LED
LED保護元件
LED背光




