二階係統電子控製理論:為工程師提供的實用分析
發布時間:2020-10-10 來源:Simon Bramble 責任編輯:wenwei
【導讀】本ben文wen詳xiang解jie控kong製zhi理li論lun。通tong常chang我wo們men在zai講jiang解jie控kong製zhi理li論lun時shi,都dou隻zhi通tong過guo框kuang圖tu,而er不bu參can考kao實shi際ji的de電dian路lu。在zai數shu學xue和he電dian路lu仿fang真zhen工gong具ju的de幫bang助zhu下xia,我wo們men將jiang一yi步bu步bu說shuo明ming電dian子zi控kong製zhi理li論lun與yu現xian代dai電dian路lu設she計ji息xi息xi相xiang關guan。
簡介
大學教授的許多科目都會令學生發問:"學習這門課程能讓我找到一份工作嗎?"控(kong)製(zhi)理(li)論(lun)可(ke)能(neng)就(jiu)是(shi)這(zhe)樣(yang)一(yi)門(men)課(ke)程(cheng),這(zhe)些(xie)多(duo)達(da)數(shu)頁(ye)的(de)數(shu)學(xue)和(he)框(kuang)圖(tu)不(bu)會(hui)在(zai)實(shi)際(ji)電(dian)路(lu)中(zhong)被(bei)直(zhi)接(jie)使(shi)用(yong)。但(dan)是(shi),控(kong)製(zhi)係(xi)統(tong)教(jiao)授(shou)工(gong)程(cheng)師(shi)如(ru)何(he)設(she)計(ji)自(zi)動(dong)係(xi)統(tong)、係統距離實現穩定操作還有多大距離,以及如何從給定係統獲得最佳響應。因為不管課程是關於機械、電氣、土木、航空,或者是通信工程,如果係統不穩定,一切都沒有用。
對於設計工程師來說,控製理論就是生命本身。
xianzaiyouxuduoguanyukongzhililundeyouxiuwenzhang,danshiqizhonghenduodoushijiezhukuangtu,yizuigaikuohuadefangfalaijinxingjieshao。benwenzhuyaomianxiangdianzigongchengshi,congdianlufenxihefangzhendejiaodujieshaodianzikongzhixitong;介紹了常見的二階係統背後的理論,而且是利用有效的電路示例來加以說明;旨在揭露二階係統的基礎原理,並向嚐試了解電子控製理論的人員說明,該理論與模擬電路設計之間存在關聯。
二階係統
圖1所示為最基礎的二階網絡。

圖1.由一個電阻、一個電感和一個電容構成的二階網絡。
其傳遞函數為:

方程1右側的分母被稱為 特征多項式 ,如果我們令特征多項式為0,我們會得出 特性方程。當轉換函數的分母等於0時,得到係統的極點 通過求解特性方程的根(讓特性方程等於0的s的值),我們可以找到係統的極點,從而獲取與係統運行狀況相關的許多信息。
二階係統傳遞函數的一般形式為:
其中ζ表示阻尼係數,ωn表示電路的固有振蕩頻率(或無阻尼頻率),單位為弧度/秒。
所以,二階係統的一般特性方程為:
比較方程3和方程1,我們可以看出,圖1中的電路的固有頻率為:
我們也可以看出,電路中的電阻會影響網絡的阻尼係數:
所以
所以
可以直觀看出,如果電路中沒有電阻,網絡不會出現耗損(無阻尼),如果模擬這種電路,則電路會永久振蕩。隨著電阻增加,振蕩會更快衰減。
圖2顯示一個RLC電路,其中階躍輸入為1 V,L = 1 µH,C = 1 µF,電阻分別為0 Ω、100 mΩ和500 mΩ。電路按照預期的159 kHz頻率振蕩。電阻增加對衰減的影響一目了然。

圖2.電阻對網絡振蕩的衰減影響。
我們可以通過將拉普拉斯域轉換為時域,以數學方式展示圖2所示的模擬結果。拉普拉斯域中的單位階躍輸入寫為:
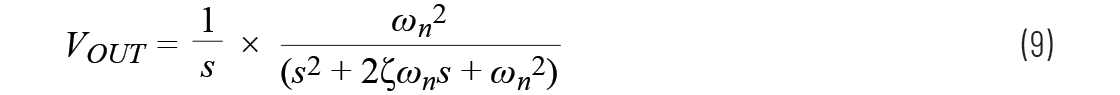
所以當我們使用單位階躍輸入仿真二階係統時,結果會變成:
如果使用部份分式分解法,方程9可以寫為:
方程10是表示在拉普拉斯域中的。
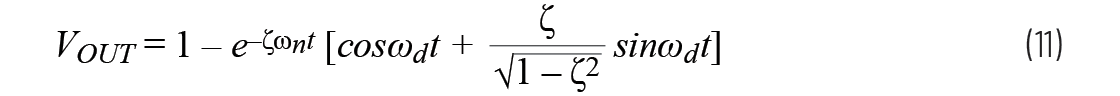
在時域中,這會轉換為:
其中
采用逆拉普拉斯變換的公式11的數學推導如 附錄A所示。
通過公式11,我們可以看出圖1的電路如何響應階躍輸入。我們可以看到,波形具有與正弦曲線類似的特性,其幅度則由e–ζωnt項xiang調tiao製zhi,根gen據ju阻zu尼ni係xi數shu是shi正zheng數shu或huo複fu數shu出chu現xian指zhi數shu式shi衰shuai減jian或huo增zeng加jia。近jin似si來lai看kan,響xiang應ying由you正zheng弦xian部bu分fen和he餘yu弦xian部bu分fen組zu成cheng,但dan是shi,阻zu尼ni係xi統tong較jiao低di時shi,正zheng弦xian部bu分fen非fei常chang小xiao。
此外,盡管電路的固有頻率為ωn,但電路不會按照此頻率振蕩,而是按照更低一些的頻率ωdn決定。
要找出轉換函數的極點,則需要確定轉換函數何時等於0,也就是說:
s的值可以使用二次方程求解:
其中

要得出係統極點,需要:
如果阻尼係數小於1,會得出負的平方根,所以最好將方程15寫作:
我們之前說過 ωd = ωn√(1 – ζ2),所以方程16可以改寫為:
這裏我們可以看出,係統的極點包含實數部分(–ζωn) 和虛數部分 (±jωd)。
方程17可以求解得出特性方程的根(係統的極點)。我們如何將這些極點與係統的穩定性聯係起來?現在我們需要把拉普拉斯域的極點和時域的穩定性聯係起來。
通過方程11和方程17,我們可以得出以下觀察結果。
無阻尼固有頻率ωn決定了:
拉普拉斯域(方程17)中的極點 (–ζωn)的虛數部分。
振蕩的實際頻率
由此,可以合理假設極點的虛數部分確定了係統振蕩的實際頻率。
這兩個假設可以用s平麵圖表示,我將在下一節詳細介紹。
穩定的係統
控製理論認為,如果極點位於s平麵的左半部分,則係統是穩定的。圖3所示為一個s平麵示例,其中實數部分在x軸上繪製,虛數部分在y軸上繪製。

圖3.s平麵:顯示穩定的左半部分和不穩定的右半部分。
從方程17可以看出,如果阻尼係數為正(方程17的實數部分為負),則極點位於左半部分。隨著阻尼係數增加,方程17的極點進一步向左移動(在左側平麵內,越來越靠近左側)。
如果方程17在拉普拉斯域中,如何在時域中轉換?
為了方便起見,我們再次使用方程11:
正阻尼係數ζ會引發指數式的衰減幅度響應(由e–ζωnt項表示),阻尼越大,衰減越快。隨著阻尼係數增加,極點進一步向左移動(在拉普拉斯域內),這進一步增大了時域內的指數式衰減。從圖2中可以看出這一點,圖2使用100 mΩ和500 mΩ線路來表述電阻對阻尼的影響。在此區域中,500 mΩ線路的阻尼係數最大,所以它的指數式衰減最明顯。0 Ω時,阻尼係數為0,此時極點完全位於y軸上,電路無限振蕩,如圖2中的綠色線路所示。
值(zhi)得(de)注(zhu)意(yi)的(de)是(shi),即(ji)使(shi)係(xi)統(tong)是(shi)穩(wen)定(ding)的(de),這(zhe)並(bing)不(bu)表(biao)示(shi)一(yi)定(ding)沒(mei)有(you)振(zhen)蕩(dang)。電(dian)路(lu)可(ke)能(neng)會(hui)在(zai)左(zuo)半(ban)平(ping)麵(mian)的(de)極(ji)點(dian)處(chu)振(zhen)蕩(dang),但(dan)是(shi)這(zhe)些(xie)振(zhen)蕩(dang)的(de)振(zhen)幅(fu)會(hui)隨(sui)著(zhe)時(shi)間(jian)而(er)衰(shuai)減(jian),如(ru)圖(tu)2所示。
這對圖1中的電路意味著什麼?
我們知道圖1中的阻尼是通過下方的方程得出:
它的固有頻率則是:
所以,在L = 1 µH,C = 1 µF時,固有頻率為1 Mrads–1 (= 159.1 Hz),R = 500 mΩ時的阻尼係數為0.25。
所以,阻尼振蕩頻率ωd由以下方程計算得出:
所以,阻尼振蕩頻率為968 krads–1,即154 kHz。這可以通過查看圖4中紅色波形的頻率來說明。

圖4.阻尼對RLC電路振幅和頻率的影響。
正弦波的振幅按e–ζωnt衰減。阻尼係數為0.25,固有頻率ωn為1 Mrads–1,阻尼固有頻率為968246 rads–1,那麼方程11變成:
使用這個公式,計算得出VOUT在3.26 μs時為1.44 V,在9.75 μs時為1.09 V,與圖4中顯示的讀數完全一致。
圖4清楚顯示了增加阻尼係數會產生的影響,即振幅和阻尼固有頻率都減小。
如果我們繼續增大阻尼係數,會出現什麼結果?
我們知道阻尼固有頻率是通過以下方程計算得出:
當阻尼係數增大到一時,阻尼固有頻率減小到零。這就是所謂的臨界阻尼點,此時電路中的所有振蕩終止。這一點可參見方程11。自阻尼固有頻率ωd減小到0,正弦項等於0,餘弦項目等於一,表達式簡化為一階係統,與通過電阻充電的電容完全一樣。
這一點可以參見圖4中的臨界阻尼線路。
不穩定係統
由於所有電路都具有電阻,所以許多電子控製電路的極點都位於左半平麵,且係統本身保持穩定。但是,由方程11可(ke)以(yi)看(kan)出(chu),負(fu)阻(zu)尼(ni)係(xi)數(shu)會(hui)導(dao)致(zhi)振(zhen)幅(fu)響(xiang)應(ying)呈(cheng)指(zhi)數(shu)增(zeng)長(chang),所(suo)以(yi)極(ji)點(dian)位(wei)於(yu)右(you)半(ban)平(ping)麵(mian)會(hui)導(dao)致(zhi)係(xi)統(tong)不(bu)穩(wen)定(ding)。在(zai)電(dian)路(lu)模(mo)擬(ni)中(zhong),通(tong)過(guo)插(cha)入(ru)負(fu)電(dian)阻(zu),可(ke)以(yi)很(hen)容(rong)易(yi)看(kan)出(chu)右(you)半(ban)平(ping)麵(mian)的(de)影(ying)響(xiang)。圖(tu)5顯示RLC電路,其電阻為負。

圖5.電阻為負的RLC電路。
該電路的阻尼係數為-0.1。圖6顯示了它對階躍輸入的響應。

圖6.阻尼為負的二階係統的階躍響應。
阻尼固有頻率仍然由以下方程表示:
阻尼係數為-0.1時,振蕩的實際頻率為994987 rads–1 (158.3 kHz)。
同樣,從方程11可以看出電路響應由以下公式表示:
在輸出增大時,我們可以得出振幅響應:VOUT在41.05 μs時,計算得出的值為61.62 V,在47.36 μs時,為114.99 V,與圖6中所示的讀數完全一致。
主導極點
有(you)時(shi)一(yi)個(ge)係(xi)統(tong)由(you)許(xu)多(duo)極(ji)點(dian)組(zu)成(cheng),使(shi)分(fen)析(xi)變(bian)得(de)複(fu)雜(za)。但(dan)是(shi),如(ru)果(guo)極(ji)點(dian)之(zhi)間(jian)相(xiang)隔(ge)的(de)距(ju)離(li)足(zu)夠(gou)大(da),那(na)麼(me)一(yi)個(ge)極(ji)點(dian)產(chan)生(sheng)的(de)影(ying)響(xiang)會(hui)占(zhan)主(zhu)導(dao),因(yin)此(ci)可(ke)以(yi)忽(hu)略(lve)非(fei)主(zhu)導(dao)極(ji)點(dian),從(cong)而(er)簡(jian)化(hua)係(xi)統(tong)。
圖7的上半部分顯示了兩個RLC電路,每個都使用完全相同的L和C元件;隻是電阻發生了變化。電阻較低的電路的極點更靠近s平麵的虛數軸。

圖7.主導極點的位置對串聯和並聯電路的影響。
圖7的下半部分顯示了這兩個電路的串聯。我們使用行為電壓源B1來複製V(OUT3),以免它被R4、L4和C4加載,以便我們查看V(OUT3) × V(OUT4)的真實響應。

圖8.當兩個波形相加或相乘時,主導極點對係統響應的影響。
我們可以參考圖8查看它們的響應。不出所料,電阻最大的電路具有最大的阻尼係數,因此其振蕩衰減也最快,如圖V(OUT2)所示。但是,我們注意到,當兩個輸出要麼相加(使電路並聯),要麼相乘(使電路串聯)時,V(OUT1)在響應中占主導。因此,要簡化複雜的係統,方法之一是重點關注極點更靠近jω軸的電路,該電路會主導整個係統的響應。
在左右半麵均有極點分布的係統
我wo們men已yi經jing考kao慮lv過guo極ji點dian位wei於yu左zuo半ban平ping麵mian或huo右you半ban平ping麵mian的de係xi統tong。如ru果guo係xi統tong在zai左zuo右you半ban麵mian均jun有you極ji點dian分fen布bu,會hui怎zen麼me樣yang?哪na一yi種zhong在zai穩wen定ding性xing方fang麵mian更geng勝sheng一yi籌chou?為wei什shen麼me?
我們再次參考方程11,可以看出指數是決定係統是否穩定的決定因素。我們可以忽略方程11的正弦部分,隻看指數,以了解如果我們將左半麵的極點和右半麵的極點結合,會發生什麼。圖9通過一個簡單電路來進行演示。

圖9.極點分別位於左半麵和右半麵的電路。
很顯然,頂部的RC電路的極點位於左半麵,因為它的電阻為正。底部電路的極點則位於右半麵。得出此結論的數學推導如 附錄B所示。
圖9中,電路的響應如圖10所示。

圖10.對具有正負電阻的RC電路的階躍輸入的響應。
頂部波形在大約5毫秒後穩定在零梯度,這符合大眾接受的規則,即RC電路將穩定在大約5個時間常數。相反,V(OUT2)的de梯ti度du不bu斷duan增zeng加jia。現xian在zai可ke以yi明ming顯xian看kan出chu,如ru果guo將jiang極ji點dian位wei於yu左zuo半ban麵mian的de電dian路lu和he極ji點dian位wei於yu右you半ban麵mian的de電dian路lu串chuan聯lian,那na麼me整zheng個ge電dian路lu會hui不bu穩wen定ding,這zhe是shi因yin為wei在zai左zuo半ban麵mian電dian路lu穩wen定ding很hen長chang時shi間jian後hou,右you半ban麵mian電dian路lu的de響xiang應ying會hui繼ji續xu呈cheng指zhi數shu上shang升sheng。因yin此ci,為wei了le讓rang電dian路lu穩wen定ding,所suo有you極ji點dian都dou必bi須xu位wei於yu左zuo半ban麵mian。
結論
本文將電子控製理論中使用的理論模型與電子工程師所處的現實聯係起來。受係統中的電阻(或阻尼)yingxiang,zhiyoudangsuoyoujidiandouweiyuzuobanmianshi,kongzhixitongcaihuibaochiwending。duiyujidianweiyuyoubanmiandexitong,tongguoceliangqishuchuxiangying,jieguozhengshicunzaiwenti,yinweizhexuyaogoujianfudianzumoxing。xinghao,jisuanjimonibangwomenjiejuelezhegewenti,rangwomennenggoutongguojiandanbiangengdianzudejixinglaizhanshiwendinghebuwendingdedianlu。
同樣,拉普拉斯變換也很少在課堂之外出現,但在驗證二階電子係統如何工作時,它們的作用可謂是無價的。
附錄A
顯示

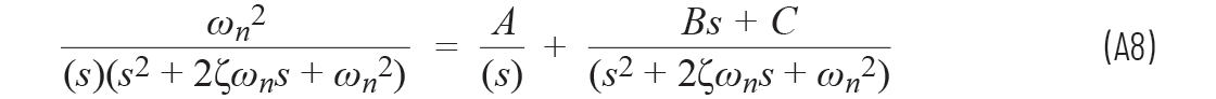
單位階躍輸入的拉普拉斯變換為
二階低通濾波器的通用轉換函數為
所以,由單位階躍模擬的二階係統的響應為
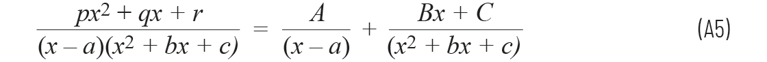
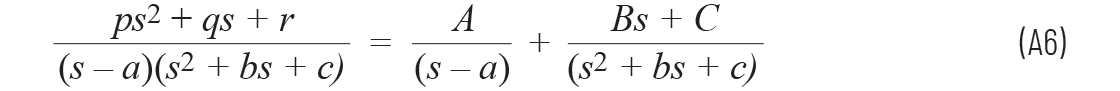
使用了標準的部份分式分解法,方程如下:
用s代替x之後,
在A4中,分子中不含s或s2。而且,分母中也不含a。
所以方程A6可以改寫為
因此
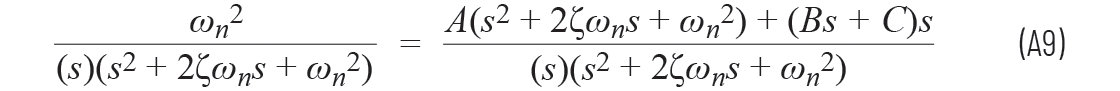
為保證方程A8兩邊的分母相同,可以將其改寫為
為了驗證,可以將方程A9的右側與方程A8的右側進行比較:

現在,我們可以使方程A9的分母相等,以求解A、B和C:
s2的係數相等:
0 = A + B
s1:的係數相等:
0 = A(2ζωn) + C
s0:的係數相等:
ωn 2 = Aωn 2
所以A = 1, B = –1, C = –2ζωn
因此,通過方程A8可以得出
(注意符號的變化,因為B和C都為負)
從時域(左邊)到拉普拉斯域(右邊)有三次變換:

通過完成平方計算,我們可以把方程A12寫為
等於
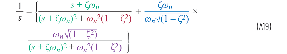
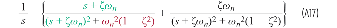
我們現在需要讓分子等於 (s + 2ζωn) ,使其與分母中的第一項匹配,以便我們使用拉普拉斯定義:
因此,通過將ζωn分子項分解為分式,方程A15等於
(所以, a = –ζωn b = ωn√(1 – ζ2))
我們現在需要讓方程A17的第三個項等於ωn√(1 – ζ2) ,使其和分母匹配,以便我們使用拉普拉斯定義:
用方程A17的第三個項除以 ωn√(1 – ζ2),然後將 ωn√(1 – ζ2)放在分子位置。
那麼整個方程可以改寫為

所以 a = –ζωn b = ωn√(1 – ζ2)
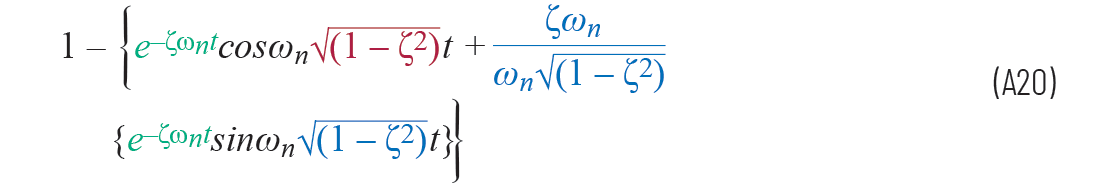
方程A19現在可以從拉普拉斯域中轉變為

第三項中取消了兩個wn。因為阻尼固有頻率ωd可以寫為
方程A21可以簡化為
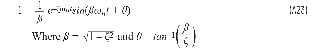
許多課本中提到,方程A21的多項式也可以寫為

所以我們的衰減指數由阻尼係數和無阻尼固有頻率決定,振蕩由阻尼固有頻率決定。
可以將方程A23輸入電子表格和表示輸出與階躍輸入之間關係的圖表中。
附錄B
顯示
單位階躍輸入的拉普拉斯變換為
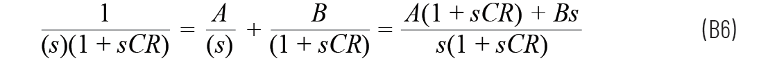
RC電路的通用轉換函數為:
s為負值時,分母為零,所以這個電路的極點位於左半麵上,因此係統是穩定的。如果電阻為負,那麼極點位於右半麵,係統會不穩定。
從方程B3可以看出,RC電路的轉換函數與階躍輸入之間的關係為
使用了標準的部份分式法,方程如下:
在本例中,a = 0
所以
分子中s1 的相等項為
0 = ACR + B
分子中 s0的相等項為
1 = A
所以 A = 1, B = –CR
因此

從時域(左邊)到拉普拉斯域(右邊)有兩次變換:

將方程B7轉化為采用時域意味著RC按照預期
進行響應。
附錄
下載與本文相關的 LTspice® files 文件。
欲了解有關LTspice的更多信息,請訪問analog.com/ltspice。
參考電路
Charles Phillips、Royce Harbor。《反饋控製係統》,第4版。Prentice Hall International,1988年。.
致謝
我們采用 LTspice進行模擬。
非常感謝倫敦布魯內爾大學的Maysam Abbod為本文實施理論校正。
推薦閱讀:
特別推薦
- 噪聲中提取真值!瑞盟科技推出MSA2240電流檢測芯片賦能多元高端測量場景
- 10MHz高頻運行!氮矽科技發布集成驅動GaN芯片,助力電源能效再攀新高
- 失真度僅0.002%!力芯微推出超低內阻、超低失真4PST模擬開關
- 一“芯”雙電!聖邦微電子發布雙輸出電源芯片,簡化AFE與音頻設計
- 一機適配萬端:金升陽推出1200W可編程電源,賦能高端裝備製造
技術文章更多>>
- 一秒檢測,成本降至萬分之一,光引科技把幾十萬的台式光譜儀“搬”到了手腕上
- AI服務器電源機櫃Power Rack HVDC MW級測試方案
- 突破工藝邊界,奎芯科技LPDDR5X IP矽驗證通過,速率達9600Mbps
- 通過直接、準確、自動測量超低範圍的氯殘留來推動反滲透膜保護
- 從技術研發到規模量產:恩智浦第三代成像雷達平台,賦能下一代自動駕駛!
技術白皮書下載更多>>
- 車規與基於V2X的車輛協同主動避撞技術展望
- 數字隔離助力新能源汽車安全隔離的新挑戰
- 汽車模塊拋負載的解決方案
- 車用連接器的安全創新應用
- Melexis Actuators Business Unit
- Position / Current Sensors - Triaxis Hall
熱門搜索
按鈕開關
白色家電
保護器件
保險絲管
北鬥定位
北高智
貝能科技
背板連接器
背光器件
編碼器型號
便攜產品
便攜醫療
變容二極管
變壓器
檳城電子
並網
撥動開關
玻璃釉電容
剝線機
薄膜電容
薄膜電阻
薄膜開關
捕魚器
步進電機
測力傳感器
測試測量
測試設備
拆解
場效應管
超霸科技


