連載一:EMC中的基石-濾波知識大全
發布時間:2020-04-08 責任編輯:lina
【導讀】讓我們一起來看看處理EMC問題中最常用的手段-RC濾波。本文介紹了濾波的概念,並詳細說明了電阻 - 電容(RC)低通濾波器的用途和特性。
讓我們一起來看看處理EMC問題中最常用的手段-RC濾波。本文介紹了濾波的概念,並詳細說明了電阻 - 電容(RC)低通濾波器的用途和特性。
1、時域和頻域
當我們在示波器上查看電信號時,會看到一條線,表示電壓隨時間的變 化。在任何特定時刻,信號隻有一個電壓值。我們在示波器上看到的是信號的時域表示。
典型的示波器很直觀,但它也有一定的限製性,因為它不直接顯示信號的頻率內容。與時域表示相反,頻域表示(也稱為頻譜)通過識別同時存在的各種頻率分量來傳達關於信號的信息。


正弦波(頂部)和方波(底部)的時域表示

正弦波(頂部)和方波(底部)的頻域表示
2、什麼是濾波器
濾波器是一個電路,其去除或“過濾掉”特定範圍的頻率分量。換句話說,它將信號的頻譜分離為將要通過的頻率分量和將被阻塞的頻率分量。
讓我們假設我們有一個由完美的5 kHz正弦波組成的音頻信號。我們知道時域中的正弦波是什麼樣的,在頻域中我們隻能看到5 kHz的頻率“尖峰”。現在讓我們假設我們激活一個500 kHz振(zhen)蕩(dang)器(qi),將(jiang)高(gao)頻(pin)噪(zao)聲(sheng)引(yin)入(ru)音(yin)頻(pin)信(xin)號(hao)。在(zai)示(shi)波(bo)器(qi)上(shang)看(kan)到(dao)的(de)信(xin)號(hao)仍(reng)然(ran)隻(zhi)是(shi)一(yi)個(ge)電(dian)壓(ya)序(xu)列(lie),每(mei)個(ge)時(shi)刻(ke)有(you)一(yi)個(ge)值(zhi),但(dan)信(xin)號(hao)看(kan)起(qi)來(lai)會(hui)有(you)所(suo)不(bu)同(tong),因(yin)為(wei)它(ta)的(de)時(shi)域(yu)變(bian)化(hua)現(xian)在(zai)必(bi)須(xu)反(fan)映(ying)5 kHzzhengxianbohegaopinzaoyinbodong。raner,zaipinyuzhong,zhengxianbohezaoshengshizaigaiyigexinhaozhongtongshicunzaidedandudepinlvfenliang。zhengxianbohezaoshengzhanjulexinhaopinyubiaoshidebutongbufen(如下圖所示),這意味著我們可以通過將信號引導通過低頻並阻擋高頻的電路來濾除噪聲。

3、濾波器的類型
如ru果guo濾lv波bo器qi通tong過guo低di頻pin並bing阻zu止zhi高gao頻pin,則ze稱cheng為wei低di通tong濾lv波bo器qi。如ru果guo它ta阻zu擋dang低di頻pin並bing通tong過guo高gao頻pin,它ta就jiu是shi一yi個ge高gao通tong濾lv波bo器qi。還hai有you帶dai通tong濾lv波bo器qi,其qi僅jin通tong過guo相xiang對dui窄zhai的de頻pin率lv範fan圍wei,以yi及ji帶dai阻zu濾lv波bo器qi,其qi僅jin阻zu擋dang相xiang對dui窄zhai的de頻pin率lv範fan圍wei。

還可以根據用於實現電路的組件類型對濾波器進行分類。無源濾波器使用電阻、電容、電感;zhexiezujianbujubeitigongfangdadenengli,yinciwuyuanlvboqizhinengweichihuojianxiaoshuruxinhaodefudu。lingyifangmian,youyuanlvboqijikeyilvboxinhaoyoukeyiyingyongzengyi,yinweitabaokuoyouyuanyuanjian,rujingtiguanhuoyunsuanfangdaqi。
基於流行的Sallen-Key拓撲結構的有源低通濾波器

4、RC低通濾波器
為wei了le創chuang建jian無wu源yuan低di通tong濾lv波bo器qi,我wo們men需xu要yao將jiang電dian阻zu元yuan件jian與yu電dian抗kang元yuan件jian組zu合he在zai一yi起qi。換huan句ju話hua說shuo,我wo們men需xu要yao一yi個ge由you電dian阻zu器qi和he電dian容rong器qi或huo電dian感gan器qi組zu成cheng的de電dian路lu。從cong理li論lun上shang講jiang,電dian阻zu - 電感(RL)低通拓撲在濾波能力方麵與電阻 - 電容(RC)低通拓撲相當。但實際上,電阻 - 電容版本更為常見,因此本文的其餘部分將重點介紹RC低通濾波器。

RC低通濾波器
如圖所示,通過將一個電阻與信號路徑串聯,並將一個電容與負載並聯, 可以產生RC低di通tong響xiang應ying。在zai圖tu中zhong,負fu載zai是shi單dan個ge組zu件jian,但dan在zai實shi際ji電dian路lu中zhong,它ta可ke能neng更geng複fu雜za,例li如ru模mo擬ni到dao數shu字zi轉zhuan換huan器qi,放fang大da器qi或huo示shi波bo器qi的de輸shu入ru級ji,用yong於yu測ce量liang濾lv波bo器qi的de響xiang應ying。
如果我們認識到電阻器和電容器形成與頻率相關的分壓器,我們可以直觀地分析RC低通拓撲的濾波動作。

重新繪製RC低通濾波器,使其看起來像分壓器
當輸入信號的頻率低時,電容器的阻抗相對於電阻器的阻抗高; 因此,大部分輸入電壓在電容器上(和負載兩端,與電容器並聯)xiajiang。dangshurupinlvjiaogaoshi,dianrongqidezukangxiangduiyudianzuqidezukangjiaodi,zheyiweizhedianzuqishangdedianyajiangdi,bingqiejiaoshaodedianyachuanshudaofuzai。yinci,dipintongguobingqiegaopinbeizudang。
RC低通功能的這種定性解釋是重要的第一步,但是當我們需要實際設計電路時它並不是很有用,因為術語“高頻”和“低頻”非常模糊。工程師需要創建通過並阻止特定頻率的電路。例如,在上述音頻係統中,我們希望保留5kHz信號並抑製500kHz信號。這意味著我們需要一個過濾器,從5 kHz到500 kHz之間的傳遞過渡到阻塞。
5、截止頻率
濾波器不會引起顯著衰減的頻率範圍稱為通帶,濾波器確實導致顯著衰減的頻率範圍稱為阻帶。模擬濾波器,例如RCditonglvboqi,zongshicongtongdaizhujianguodudaozudai。zheyiweizhewufashibielvboqitingzhichuandixinhaobingkaishizusaixinhaodeyigepinlv。raner,gongchengshixuyaoyizhongfangbian,jianjiedizongjielvboqipinlvxiangyingdefangfa,zhejiushijiezhipinlvgainianfahuizuoyongdedifang。
當我們查看RC濾波器的頻率響應圖時,會注意到術語“截止頻率”不是很準確。信號光譜被“切割”成兩半的圖像,其中一個被保留而其中一個被丟棄, 不適用,因為隨著頻率從截止點下方移動到截止值以上,衰減逐漸增加。
RC低通濾波器的截止頻率實際上是輸入信號幅度降低3dB的頻率(選擇該值是因為幅度降低3dB對應於功率降低50%)。因此,截止頻率也稱為-3 dB頻率,實際上該名稱更準確且信息量更大。術語帶寬是指濾波器通帶的寬度,在低通濾波器的情況下,帶寬等於-3 dB頻率(如下圖所示)。

該圖表示RC低通濾波器的頻率響應的一般特性。帶寬等於-3 dB頻率
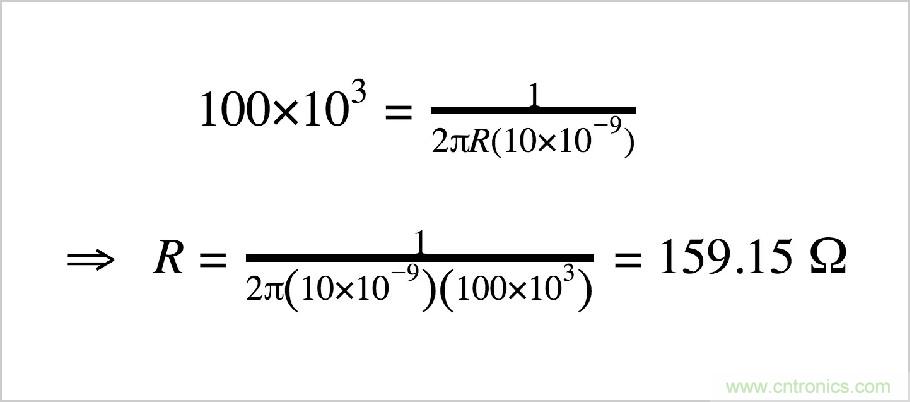
如上所述,RC濾(lv)波(bo)器(qi)的(de)低(di)通(tong)行(xing)為(wei)是(shi)由(you)電(dian)阻(zu)器(qi)的(de)頻(pin)率(lv)無(wu)關(guan)阻(zu)抗(kang)與(yu)電(dian)容(rong)器(qi)的(de)頻(pin)率(lv)相(xiang)關(guan)阻(zu)抗(kang)之(zhi)間(jian)的(de)相(xiang)互(hu)作(zuo)用(yong)引(yin)起(qi)的(de)。為(wei)了(le)確(que)定(ding)濾(lv)波(bo)器(qi)頻(pin)率(lv)響(xiang)應(ying)的(de)細(xi)節(jie),我(wo)們(men)需(xu)要(yao)在(zai)數(shu)學(xue)上(shang)分(fen)析(xi)電(dian)阻(zu)(R)和電容(C)之間的關係,我們還可以改變這些值,以設計滿足精確規格的濾波器。RC低通濾波器的截止頻率(f C) 計算如下:

我們來看一個簡單的設計實例。電容值比電阻值更具限製性,因此我們將從常見的電容值(例如10 nF)開始,然後我們將使用該公式來確定所需的電阻值。目標是設計一個濾波器,它將保留5 kHz音頻波形並抑製500 kHz 噪聲波形。我們將嚐試100 kHz的截止頻率,稍後在文章中我們將更仔細地分析此濾波器對兩個頻率分量的影響。

因此,160Ω電阻與10 nF電容相結合,將為我們提供一個非常接近所需頻率響應的濾波器。
免責聲明:本文為轉載文章,轉載此文目的在於傳遞更多信息,版權歸原作者所有。本文所用視頻、圖片、文字如涉及作品版權問題,請聯係小編進行處理。
特別推薦
- 噪聲中提取真值!瑞盟科技推出MSA2240電流檢測芯片賦能多元高端測量場景
- 10MHz高頻運行!氮矽科技發布集成驅動GaN芯片,助力電源能效再攀新高
- 失真度僅0.002%!力芯微推出超低內阻、超低失真4PST模擬開關
- 一“芯”雙電!聖邦微電子發布雙輸出電源芯片,簡化AFE與音頻設計
- 一機適配萬端:金升陽推出1200W可編程電源,賦能高端裝備製造
技術文章更多>>
- 貿澤EIT係列新一期,探索AI如何重塑日常科技與用戶體驗
- 算力爆發遇上電源革新,大聯大世平集團攜手晶豐明源線上研討會解鎖應用落地
- 創新不止,創芯不已:第六屆ICDIA創芯展8月南京盛大啟幕!
- AI時代,為什麼存儲基礎設施的可靠性決定數據中心的經濟效益
- 矽典微ONELAB開發係列:為毫米波算法開發者打造的全棧工具鏈
技術白皮書下載更多>>
- 車規與基於V2X的車輛協同主動避撞技術展望
- 數字隔離助力新能源汽車安全隔離的新挑戰
- 汽車模塊拋負載的解決方案
- 車用連接器的安全創新應用
- Melexis Actuators Business Unit
- Position / Current Sensors - Triaxis Hall
熱門搜索
Future
GFIVE
GPS
GPU
Harting
HDMI
HDMI連接器
HD監控
HID燈
I/O處理器
IC
IC插座
IDT
IGBT
in-cell
Intersil
IP監控
iWatt
Keithley
Kemet
Knowles
Lattice
LCD
LCD模組
LCR測試儀
lc振蕩器
Lecroy
LED
LED保護元件
LED背光





