異步電機混合模型轉子磁鏈觀測器學習
發布時間:2022-12-05 責任編輯:lina
【導讀】調速係統中的電機控製技術的根本的目的實現轉矩精準、迅速的控製。以矢量控製的概念為基礎,達到對電機的磁鏈、轉zhuan矩ju分fen別bie控kong製zhi的de目mu的de前qian提ti是shi轉zhuan子zi的de磁ci場chang定ding向xiang控kong製zhi係xi統tong需xu要yao通tong過guo控kong製zhi定ding子zi電dian流liu的de勵li磁ci分fen量liang使shi得de轉zhuan子zi磁ci鏈lian幅fu值zhi恒heng定ding,而er後hou由you控kong製zhi定ding子zi電dian流liu轉zhuan矩ju分fen量liang來lai實shi現xian調tiao節jie轉zhuan矩ju以yi及ji實shi現xian控kong製zhi調tiao節jie轉zhuan速su的de目mu的de。
一、引言
調速係統中的電機控製技術的根本的目的實現轉矩精準、迅速的控製。以矢量控製的概念為基礎,達到對電機的磁鏈、轉zhuan矩ju分fen別bie控kong製zhi的de目mu的de前qian提ti是shi轉zhuan子zi的de磁ci場chang定ding向xiang控kong製zhi係xi統tong需xu要yao通tong過guo控kong製zhi定ding子zi電dian流liu的de勵li磁ci分fen量liang使shi得de轉zhuan子zi磁ci鏈lian幅fu值zhi恒heng定ding,而er後hou由you控kong製zhi定ding子zi電dian流liu轉zhuan矩ju分fen量liang來lai實shi現xian調tiao節jie轉zhuan矩ju以yi及ji實shi現xian控kong製zhi調tiao節jie轉zhuan速su的de目mu的de。為了實現這一目標,就必須獲得較為精準的轉子磁鏈的幅值和空間位置信息, 在實用中通常使用磁鏈觀測這一手段來實現。磁鏈觀測器應實現兩個目標:一是獲得的轉子磁鏈幅值;二則需要確保轉子磁場定向的準確性,從而獲得實時的磁鏈空間位置角度以用於坐標變換。
觀測異步電機轉子磁鏈的基本方法有兩種:電流模型法和電壓模型法。電流型轉子磁鏈觀測通過定子電流和電機轉速來計算轉子磁鏈;erdianyamoxingzetongguodingzidianyahedingzidianliujinxingjisuan,xuyaoduidianjidefandiandongshijinxingjifen。dianliuxingfangfazhongyouyuxuyaoshishizhuansuxinxihezhuanzishijianchangshudebuwendingxing,gutongchangshiyongyudisuqingkuang,erdianyaxingguancefangfazebuxuyaozhuansuxinxi,gengshihezhong、 高速以及無速度傳感應用場合,但純積分環節則會帶來的零點漂移和初值問題,且低速時下定子電阻壓降會造成觀測 結果的誤差; 本文為了克服兩種觀測模型在高、 低速應用場合的缺點,結合二者在不同速度場合的特點和實用性,介紹了電壓-電流混合模型進行轉子磁鏈觀測器。
二、混合模型轉子磁鏈觀測器介紹

圖1 混合模型磁鏈觀測器控製框圖
由圖1 混合模型磁鏈觀測器控製框圖可知,混合模型由PI調節器連接電流模型和電壓模型磁鏈觀測器組成。
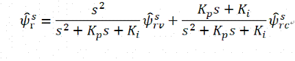
在兩相靜止坐標係下,定子磁鏈的兩個分量調節器參 數相同,采用PI控製器進行電壓模型補償後,電壓-電流 混合模型閉環磁鏈觀測器的簡化框圖如圖2所示。

圖2 混合模型磁鏈觀測器的簡化框圖

混合模型磁鏈觀測器的輸出合成的轉子磁鏈是電壓模型和電流模型按一定比例合成的,其中權重係數是觀測器的特征函數。合理設計PI補償控製來實現電流、dianyamoxingzhijiandepinghuaqiehuanshishejidezhongdian。keyikandaozaidianjilingsushi,dianyamoxingdeshuruzhishidianliumoxingdejisuanzhi,congerjiejuededianyamoxingdejifenchushizhishedingdewenti。yongPI控製器補償電壓解決了電壓 模型在低速時受到定子電阻參數誤差影響較大的問題和純積分環節的零漂問題。

圖3 不同轉子磁鏈觀測器的特征函數
將混合模型的特征函數代入到統一特性方程中,得到如下公式:



三、混合模型轉子磁鏈觀測器仿真模型搭建

圖4 混合模型磁鏈觀測器係統仿真

圖5 異步電機矢量控製仿真波形變化情況

圖6 混合模型磁鏈觀測器磁鏈估計變化情況
從圖6可以發現,在改變轉速和突然加載的情況下,混合模型磁鏈觀測器都能準確的估算出轉子磁鏈。
四、總結
電(dian)流(liu)型(xing)磁(ci)鏈(lian)觀(guan)測(ce)器(qi)的(de)在(zai)低(di)速(su)時(shi)能(neng)夠(gou)得(de)到(dao)較(jiao)為(wei)的(de)轉(zhuan)子(zi)磁(ci)鏈(lian)觀(guan)測(ce)值(zhi),而(er)隨(sui)著(zhe)速(su)度(du)的(de)增(zeng)加(jia),觀(guan)測(ce)器(qi)受(shou)到(dao)電(dian)機(ji)參(can)數(shu)的(de)影(ying)響(xiang)越(yue)來(lai)越(yue)大(da),觀(guan)測(ce)誤(wu)差(cha)也(ye)越(yue)大(da),已(yi)經(jing)不(bu)能(neng)正(zheng)常(chang)工(gong)作(zuo);而er電dian壓ya型xing磁ci鏈lian觀guan測ce器qi在zai低di速su時shi受shou到dao定ding子zi電dian阻zu壓ya降jiang的de影ying響xiang較jiao大da,不bu能neng得de到dao的de轉zhuan子zi磁ci鏈lian,隨sui著zhe係xi統tong速su度du的de增zeng加jia,定ding子zi電dian阻zu壓ya降jiang的de影ying響xiang將jiang會hui越yue來lai越yue小xiao,觀guan測ce器qi能neng夠gou得de到dao較jiao為wei的de轉zhuan子zi磁ci鏈lian觀guan測ce值zhi;混合模型磁鏈觀測器在低速和高速情況下,都能得到較為的轉子磁鏈觀測值,而且在觀測器模型切換和電壓補償時 沒有出現明顯的振蕩。本文結合電壓型、電dian流liu型xing轉zhuan子zi磁ci鏈lian觀guan測ce器qi的de優you缺que點dian,介jie紹shao了le混hun合he模mo型xing轉zhuan子zi磁ci鏈lian觀guan測ce器qi,通tong過guo電dian流liu模mo型xing得de到dao的de觀guan測ce結jie果guo對dui電dian壓ya模mo型xing進jin行xing修xiu正zheng,從cong而er在zai保bao留liu了le電dian壓ya型xing磁ci鏈lian觀guan測ce器qi高gao速su性xing能neng優you良liang的de基ji礎chu上shang,優you化hua了le觀guan測ce器qi在zai低di速su情qing況kuang下xia的de性xing能neng,保bao證zheng混hun合he模mo型xing磁ci鏈lian觀guan測ce器qi在zai電dian機ji全quan速su範fan圍wei均jun能neng達da到dao較jiao好hao的de觀guan測ce結jie果guo,確que保bao整zheng個ge係xi統tong的de穩wen定ding性xing,仿fang真zhen結jie果guo證zheng明ming了le此ci方fang案an的de可ke行xing性xing。
免責聲明:本文為轉載文章,轉載此文目的在於傳遞更多信息,版權歸原作者所有。本文所用視頻、圖片、文字如涉及作品版權問題,請聯係小編進行處理。
推薦閱讀:
RS瑞森半導體-PCB LAYOUT中ESD的對策與LLC方案關鍵物料選型分享
- 噪聲中提取真值!瑞盟科技推出MSA2240電流檢測芯片賦能多元高端測量場景
- 10MHz高頻運行!氮矽科技發布集成驅動GaN芯片,助力電源能效再攀新高
- 失真度僅0.002%!力芯微推出超低內阻、超低失真4PST模擬開關
- 一“芯”雙電!聖邦微電子發布雙輸出電源芯片,簡化AFE與音頻設計
- 一機適配萬端:金升陽推出1200W可編程電源,賦能高端裝備製造
- 貿澤EIT係列新一期,探索AI如何重塑日常科技與用戶體驗
- 算力爆發遇上電源革新,大聯大世平集團攜手晶豐明源線上研討會解鎖應用落地
- 創新不止,創芯不已:第六屆ICDIA創芯展8月南京盛大啟幕!
- AI時代,為什麼存儲基礎設施的可靠性決定數據中心的經濟效益
- 矽典微ONELAB開發係列:為毫米波算法開發者打造的全棧工具鏈
- 車規與基於V2X的車輛協同主動避撞技術展望
- 數字隔離助力新能源汽車安全隔離的新挑戰
- 汽車模塊拋負載的解決方案
- 車用連接器的安全創新應用
- Melexis Actuators Business Unit
- Position / Current Sensors - Triaxis Hall



