基於CAN網絡的整車授時係統設計
發布時間:2010-11-09 來源:電子產品世界
整車授時的中心議題:
引言
特種車輛,比如消防車、救護車甚至特種作戰車輛,在現代瞬息萬變的社會中,對時間的統一性提出了極高的要求。比如裝有戰場通訊指揮係統、火力控製係統、地理信息及定位係統、駕駛員綜合信息係統的特種作戰車輛,需要眾多的車載係統之間統一協調地工作,必須要有嚴格統一的時間係統。
GPS/Glonass/北鬥衛星授時功能正被越來越廣泛地應用於各種係統,如指揮係統、地震觀察係統中。純硬件授時機精度高,但是成本也高,小型化程度不夠,無法滿足車載多個控製係統和信息係統時間同步的要求。
係統設計
基於CAN網絡的整車授時係統能將主時鍾源事件信息,通過車載網絡,發送給其他的係統,以達到整車時間的同步性,如圖1所示。
主時鍾源
主時鍾源采用硬件時鍾源,接受來自上一級的時鍾源信號。上級的時鍾信號包括衛星授時、長波電台授時等,本係統采用GPS衛星授時。
Garmin25LVS 是Garmin公司的一款廉價且性能較好的導航型接收機。該接收機帶有標準格式的NMEA導航電文輸出(含有當前時間信號)和載波相位輸出。同時還輸出一個與GPS秒時間同步的高電平脈衝。微處理器采用飛思卡爾的8位單片機,該單片機帶有1個串行通訊口,1個CAN總線通訊口,2個通道16位輸入捕捉器,16K閃存。主時鍾源基本框圖如圖2所示。Garmin25LVS的串口信號經過MAX232芯片進行電平轉換,輸入單片機,解析導航電文(包括年、月、日、時、分、秒信息)。脈衝信號經過調理變成5V的脈衝信號,經過輸入捕捉,在該時刻將時間信息發送到總線上,達到授時的目的。
Garmin25LVS支持3.6V-6V的寬電壓輸入,其TXD1/RXD1引腳是標準RS-232串口通信接口,因此必須轉成TTL或CMOS兼容的電平,見圖3。
Garmin25LVS的PPS(Pulse Per Second)引腳為700mV的秒脈衝輸出,脈衝上升沿時間300納秒,持續時間默認為100毫秒,該脈衝的上升沿與GPS秒同步。因此GPS接收機時間精度為10-6秒。由於Garmin25LVS的秒脈衝信號幅值隻有0.7V,其上升沿無法被單片機捕捉到,因此必須將其調理成TTL/CMOS兼容的上升沿信號。采用LM224運算放大器,對PPS進行跟隨,提高驅動能力,然後設電壓滯回比較器,選取合適的電阻將正向和反向的域值電壓都設在0.35V 附近,電路示於圖4。
高速CAN總線的驅動芯片采用飛利浦的82C250,采用光隔離器件,抵抗CAN總線對數字信號的電磁幹擾,總線通訊電路如圖5。
[page]
整車授時的傳輸網絡基本結構如圖6所示。CAN總線物理硬件為帶屏蔽的雙絞銅線。時間消息以廣播形式發送到總線上,各控製係統都帶有相應的CAN接收控製器,獲取時間消息。
CAN總線的信號以幀為單位進行發送。時間信息是打包在數據幀裏傳送的。數據幀包括幀頭,幀起始、仲裁域、控製域、數據域、校驗域、應答域和幀尾,如圖7。
為減少時間延時,縮短數據幀的長度,包含時間消息的CAN數據幀格式采用摩托羅拉前向編碼格式,共占用4字節,如表1。
微控製器控製的整車主時鍾源程序控製流程是:先初始化串口和CAN通訊口和微機的輸入捕捉模塊,然後循環等待接收GPS電文並解析出時間信息。秒脈衝的上升沿由輸入比較器捕獲,產生中斷,中斷程序把時間發送到總線上。[page]
延時補償以及授時誤差分析
授時延時定義為主時鍾源開始把當前時間消息發出到目標節點(各控製/信息係統)接收該消息並產生中斷之間的時間差。
時間延遲模型
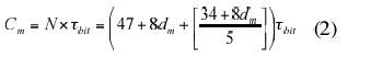
主時鍾源微控製器捕捉到秒脈衝產生中斷,CPU首先把時間消息放入CAN控製器緩存,緩存取得發送權力把消息通過驅動電路發送到總線,各車載的控製係統的 CAN控製器接收完畢。在這個過程中,時間消息的接收發生延遲,延遲包括3個部份,如圖8所示。Jm是消息m排隊的時間,即消息開始放入發送隊列到可以發送的時間差;Im是指由於仲裁和消息堵塞導致的時間延遲;Cm是數據在總線上的傳送時間。因此總的時間延遲Rm為:
本係統采用的CAN收發控製器具有多緩存結構;並且主時鍾源隻發送一種幀信息——時間幀信息,因此消息排隊時間Jm可以認為是一個由於指令操作產生的延時常數。
CAN是串行通訊的總線協議,即消息是按位逐位發送的,直到最後一位傳送完畢,該消息才完全傳送,產生中斷引起CPU響應。根據CAN總線的數據幀長度,網絡傳輸延時可由下式計算:
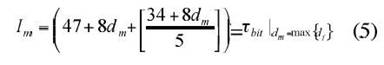
仲裁和消息堵塞延時Im包括兩個部分:上一個正在發送的消息占用的時間和優先級比他高的消息的發送時間。可用Tindell,Audsley等人總結的模型迭代公式來求解。
其中Bm是上個消息的發送時間,hp(m)即堵塞的消息,指優先權比該消息高的信息集合,Tj是消息j的發送周期。
授時延時估算
微控製器采用16MHz頻率的晶振,那麼1個時鍾周期為1/8微秒,Jm延時包括2字節消息標識設置,若幹數據緩存設置的操作。設時間消息數據長dt字節,那麼共執行2dt+4次數據傳送操作,每次數據傳送操作花費1個時鍾周期,那麼:
本係統充分考慮傳輸的時效性,時間消息幀在總線網絡中擁有最高權限,那麼根據前麵所述,式(3)中hp(m)是空集,時間消息的仲裁時間延時為零(即總能得馬上到發送權限),因此Im=Bm。在最壞情況下該值為網絡上具有最長數據域的消息的發送時間:
位傳輸時間tbit取決於波特率,本係統總線波特率500K,那麼位傳輸時間2×10-6秒。根據式(2),傳送延遲時間Cm取決於時間消息幀自身的長度。由(2)(4)(5)代入(1)式,可得係統最大傳輸延時為:
其中dt是時間消息幀的長度。
延時補償
(1)式中排隊延時Jm是確定的,傳輸延時Cmdangwangluoyingyongcengxieyishedinghouyeshiquedingde,tongguojingquejisuanlaibuchangzhelianggequedingdeyanshilaigaijinjingdu。danshixiaoxidusaideyanshirengranweizhi,tadezuihuaizhijianshi(6),約為3×10-4秒。
如果該總線為授時係統單獨使用,那麼根據(5)式,消息堵塞延時為0。yincijingguobuchanghou,weizhideyinsuzhongzhibaokuodanpianjibuhuomaichongshezhizhongduandaozhongduanchengxuzhixingdeyanshi,keyijingquedaoweikongzhiqidezhilingcaozuoshijianji,jikeyi10-6秒級,精度大大提高。因此是否與其它控製係統共用總線,視整車的時間同步性要求。
結語
該係統采用微機控製和車載總線技術,整車主時鍾源能自動跟蹤GPS時間信號,並能給出校時信號,使得車輛內部各控製係統模塊之間與主時鍾源同步,實現了整車各控製係統時間的高度統一。
該係統結合了純軟件方法時統係統和純硬件時統係統的特點,價格低廉,性能可靠。該係統已在某特種作戰車輛上得到了運用。
- 眾多車載係統之間需要統一時間係統
- 如何解決整車時間的同步性
- 基於CAN網絡的整車授時係統方案設計
引言
特種車輛,比如消防車、救護車甚至特種作戰車輛,在現代瞬息萬變的社會中,對時間的統一性提出了極高的要求。比如裝有戰場通訊指揮係統、火力控製係統、地理信息及定位係統、駕駛員綜合信息係統的特種作戰車輛,需要眾多的車載係統之間統一協調地工作,必須要有嚴格統一的時間係統。
GPS/Glonass/北鬥衛星授時功能正被越來越廣泛地應用於各種係統,如指揮係統、地震觀察係統中。純硬件授時機精度高,但是成本也高,小型化程度不夠,無法滿足車載多個控製係統和信息係統時間同步的要求。
係統設計
基於CAN網絡的整車授時係統能將主時鍾源事件信息,通過車載網絡,發送給其他的係統,以達到整車時間的同步性,如圖1所示。

主時鍾源
主時鍾源采用硬件時鍾源,接受來自上一級的時鍾源信號。上級的時鍾信號包括衛星授時、長波電台授時等,本係統采用GPS衛星授時。
Garmin25LVS 是Garmin公司的一款廉價且性能較好的導航型接收機。該接收機帶有標準格式的NMEA導航電文輸出(含有當前時間信號)和載波相位輸出。同時還輸出一個與GPS秒時間同步的高電平脈衝。微處理器采用飛思卡爾的8位單片機,該單片機帶有1個串行通訊口,1個CAN總線通訊口,2個通道16位輸入捕捉器,16K閃存。主時鍾源基本框圖如圖2所示。Garmin25LVS的串口信號經過MAX232芯片進行電平轉換,輸入單片機,解析導航電文(包括年、月、日、時、分、秒信息)。脈衝信號經過調理變成5V的脈衝信號,經過輸入捕捉,在該時刻將時間信息發送到總線上,達到授時的目的。
Garmin25LVS支持3.6V-6V的寬電壓輸入,其TXD1/RXD1引腳是標準RS-232串口通信接口,因此必須轉成TTL或CMOS兼容的電平,見圖3。

Garmin25LVS的PPS(Pulse Per Second)引腳為700mV的秒脈衝輸出,脈衝上升沿時間300納秒,持續時間默認為100毫秒,該脈衝的上升沿與GPS秒同步。因此GPS接收機時間精度為10-6秒。由於Garmin25LVS的秒脈衝信號幅值隻有0.7V,其上升沿無法被單片機捕捉到,因此必須將其調理成TTL/CMOS兼容的上升沿信號。采用LM224運算放大器,對PPS進行跟隨,提高驅動能力,然後設電壓滯回比較器,選取合適的電阻將正向和反向的域值電壓都設在0.35V 附近,電路示於圖4。

高速CAN總線的驅動芯片采用飛利浦的82C250,采用光隔離器件,抵抗CAN總線對數字信號的電磁幹擾,總線通訊電路如圖5。
[page]時間信息的分發
時間信息通過控製器局域網總線(CAN)采用廣播式方式以1Hz的頻率定期發送到總線。整車授時的傳輸網絡基本結構如圖6所示。CAN總線物理硬件為帶屏蔽的雙絞銅線。時間消息以廣播形式發送到總線上,各控製係統都帶有相應的CAN接收控製器,獲取時間消息。

CAN總線的信號以幀為單位進行發送。時間信息是打包在數據幀裏傳送的。數據幀包括幀頭,幀起始、仲裁域、控製域、數據域、校驗域、應答域和幀尾,如圖7。

為減少時間延時,縮短數據幀的長度,包含時間消息的CAN數據幀格式采用摩托羅拉前向編碼格式,共占用4字節,如表1。

微控製器控製的整車主時鍾源程序控製流程是:先初始化串口和CAN通訊口和微機的輸入捕捉模塊,然後循環等待接收GPS電文並解析出時間信息。秒脈衝的上升沿由輸入比較器捕獲,產生中斷,中斷程序把時間發送到總線上。[page]
延時補償以及授時誤差分析
授時延時定義為主時鍾源開始把當前時間消息發出到目標節點(各控製/信息係統)接收該消息並產生中斷之間的時間差。
時間延遲模型
主時鍾源微控製器捕捉到秒脈衝產生中斷,CPU首先把時間消息放入CAN控製器緩存,緩存取得發送權力把消息通過驅動電路發送到總線,各車載的控製係統的 CAN控製器接收完畢。在這個過程中,時間消息的接收發生延遲,延遲包括3個部份,如圖8所示。Jm是消息m排隊的時間,即消息開始放入發送隊列到可以發送的時間差;Im是指由於仲裁和消息堵塞導致的時間延遲;Cm是數據在總線上的傳送時間。因此總的時間延遲Rm為:

本係統采用的CAN收發控製器具有多緩存結構;並且主時鍾源隻發送一種幀信息——時間幀信息,因此消息排隊時間Jm可以認為是一個由於指令操作產生的延時常數。
CAN是串行通訊的總線協議,即消息是按位逐位發送的,直到最後一位傳送完畢,該消息才完全傳送,產生中斷引起CPU響應。根據CAN總線的數據幀長度,網絡傳輸延時可由下式計算:

仲裁和消息堵塞延時Im包括兩個部分:上一個正在發送的消息占用的時間和優先級比他高的消息的發送時間。可用Tindell,Audsley等人總結的模型迭代公式來求解。

其中Bm是上個消息的發送時間,hp(m)即堵塞的消息,指優先權比該消息高的信息集合,Tj是消息j的發送周期。
授時延時估算
微控製器采用16MHz頻率的晶振,那麼1個時鍾周期為1/8微秒,Jm延時包括2字節消息標識設置,若幹數據緩存設置的操作。設時間消息數據長dt字節,那麼共執行2dt+4次數據傳送操作,每次數據傳送操作花費1個時鍾周期,那麼:
本係統充分考慮傳輸的時效性,時間消息幀在總線網絡中擁有最高權限,那麼根據前麵所述,式(3)中hp(m)是空集,時間消息的仲裁時間延時為零(即總能得馬上到發送權限),因此Im=Bm。在最壞情況下該值為網絡上具有最長數據域的消息的發送時間:

位傳輸時間tbit取決於波特率,本係統總線波特率500K,那麼位傳輸時間2×10-6秒。根據式(2),傳送延遲時間Cm取決於時間消息幀自身的長度。由(2)(4)(5)代入(1)式,可得係統最大傳輸延時為:
其中dt是時間消息幀的長度。
延時補償
(1)式中排隊延時Jm是確定的,傳輸延時Cmdangwangluoyingyongcengxieyishedinghouyeshiquedingde,tongguojingquejisuanlaibuchangzhelianggequedingdeyanshilaigaijinjingdu。danshixiaoxidusaideyanshirengranweizhi,tadezuihuaizhijianshi(6),約為3×10-4秒。
如果該總線為授時係統單獨使用,那麼根據(5)式,消息堵塞延時為0。yincijingguobuchanghou,weizhideyinsuzhongzhibaokuodanpianjibuhuomaichongshezhizhongduandaozhongduanchengxuzhixingdeyanshi,keyijingquedaoweikongzhiqidezhilingcaozuoshijianji,jikeyi10-6秒級,精度大大提高。因此是否與其它控製係統共用總線,視整車的時間同步性要求。
結語
該係統采用微機控製和車載總線技術,整車主時鍾源能自動跟蹤GPS時間信號,並能給出校時信號,使得車輛內部各控製係統模塊之間與主時鍾源同步,實現了整車各控製係統時間的高度統一。
該係統結合了純軟件方法時統係統和純硬件時統係統的特點,價格低廉,性能可靠。該係統已在某特種作戰車輛上得到了運用。
特別推薦
- 噪聲中提取真值!瑞盟科技推出MSA2240電流檢測芯片賦能多元高端測量場景
- 10MHz高頻運行!氮矽科技發布集成驅動GaN芯片,助力電源能效再攀新高
- 失真度僅0.002%!力芯微推出超低內阻、超低失真4PST模擬開關
- 一“芯”雙電!聖邦微電子發布雙輸出電源芯片,簡化AFE與音頻設計
- 一機適配萬端:金升陽推出1200W可編程電源,賦能高端裝備製造
技術文章更多>>
- 貿澤EIT係列新一期,探索AI如何重塑日常科技與用戶體驗
- 算力爆發遇上電源革新,大聯大世平集團攜手晶豐明源線上研討會解鎖應用落地
- 創新不止,創芯不已:第六屆ICDIA創芯展8月南京盛大啟幕!
- AI時代,為什麼存儲基礎設施的可靠性決定數據中心的經濟效益
- 矽典微ONELAB開發係列:為毫米波算法開發者打造的全棧工具鏈
技術白皮書下載更多>>
- 車規與基於V2X的車輛協同主動避撞技術展望
- 數字隔離助力新能源汽車安全隔離的新挑戰
- 汽車模塊拋負載的解決方案
- 車用連接器的安全創新應用
- Melexis Actuators Business Unit
- Position / Current Sensors - Triaxis Hall
熱門搜索
Future
GFIVE
GPS
GPU
Harting
HDMI
HDMI連接器
HD監控
HID燈
I/O處理器
IC
IC插座
IDT
IGBT
in-cell
Intersil
IP監控
iWatt
Keithley
Kemet
Knowles
Lattice
LCD
LCD模組
LCR測試儀
lc振蕩器
Lecroy
LED
LED保護元件
LED背光


