教你用軟件修正三軸正交型傳感器正交性
發布時間:2015-01-21 來源:Ivan 的專欄 責任編輯:sherryyu
【導讀】如果我們對測量精度要求非常高,就不能僅僅隻是對單個傳感器jinxingxiuzheng,haiyaokaolvsangechuanganqideminganzhoushifouyangedezhengjiao。henduoshihouwomenxuyaozaixidetiaozhengsangechuanganqidezhengjiaoguanxi,danshijiangsangechuanganqitiaozhengdaowanquanzhengjiaoshihennande,,zhelijieshaoyizhongjibenderuanjianxiuzhengfangfa。taduidaduoshuleixingdechuanganqidoukeyishiyong。
dangxuyaoceliangdewuliliangweishiliangshi,womenxuyaoshiyongsangezhengjiaofangzhidechuanganqilaifenbieceliangwuliliangdegegefenliang,yicilaihechengyigewanzhengdeshiliang。ruguowomenduiceliangjingduyaoqiufeichanggao,jiubunengjinjinzhishiduidangechuanganqijinxingxiuzheng,haiyaokaolvsangechuanganqideminganzhoushifouyangedezhengjiao。henduoshihouwomenxuyaozaixidetiaozhengsangechuanganqidezhengjiaoguanxi,danshijiangsangechuanganqitiaozhengdaowanquanzhengjiaoshihennande,bingqiexuduoshihou,youyushejidengyuanyin,zhezhongjixieshangdetiaoxiaoshiwufajinxingde。zheshi,ruanjianxiuzhengjiuchenglebibukeshaodebuzhou,ruanjianxiuzhengdaduoshushihouyebijixieshangdetiaoxiaogengjiandan。
zhelijieshaoyizhongjibenderuanjianxiuzhengfangfa。taduidaduoshuleixingdechuanganqidoukeyishiyong。shouxian,jiashedandudemeigechuanganqideceliangdezhidoushizhunquede,zhekeyitongguoyuxianduimeigechuanganqijinxingbiaodinglaiwancheng。
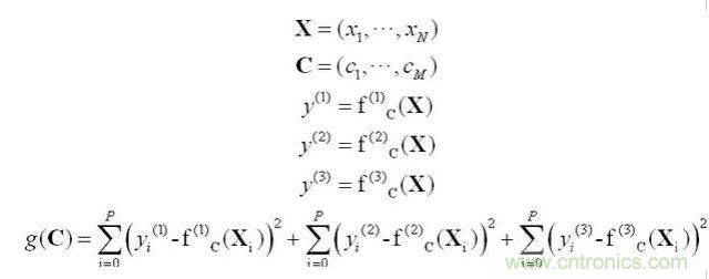
這裏設三個傳感器的測量值分別是 x1,x2,x3。這三個值可以合成一個列向量X:

所謂軟件修正算法,就是找到從 X到 Y 的映射。由解析幾何知識我們知道X到 Y 的映射可以通過一個線性變換C來表示:

寫到這裏其實方法就很明了了,我們隻需要求得這個轉換矩陣C就一切都解決了。
轉換矩陣Cruheqiu,dangranshitongguodaliangdeceliangshujulainihe。shiyanshujudehuodehenzhongyao,zuihaonengyougebijiaojingmidesanzhouzhuantai,zheyangzhuangegejiaodudoubijiaofangbian。meiyouyemeiguanxi,danzhishaoyaonengbazhuangpeihaodechuanganqizuyansangeyizhidefangxiangfangzhi,bingqiezhesangefangxiangyaobaifangdehenjingque。tongchang,womenxuandezhesangefangxiangshixianghuzhengjiaode,zhesangefangxiangshangwuliliangdezhenshizhijiushishangmianshizizhongdey1、y2、y3,huanjuhuashuozhesangefangxiangshisangechuanganqidemingyishangdequxiang,suiranzhesangechuanganqikenengquandoubaiwaile。jutiruhecaijishujujiubuxiangximiaoshule,youyuweizhicanshuyou9個,至少要采集9組數據才行,條件允許的話當然是數據越多越好。
[page]
下麵說說如何對采集到的數據進行擬合。通常我們遇到的最小二乘擬合問題的待擬合的函數都可以表示為:

這個問題已經有成熟的算法,各種常見的數學軟件,比如 Matlab、Mathematica、scilab、Lingo 等都有現成的程序包來完成這個計算。我們現在的問題難點在於 y 也是個向量,這就需要我們對上麵的方法進行一點簡單的變形。簡單的說,我們實際上是有三個待擬合函數的,因此g(C)也要做相應的改變:

經過這樣轉化後就成了一個普通的最優化問題(函數求極值)了,各種數學軟件都可以方便的計算出結果。
這裏再多說幾句,我個人喜歡使用 gnuplot,gnuplot中有個 fit 命令,也可以完成多元函數擬合。Gnuplot的 fit 命令采用非線性最小二乘 (NLLS) Marquardt-Levenberg算法,擬合能力非常強悍,隻要擬合參數的初值給的別太離譜,基本都能夠收斂到最優解上。fit命令具體的用法可以參考gnuplot的幫助文件。這裏隻講講如何處理 y是多個值的問題,方法很簡單,就是通過多引入一個自變量,將多值函數改造成普通的函數:

這裏需要注意的是如果a1,a2,a3成為未知數,c11,c22,c33就可以作為已知量了,比如設c11=c22=c33=1,因為這裏的六個未知數隻有三個是獨立的。因此,實際上隻增加了三個未知數。
如果將上麵的方法和溫度修正一起考慮的話可以這樣處理:

上麵式子中的t是溫度,這裏的溫度修正算法比較簡單,主要是為了盡量少引入未知的參數。後麵的計算就沒什麼不同的了。
特別推薦
- 噪聲中提取真值!瑞盟科技推出MSA2240電流檢測芯片賦能多元高端測量場景
- 10MHz高頻運行!氮矽科技發布集成驅動GaN芯片,助力電源能效再攀新高
- 失真度僅0.002%!力芯微推出超低內阻、超低失真4PST模擬開關
- 一“芯”雙電!聖邦微電子發布雙輸出電源芯片,簡化AFE與音頻設計
- 一機適配萬端:金升陽推出1200W可編程電源,賦能高端裝備製造
技術文章更多>>
- 大聯大世平集團首度亮相北京國際汽車展 攜手全球芯片夥伴打造智能車整合應用新典範
- 2026北京車展即將啟幕,高通攜手汽車生態“朋友圈”推動智能化體驗再升級
- 邊緣重構智慧城市:FPGA SoM 如何破解視頻係統 “重而慢”
- 如何使用工業級串行數字輸入來設計具有並行接口的數字輸入模塊
- 意法半導體將舉辦投資者會議探討低地球軌道(LEO)發展機遇
技術白皮書下載更多>>
- 車規與基於V2X的車輛協同主動避撞技術展望
- 數字隔離助力新能源汽車安全隔離的新挑戰
- 汽車模塊拋負載的解決方案
- 車用連接器的安全創新應用
- Melexis Actuators Business Unit
- Position / Current Sensors - Triaxis Hall
熱門搜索



