y溫濕度傳感器SHT11的感測係統設計
發布時間:2008-10-21
中心議題:
- 介紹SHTll的基本特點、引腳功能、內部結構和工作原理
- 給出SHTll的實用電路、軟件設計方法和溫濕度及露點的計算方法
解決方案:
- SHTll溫濕度傳感器采用SMD表麵貼片封裝形式,接口非常簡單
- 微處理器采用二線串行數字接口和溫濕度傳感器芯片SHTll進行通信
- 采用通用I/O口模擬該通信協議
SHTll簡介
SHTll是瑞士Sensirion公司推出的一款數字溫濕度傳感器芯片。該芯片廣泛應用於暖通空調、汽車、消費電子、自動控製等領域。共主要特點如下:
◆高度集成,將溫度感測、濕度感測、信號變換、A/D轉換和加熱器等功能集成到一個芯片上;
◆提供二線數字串行接口SCK和DATA,接口簡單,支持CRC傳輸校驗.傳輸可靠性高;
◆測量精度可編程調節,內置A/D轉換器(分辨率為8~12位,可以通過對芯片內部寄存器編程來選擇);
◆測量精確度高,由於同時集成溫濕度傳感器,可以提供溫度補償的濕度測量值和高質量的露點計算功能;
◆封裝尺寸超小(7.62 mm×5.08 mm×2.5 mm),測量和通信結束後,自動轉入低功耗模式;
◆高可靠性,采用CMOSens工藝,測量時可將感測頭完全浸於水中。
SHTll的引腳功能
SHTll溫濕度傳感器采用SMD(LCC)表麵貼片封裝形式,接口非常簡單,引腳名稱及排列順序如圖l所示。
各引腳的功能如下:
◇腳1和4——信號地和電源,其工作電壓範圍是2.4~5.5 V;
◇腳2和腳3——二線串行數字接口,其中DA-TA為數據線,SCK為時鍾線;
◇腳5~8——未連接。
SHTll的內部結構和工作原理
溫濕度傳感器SHTl1將溫度感測、濕度感測、信號變換、A/D轉換和加熱器等功能集成到一個芯片上,其內部結構如圖2所(suo)示(shi)。該(gai)芯(xin)片(pian)包(bao)括(kuo)一(yi)個(ge)電(dian)容(rong)性(xing)聚(ju)合(he)體(ti)濕(shi)度(du)敏(min)感(gan)元(yuan)件(jian)和(he)一(yi)個(ge)用(yong)能(neng)隙(xi)材(cai)料(liao)製(zhi)成(cheng)的(de)溫(wen)度(du)敏(min)感(gan)元(yuan)件(jian)。這(zhe)兩(liang)個(ge)敏(min)感(gan)元(yuan)件(jian)分(fen)別(bie)將(jiang)濕(shi)度(du)和(he)溫(wen)度(du)轉(zhuan)換(huan)成(cheng)電(dian)信(xin)號(hao),該(gai)電(dian)信(xin)號(hao)首(shou)先(xian)進(jin)入(ru)微(wei)弱(ruo)信(xin)號(hao)放(fang)大(da)器(qi)進(jin)行(xing)放(fang)大(da);然後進入一個14位的A/D轉換器;最後經過二線串行數字接口輸出數字信號。SHT11在出廠前,都會在恒濕或恒溫環境中進行校準,校準係數存儲在校準寄存器中;在測量過程中,校準係數會自動校準來自傳感器的信號,此外,SHT11內部還集成了一個加熱元件,加熱元件接通後可以將SHTll的溫度升高5℃左右,同時功耗也會有所增加。此功能主要為了比較加熱前後的溫度和濕度值,可以綜合驗證兩個傳感器元件的性能。在高濕(>95%RH)環境中,加熱傳感器可預防傳感器結露,同時縮短響應時間,提高精度。加熱後SHTll溫度升高、相對濕度降低,較加熱前,測量值會略有差異。
微處理器是通過二線串行數字接口與SHTl1進行通信的。通信協議與通用的I2C總線協議是不兼容的,因此需要用通用微處理器I/O口模擬該通信時序。微處理器對SHTll的控製是通過5個5位命令代碼來實現的,命令代碼的含義如表1所列。

SHTll應用設計
微處理器采用二線串行數字接口和溫濕度傳感器芯片SHTll進行通信,所以硬件接口設計非常簡單;然而,通信協議是芯片廠家自己定義的,所以在軟件設計中,需要用微處理器通用I/O口模擬通信協議。
a.硬件設計
SHTl1通過二線數字串行接口來訪問,所以硬件接口電路非常簡單。需要注意的地方是:DATA數據線需要外接上拉電阻,時鍾線SCK用於微處理器和SHTll之間通信同步,由於接口包含了完全靜態邏輯,所以對SCK最低頻率沒有要求;當工作電壓高於4.5V時,SCK頻率最高為10 MHz,而當工作電壓低於4.5 V時,SCK最高頻率則為1 MHz。硬件連接如圖3所示。

b. 軟件設計
微處理器和溫濕度傳感器通信采用串行二線接口SCK和DATA,其中SCK為時鍾線,DATA為數據線。該二線串行通信協議和I2C協議是不兼容的。在程序開始,微處理器需要用一組“啟動傳輸”時序表示數據傳輸的啟動,如圖4所示。當SCK時鍾為高電平時,DATA翻轉為低電平;緊接著SCK變為低電平,隨後又變為高電平;在SCK時鍾為高電平時,DATA再次翻轉為高電平。

SHTll濕度測試時序如圖5所示。其中,陰影部分為SHTll控製總線。主機發出啟動命令,隨後發出一個後續8位命令碼。該命令碼包含3個地址位(芯片設定地址為000)和5個命令位;發送完該命令碼,將DATA總線設為輸入狀態等待SHTll的響應;SHTll接收到上述地址和命令碼後,在第8個時鍾下降沿,將DATA下拉為低電平作為從機的ACK;在第9個時鍾下降沿之後,從機釋放DATA(恢複高電平)總線;釋放總線後,從機開始測量當前濕度,測量結束後,再次將DATA總線拉為低電平;主機檢測到DATA總線被拉低後,得知濕度測量已經結束,給出SCK時鍾信號;從機在第8個時鍾下降沿,先輸出高字節數據;在第9個時鍾下降沿,主機將DATA總線拉低作為ACK信號,然後釋放總線DATA;在隨後8個SCK周期下降沿,從機發出低字節數據;接下來的SCK下降沿,主機再次將DATA總線拉低作為接收數據的ACK信號;最後8個SCK下降沿從機發出CRC校驗數據,主機不予應答(NACK)則表示測量結束。

由於微處理器通過二線串行數字接口訪問濕度傳感器SHTll,而訪問協議是芯片生產商自定義的,所以需要用通用I/O口模擬該通信協議。我們選用Atmel公司的微處理器ATmegal28。通過對I/O口寄存器的編程,該處理器的I/O口可以根據需要設置成輸入、輸出、高阻等狀態,這為模擬該通信協議提供了條件。在軟件實現過程中,通過宏定義來實現I/O口狀態的改變。

通過以上宏定義,可以實現SCK和DATA總線的各種輸入和輸出狀態。為了模擬該二線串行數字協議,還需要一個延時函數。WINAVR庫函數提供了一個延時函數_delay_loop_2(unslgned char s),該延時函數運行用4個時鍾周期,所以白定義延時1μs函數可以定義如下:#deftne CPU_CRYSTAL 7.3728

基於以上宏定義和延時函數,可以方便地使SCK和DATA總線輸出持續一定時間的高電平或低電平,從而可以模擬圖5所示的溫濕度傳感器SHTll的讀寫協議。
c. 溫度和濕度值的計算
濕度線性補償和溫度補償
SHTll可通過DATA數據總線直接輸出數字量濕度值。該濕度值稱為“相對濕度”,xuyaojinxingxianxingbuchanghewendubuchanghoucainengdedaojiaoweizhunquedeshiduzhi。youyuxiangduishidushuzishuchutexingchengyidingdefeixianxing,yinciweilebuchangshiduchuanganqidefeixianxing,keanxiashixiuzhengshiduzhi:
式中:RHincar為經過線性補償後的濕度值,SORH為相對濕度測量值,C1、C2、C3為線性補償係數,取值如表2所列。

由於溫度對濕度的影響十分明顯,而實際溫度和測試參考溫度25℃有所不同,所以對線件補償後的濕度值進行溫度補償很有必要。補償公式如下:

式中:RHtrue為經過線性補償和溫度補償後的濕度值,T為測試濕度值時的溫度(℃),t1和t2為溫度補償係數,取值如表3所列。
溫度值輸出
由於SHTll是采用PTAT能隙材料製成的溫度敏感元件,因而具有很好的線性輸出。實際溫度值可由下式算得:
Temperture=dl+d2×SOT
式中:d1和d2為特定係數,d1的取值與SHTll工作電壓有關,d2的取值則與SHTll內部A/D轉換器采用的分辨率有關,其對應關係分別如表4和表5所列。

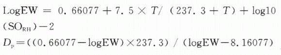
露點計算
露lu點dian是shi一yi個ge特te殊shu的de溫wen度du值zhi,是shi空kong氣qi保bao持chi某mou一yi定ding濕shi度du必bi須xu達da到dao的de最zui低di溫wen度du。當dang空kong氣qi的de溫wen度du低di於yu露lu點dian時shi,空kong氣qi容rong納na不bu了le過guo多duo的de水shui分fen,這zhe些xie水shui分fen會hui變bian成cheng霧wu、露水或霜。露點可以根據當前相對濕度值和溫度值計算得出,具體的計算公式如下:

式中:T為當前溫度值,SORH為相對濕度值,DP為露點。
結論
溫濕度傳感器SHTll集溫度傳感器和濕度傳感器於一體,因此采用SHTll進行溫濕度實時監測的係統具有精度高、成本低、體積小、接口簡單等優點;另外SHTll芯片內部集成了14位A/D轉換器,且采用數字信號輸出,因此抗幹擾能力也比同類芯片高。該芯片在溫濕度監測、自動控製等領域均已得到廣泛應用。
- 噪聲中提取真值!瑞盟科技推出MSA2240電流檢測芯片賦能多元高端測量場景
- 10MHz高頻運行!氮矽科技發布集成驅動GaN芯片,助力電源能效再攀新高
- 失真度僅0.002%!力芯微推出超低內阻、超低失真4PST模擬開關
- 一“芯”雙電!聖邦微電子發布雙輸出電源芯片,簡化AFE與音頻設計
- 一機適配萬端:金升陽推出1200W可編程電源,賦能高端裝備製造
- 邊緣AI的發展為更智能、更可持續的技術鋪平道路
- IAR作為Qt Group獨立BU攜兩項重磅汽車電子應用開發方案首秀北京車展
- 數字化的線性穩壓器
- 安森美:用全光譜“智慧之眼”定義下一代工業機器人
- 貿澤EIT係列新一期,探索AI如何重塑日常科技與用戶體驗
- 車規與基於V2X的車輛協同主動避撞技術展望
- 數字隔離助力新能源汽車安全隔離的新挑戰
- 汽車模塊拋負載的解決方案
- 車用連接器的安全創新應用
- Melexis Actuators Business Unit
- Position / Current Sensors - Triaxis Hall




