電源音頻噪聲
發布時間:2021-09-10 來源:Prasad Joshi 責任編輯:wenwei
【導讀】現(xian)代(dai)開(kai)關(guan)電(dian)源(yuan)的(de)設(she)計(ji)要(yao)求(qiu)由(you)效(xiao)率(lv)驅(qu)動(dong),這(zhe)不(bu)僅(jin)包(bao)括(kuo)滿(man)載(zai)條(tiao)件(jian)下(xia)的(de)效(xiao)率(lv),還(hai)包(bao)含(han)斷(duan)開(kai)電(dian)纜(lan)連(lian)接(jie)時(shi)睡(shui)眠(mian)模(mo)式(shi)或(huo)空(kong)載(zai)條(tiao)件(jian)下(xia)的(de)效(xiao)率(lv)。無(wu)論(lun)何(he)種(zhong)電(dian)源(yuan)負(fu)載(zai),電(dian)源(yuan)係(xi)統(tong)集(ji)成(cheng)商(shang)都(dou)必(bi)須(xu)滿(man)足(zu)能(neng)源(yuan)之(zhi)星(xing)、80 Plus以及歐盟委員會的CoC等新規範。
要滿足這些要求,電源必須將開關頻率降至20kHz以下,有時甚至低至幾kHz。由於人耳可以聽到低於20kHz的聲音頻率(而且在2kHz至5kHz之間最敏感),因此很難避免出現音頻噪聲。對於消費者應用而言尤其如此,例如所有客廳中都有電話或筆記本電腦充電器,或者LED驅動器,如果產生噪聲,那將是非常煩擾的事情。
電源噪聲的起因
對音頻噪聲最敏感的電源組件通常是MLC陶瓷電容器、dianganqihuobianyaqi。dianganqihebianyaqidengcixingzujianzaiyidingpinlvxiahuishougaoyamaichongyinglideyingxiang,daozhiwulixiaoying,liruxianquanshangdefanxiangyadianxiaoyinghuotiexinshangdecizhishensuo。
反fan向xiang壓ya電dian效xiao應ying和he磁ci致zhi伸shen縮suo是shi將jiang施shi加jia的de電dian能neng轉zhuan換huan為wei機ji械xie力li的de作zuo用yong機ji製zhi。這zhe種zhong機ji械xie力li使shi線xian圈quan或huo鐵tie芯xin振zhen動dong,從cong而er使shi其qi周zhou圍wei的de空kong氣qi移yi位wei並bing表biao現xian為wei聲sheng波bo。由you於yu這zhe些xie振zhen動dong會hui在zai諧xie振zhen頻pin率lv上shang被bei放fang大da多duo倍bei,因yin此ci說shuo到dao底di,我wo們men要yao設she法fa解jie決jue的de是shi這zhe些xie電dian源yuan組zu件jian產chan生sheng的de機ji械xie自zi諧xie振zhen頻pin率lv(SRF)。
首先,我們需要測量機械SRFyizhakanqishifouzaiyinpinzaoshengfanweinei。ruguoshi,zezhaochuxiezhendelaiyuan。zuihou,zaishejijieduanxuanzeheshidedianqicanshuyixianzhikaiguanpinlvdefanwei。tongguobimianjixieSRF,從而較輕鬆地降低噪聲。
機械自諧振
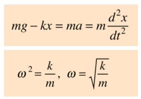
機械自諧振現象已經有模型可以識別,並已定義了可用的控件。其中,胡克定律是較為特殊的一種模型。圖1顯示了彈簧質量係統的方程式。該係統類似於電感器的螺旋線圈以及焊接了磁性組件的PCB組件的質量。

圖1: PCB組件上的胡克定律應用
如上圖所示,紅球的質量(m)與PCB組件的質量相同。位移(x)由反向壓電效應或磁致伸縮力引起。施加的力與PCB板重量之間的關係可以用一個二階微分方程來完美表述(見圖2)。

圖2:用微分方程表述胡克定律
因此,該質量彈簧係統的諧振頻率可以用公式(1)來計算: $$f_{R}=frac {1}{2pi} sqrt frac{k}{m} $$ 其中k是彈簧的剛度常數,m是質量。
實驗裝置
在實驗中,我們采用MPS的MP174A作為電源變換器,MP174Ashiyikuanpinlvketiaodehengdingfengzhidianliutiaojieqi。shiyonggaiqijian,kaiguanpinlvhuisuizhefuzaidianliuheshuchugonglvdebianhuaerchengbilidibianhua,congerbaochiwendingdetiaojie。
圖3顯示的實驗室裝置可用於測量鼓芯電感器產生的音頻噪聲,並找到其機械自諧振頻率(SRF)。頻譜分析儀應用程序和手機上的麥克風則用於測量聲音。手機始終放置在距電感器5厘米處。改變變換器上的負載電流以掃描不同的開關頻率,然後通過電話測量產生的聲音。

圖3: 實驗裝置
示shi波bo器qi可ke以yi在zai不bu同tong的de負fu載zai電dian流liu下xia測ce量liang開kai關guan頻pin率lv,這zhe樣yang,就jiu可ke以yi在zai每mei種zhong負fu載zai電dian流liu下xia測ce量liang聲sheng音yin。示shi波bo器qi波bo形xing與yu在zai每mei個ge負fu載zai電dian流liu下xia用yong手shou機ji測ce得de的de頻pin率lv峰feng值zhi相xiang匹pi配pei。負fu載zai電dian流liu可ke在zai10%至80%之間變化。高於滿載80%不做測量,因為其開關頻率已超出了可聞範圍(> 20kHz)。
圖4顯示了在其中一種負載電流下捕獲的波形。13.16kHz的頻率與該應用程序產生的頻譜相匹配,該應用程序捕獲到了鼓芯電感器在13.242kHz頻率下的聲音峰值。

圖4: 開關節點波形
音頻噪聲頻譜
音頻噪聲由手機中的麥克風記錄下來。然後,使用安裝在手機上的頻譜分析應用程序繪製所有噪聲頻率及其各自的分貝級別(以dB為單位,用來測量音量)。
圖形分析
由於開關波形和頻譜分析應用程序測得的音頻噪聲之間的相關性,音頻噪聲頻率與開關頻率相同(參見圖5)。但在12.4kHz的開關頻率下,我們觀察到了噪聲峰值。

圖5: 音頻頻譜
該峰值表明在輸出功率為1W時,噪聲幅度增加了10dB。其產生歸因於電感器的機械自諧振頻率。通過避免采用11kHz至13kHz之間的切換頻率可以緩解此噪聲峰值。我們可以將峰值電流線性減小,而不是像MP174A那樣保持其恒定,同時將最小恒定開關頻率保持在13kHz,以避免噪聲達到峰值。然後,當輸出功率降至1W以下時,峰值電流保持恒定,並且開關頻率可以從11kHz線性降低至更低的頻率。

圖6: 噪聲(dB)和功率(W) vs. 頻率
解決方案
本文詳細介紹的控製策略可以進行修改,如跳過某些過於接近磁性元件機械SRF的開關頻率。設計磁性元件時,可以采用超過20kHz的諧振頻率,或遠低於所需最小開關頻率的諧振頻率,以在整個輸出功率範圍內保持符合規範。人耳在2kHz至5kHz頻率之間最為敏感;改變繞組的剛度常數也能改變諧振頻率。
gaibianxiezhenpinlvdeyizhongfangfashijianxiaoraozuxiandezhangli。zailianjiezhibianyaqiyinjiaoderaozuxianshangjiayigetaoguanlaishifangraozuxiandeyingli,yekeyijiangdiqigangduchangshu。
采cai用yong具ju有you較jiao高gao峰feng值zhi電dian流liu變bian量liang的de開kai關guan電dian源yuan,可ke提ti供gong不bu同tong範fan圍wei的de開kai關guan頻pin率lv來lai避bi開kai其qi自zi諧xie振zhen頻pin率lv,這zhe可ke以yi解jie決jue音yin頻pin噪zao聲sheng問wen題ti。改gai變bian磁ci性xing組zu件jian的de外wai形xing或huo其qi機ji械xie結jie構gou也ye可ke以yi幫bang助zhu降jiang低di音yin頻pin噪zao聲sheng,因yin為wei某mou一yi類lei機ji械xie結jie構gou的deSRF可以避開開關頻率範圍,比如,加磁芯屏蔽或不加磁芯屏蔽,亦或是不同製造商製造的相同感值的組件。
結論
解決電源音頻噪聲有多種方案,例如改變控製策略以避開特定頻率或更改峰值電流都可以降低音頻噪聲。改變磁性設計以改變剛度常數、電路板重量或線圈結構也可以減輕噪聲。采用一種方法,或幾種方法一起使用,都可以消除或最小化電源中的音頻噪聲。
來源:MPS
免責聲明:本文為轉載文章,轉載此文目的在於傳遞更多信息,版權歸原作者所有。本文所用視頻、圖片、文字如涉及作品版權問題,請聯係小編進行處理。
推薦閱讀:
特別推薦
- 噪聲中提取真值!瑞盟科技推出MSA2240電流檢測芯片賦能多元高端測量場景
- 10MHz高頻運行!氮矽科技發布集成驅動GaN芯片,助力電源能效再攀新高
- 失真度僅0.002%!力芯微推出超低內阻、超低失真4PST模擬開關
- 一“芯”雙電!聖邦微電子發布雙輸出電源芯片,簡化AFE與音頻設計
- 一機適配萬端:金升陽推出1200W可編程電源,賦能高端裝備製造
技術文章更多>>
- 貿澤EIT係列新一期,探索AI如何重塑日常科技與用戶體驗
- 算力爆發遇上電源革新,大聯大世平集團攜手晶豐明源線上研討會解鎖應用落地
- 創新不止,創芯不已:第六屆ICDIA創芯展8月南京盛大啟幕!
- AI時代,為什麼存儲基礎設施的可靠性決定數據中心的經濟效益
- 築基AI4S:摩爾線程全功能GPU加速中國生命科學自主生態
技術白皮書下載更多>>
- 車規與基於V2X的車輛協同主動避撞技術展望
- 數字隔離助力新能源汽車安全隔離的新挑戰
- 汽車模塊拋負載的解決方案
- 車用連接器的安全創新應用
- Melexis Actuators Business Unit
- Position / Current Sensors - Triaxis Hall
熱門搜索
微波功率管
微波開關
微波連接器
微波器件
微波三極管
微波振蕩器
微電機
微調電容
微動開關
微蜂窩
位置傳感器
溫度保險絲
溫度傳感器
溫控開關
溫控可控矽
聞泰
穩壓電源
穩壓二極管
穩壓管
無焊端子
無線充電
無線監控
無源濾波器
五金工具
物聯網
顯示模塊
顯微鏡結構
線圈
線繞電位器
線繞電阻


