充電倍率對鋰離子電池衰降的影響
發布時間:2017-06-12 責任編輯:susan
【導讀】鋰離子電池在使用過程中隨著充放電次數的增加,容量逐漸降低,也就是我們所說的衰降,直觀的感受就是電量越來越不夠用了。
好(hao)比(bi)我(wo)們(men)的(de)手(shou)機(ji),剛(gang)剛(gang)買(mai)來(lai)的(de)時(shi)候(hou),充(chong)滿(man)一(yi)次(ci)電(dian)能(neng)夠(gou)使(shi)用(yong)一(yi)整(zheng)天(tian),但(dan)是(shi)隨(sui)著(zhe)我(wo)們(men)使(shi)用(yong)可(ke)能(neng)充(chong)滿(man)電(dian)就(jiu)隻(zhi)能(neng)支(zhi)撐(cheng)半(ban)天(tian)的(de)使(shi)用(yong)了(le),這(zhe)就(jiu)是(shi)鋰(li)離(li)子(zi)電(dian)池(chi)在(zai)使(shi)用(yong)中(zhong)容(rong)量(liang)衰(shuai)降(jiang)了(le),這(zhe)對(dui)於(yu)消(xiao)費(fei)電(dian)子(zi)產(chan)品(pin)這(zhe)種(zhong)更(geng)新(xin)換(huan)代(dai)的(de)比(bi)較(jiao)快(kuai)的(de)產(chan)品(pin)還(hai)比(bi)較(jiao)好(hao)解(jie)決(jue),在(zai)電(dian)池(chi)容(rong)量(liang)衰(shuai)降(jiang)過(guo)大(da)之(zhi)前(qian),可(ke)能(neng)我(wo)們(men)就(jiu)已(yi)經(jing)更(geng)換(huan)新(xin)的(de)手(shou)機(ji)了(le),但(dan)是(shi)對(dui)於(yu)電(dian)動(dong)車(che)這(zhe)種(zhong)使(shi)用(yong)壽(shou)命(ming)較(jiao)長(chang)的(de)耐(nai)用(yong)產(chan)品(pin)來(lai)說(shuo)就(jiu)不(bu)那(na)麼(me)好(hao)解(jie)決(jue)了(le),一(yi)般(ban)來(lai)說(shuo)汽(qi)車(che)的(de)使(shi)用(yong)壽(shou)命(ming)可(ke)達(da)10年左右,這期間可能要進行1000次到2000次左右的充電(假設每隔一天進行一次充電),為了滿足消費者對電動汽車的使用需求,就必須對電動汽車的鋰離子電池的壽命提出一定的要求。

影響鋰離子電池壽命的影響因素很多,使用溫度、充放電電流、充放電截止電壓等因素都會影響鋰離子電池的衰降速度。造成鋰離子電池容量衰降的機理也可以分為三類:內阻和極化增加、正負極活性物質損失、Li損失,不同的外部因素對這三者的影響也各不相同。例如LiFePO4材料的電池一般來說具有非常好的循環性能,但是美國德州大學阿靈頓分校的DerekN.Wong等研究發現使用條件對其循環壽命有著重要的影響,當DerekN.Wong分別對26650型號的LiFePO4電池進行15C脈衝放電和15C連續放電,兩種放電製度對於LiFePO4電池具有完全不同的影響。15C脈衝放電的磷酸鐵鋰電池容量衰降非常快,40次後就無法進行15C放電,但是仍然能夠進行1C放電,1C放電的衰降速率為6%/20次。而15C連續放電電池容量衰降較慢,60次以後仍然能夠進行15C放電,但是1C倍率的衰降速率要快於15C脈衝放電,達到14%/20次。機理研究顯示,15C脈衝放電的電池在負極的SEI膜中含有更多的LiF,而LiF對鋰離子擴散的阻礙更大,使得電池的Li+擴散阻抗和電荷交換阻抗迅速增加,從而使得電池在充放電過程中極化電壓過大,從而導致LiFePO4大電流放電能力迅速下降。

鋰li離li子zi電dian池chi的de放fang電dian製zhi度du很hen大da程cheng度du上shang依yi賴lai於yu使shi用yong者zhe,好hao的de放fang電dian製zhi度du對dui於yu有you的de使shi用yong者zhe而er言yan並bing不bu一yi定ding適shi用yong。但dan是shi充chong電dian製zhi度du則ze主zhu要yao是shi設she計ji者zhe進jin行xing控kong製zhi,因yin此ci對dui於yu充chong電dian製zhi度du對dui電dian池chi壽shou命ming衰shuai降jiang的de影ying響xiang的de研yan究jiu,能neng夠gou更geng好hao的de指zhi導dao我wo們men對dui鋰li離li子zi電dian池chi的de設she計ji。北bei京jing交jiao通tong大da學xue的deYangGao等針對不同的充電製度對鋰離子電池壽命衰降的影響,並研究了其作用機理,提出了鋰離子電池的壽命衰降模型。YangGao的de研yan究jiu顯xian示shi,當dang充chong電dian電dian流liu和he截jie止zhi電dian壓ya超chao過guo一yi定ding的de數shu值zhi時shi,鋰li離li子zi電dian池chi的de衰shuai降jiang將jiang被bei極ji大da的de加jia速su,為wei了le降jiang低di鋰li離li子zi電dian池chi的de衰shuai降jiang速su率lv,需xu要yao針zhen對dui不bu同tong的de體ti係xi,選xuan擇ze合he適shi的de充chong放fang電dian電dian流liu和he截jie止zhi電dian壓ya。
測試中YangGao采用了商用18650電池,正極材料為LiCoO2,負極材料為石墨,測試了不同的充電電流對電池衰降速率的影響,結果如下圖所示。從下圖a中我們可以看到,充電電流對於鋰離子電池衰降速度具有極大的影響,在0.5C充電倍率下,在前150次循環電池的衰降速度為0.020%/循環,在150次-800次則穩定為0.0156%/循環,800次以後為0.0214%/循環。而0.8C充電倍率下,電池在前150次,衰降速度為0.0243%/循環,150次-800次為0.175%/循環,800次以後為0.0209%/循環。
對於1C倍率充電,前150次衰降速率為0.032%/循環,150次-600次衰降速率為0.0188%/循環,600次以後衰降速度為0.0271%/循環。1.2C充電,前100次衰降速度為0.0472%/循環,100次-400次衰阿醬速度為0.0226%/循環,400次以後衰降速度為0.0356%/循環。1.5C倍率充電與其他倍率充電的電池具有很大的不同,平均衰減速度為0.078%/循(xun)環(huan),遠(yuan)遠(yuan)快(kuai)於(yu)其(qi)他(ta)倍(bei)率(lv)下(xia)充(chong)電(dian)的(de)電(dian)池(chi)。從(cong)上(shang)述(shu)數(shu)據(ju)可(ke)以(yi)看(kan)到(dao),隨(sui)著(zhe)充(chong)電(dian)的(de)倍(bei)率(lv)的(de)加(jia)大(da),鋰(li)離(li)子(zi)電(dian)池(chi)的(de)衰(shuai)降(jiang)速(su)率(lv)也(ye)在(zai)快(kuai)速(su)增(zeng)加(jia),並(bing)且(qie)從(cong)曲(qu)線(xian)的(de)斜(xie)率(lv)來(lai)看(kan),電(dian)池(chi)的(de)衰(shuai)降(jiang)速(su)度(du)存(cun)在(zai)三(san)個(ge)不(bu)同(tong)的(de)階(jie)段(duan),前(qian)期(qi)衰(shuai)降(jiang)速(su)度(du)較(jiao)快(kuai)的(de)階(jie)段(duan)(階段1),中間衰降速度較慢的穩定階段(階段2),和後期的衰降速率加速階段(階段3)。
針對三個階段電池的衰降機理的研究認為,階段1可能是因為電池SEI膜生長需要消耗一部分Li+,因此衰降速度較快。在階段2隨著SEI膜結構的穩定,內部較為穩定,因此衰降速度較慢,在階段3隨著電池老化,開始發生活性物質損失,電極活性界麵減少,導致電池對於電流十分敏感。圖C是針對不同的截止電壓對電池衰降速度影響的實驗,從實驗結果可以看到,當把充電截止電壓提高到4.3V時會導致電池的循環性能急劇惡化,降低充電截止電壓可以有效的改善電池的循環性能。

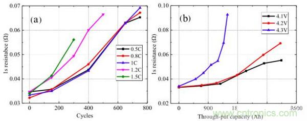
對電池的動態內阻分析如下圖所示,從圖a測試結果來看,當充電電流小於1C時,電池動態內阻隨著電池循環的變化趨勢幾乎時一樣的,但是當充電電流超過1C時,電池動態內阻增加速度會隨著充電速率的增加而快速增加。從圖b的測試結果來看,當充電截止電壓為4.3V時,電池動態內阻增加非常迅速表明高截止電壓會惡化電池的動力學條件,截止電壓為4.1V和4.2V時電池動態內阻增加較為緩慢。

從(cong)上(shang)述(shu)分(fen)析(xi)我(wo)們(men)可(ke)以(yi)注(zhu)意(yi)到(dao),無(wu)論(lun)是(shi)充(chong)電(dian)電(dian)流(liu)還(hai)是(shi)充(chong)電(dian)截(jie)止(zhi)電(dian)壓(ya)都(dou)存(cun)在(zai)一(yi)個(ge)值(zhi),當(dang)充(chong)電(dian)電(dian)流(liu)或(huo)者(zhe)電(dian)壓(ya)超(chao)過(guo)這(zhe)個(ge)值(zhi)時(shi)就(jiu)會(hui)導(dao)致(zhi)電(dian)池(chi)衰(shuai)降(jiang)加(jia)速(su),對(dui)於(yu)上(shang)述(shu)電(dian)池(chi)這(zhe)個(ge)值(zhi)是(shi)1C和4.2V,dangchongdiandianliuhejiezhidianyachaoguozhegezhihoujiuhuijiasudianchideshuaijiang,dangxiaoyuzhegezhishi,tigaochongdiandianliuhejiezhidianyabingbuhuixianzhudezengjiadianchideshuaijiangsudu。duiyuchongdiandianliuhejiezhidianyaduidianchishuaijiangsuduyingxiangdejiliyanjiuxianshi,dangchongdiandianliudiyu1C時主要影響的是正負極活性物質損失,而截止電壓低於4.2V時影響的主要是Li損失,當充電電流和截止電壓高於這個值時,則會顯著的加速正負極活性物質損失和Li損失。
特別推薦
- 噪聲中提取真值!瑞盟科技推出MSA2240電流檢測芯片賦能多元高端測量場景
- 10MHz高頻運行!氮矽科技發布集成驅動GaN芯片,助力電源能效再攀新高
- 失真度僅0.002%!力芯微推出超低內阻、超低失真4PST模擬開關
- 一“芯”雙電!聖邦微電子發布雙輸出電源芯片,簡化AFE與音頻設計
- 一機適配萬端:金升陽推出1200W可編程電源,賦能高端裝備製造
技術文章更多>>
- 博世半導體亮相北京車展:以技術創新驅動智能出行
- 超低功耗微控製器模塊為工程師帶來新的機遇——第1部分:Eclipse項目設置
- 英偉達吳新宙北京車展解讀:以五層架構與開放生態,加速汽車駛向L4
- 三星上演罕見對峙:工會集會討薪,股東隔街抗議
- 摩爾線程實現DeepSeek-V4“Day-0”支持,國產GPU適配再提速
技術白皮書下載更多>>
- 車規與基於V2X的車輛協同主動避撞技術展望
- 數字隔離助力新能源汽車安全隔離的新挑戰
- 汽車模塊拋負載的解決方案
- 車用連接器的安全創新應用
- Melexis Actuators Business Unit
- Position / Current Sensors - Triaxis Hall
熱門搜索
鑒頻器
江蘇商絡
交流電機
腳踏開關
接觸器接線
接近開關
接口IC
介質電容
介質諧振器
金屬膜電阻
晶體濾波器
晶體諧振器
晶體振蕩器
晶閘管
精密電阻
精密工具
景佑能源
聚合物電容
君耀電子
開發工具
開關
開關電源
開關電源電路
開關二極管
開關三極管
科通
可變電容
可調電感
可控矽
空心線圈

