電流型電火花加工電源工作頻率和濾波電感確定方法
發布時間:2012-01-20
中心議題:
- 電流型電火花加工電源的工作過程分析
- 電流型電火花加工電源的諧波電感和工作頻率確定
本文分析了電流型電火花加工電源工作頻率和所帶電子負載開關頻pin率lv的de配pei合he問wen題ti,詳xiang細xi推tui導dao了le在zai滿man足zu精jing度du加jia工gong條tiao件jian下xia,濾lv波bo電dian感gan和he電dian源yuan工gong作zuo頻pin率lv要yao滿man足zu的de約yue束shu關guan係xi。最zui後hou具ju體ti確que定ding了le開kai關guan頻pin率lv和he電dian感gan值zhi。
1 引言
電流型電火花加工電源後級為一電子負載,它在工作時對前級變換器的輸出電流進行連續不斷的斬波,在整個負載範圍內(即對應不同的消電離時間和脈衝寬度組合),可以看作是頻率可以調節的電子負載,後級的斬波頻率為250kHz(對應消電離時間和脈衝寬度均為2μs)至1.56kHz(對應於消電離時間480μs和脈衝寬度160μs),負載工作頻段極寬,而前級交錯並聯雙管正激變換器的頻率是固定不變的,針對這一情況,自然要提出幾點質疑:
1)前後級工作頻率配合上是否合理;
2)前級變換器能否即時對後級電子負載進行能量補充,即前級是否具有足夠快的響應速度;
3)針對前級變換器所帶的這種電子負載,應該如何對其主要參數進行設計。
為了解決這些問題,有必要從前後級的工作原理特點入手深入研究。
2 工作過程分析
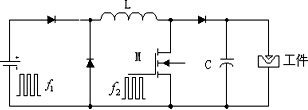
圖1為前、後級變換器的主電路圖。其中電容C的值很小,它的作用是高壓引弧放電。具體工作過程是這樣的:當開關S關斷時,由於工件還處於開路狀態,所以電感L中的大電流給C充電,致使工件兩端電壓線性急劇上升,直至高壓擊穿正常放電,此後,電流流經工件進行加工,一直延續到S開通時結束。假設前級變換器的開關頻率為f1,後級電子負載開關S的開關頻率為f2,那麼f1和f2有以下4種情況。

圖1 前後級等效電路
1)f1》f2,即前級的工作頻率遠高於後級,這種情況對應於後級大脈寬切割。其前後級的主要工作波形如圖2所示。

圖2 f1》f2時的主要工作波形
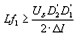
在t0時刻以前,S管開通,前級輸出短路,理想情況下,變壓器副邊輸出極窄的方波(Uo),當t0時刻S關斷時,電流iL經S換流至二極管D,給負載輸出電流。由於t0之前,前級變換器的占空比極小,突加負載後,由儲能電感給負載提供部分電流,隨著時間的延長,iL減小,受電流環的控製,前級變換器占空比增加,使iL回升至原值,故iLyouyigebodongguocheng。lingwai,ruguodianliuhuanshejimeiyoudadaozuiyoushi,namedianliuzaitiaojieguochengzhongdechaotiaoliangjianghenda,tiaojieshijianhenchang,zhishijiagongdianliubuwending,yingxiangjiagongxiaolvhejingdu。dancongS的一個開關周期看來,由於f1》f2,S的一個周期中,前級變換器將要經曆多個周期,即當S關斷時,前級變換器有足夠多的周期可以調節iL,使得iL穩定。假設iL的允許波動範圍為ILmin~ILmax,並假設f1在S關斷後經過n個周期,進入穩定狀態,從能量的角度來看,即要保證在這n個周期中,當前級變換器無輸出時,電感的儲能要滿足負載能量需求,這可用式(1)表示。

則上式可以簡化為
![]()
從式(2)可以看出,要滿足穩定加工,Lf1乘積必須滿足一定的約束條件。
[page]
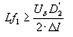
2)f1《f2,jiqianjigongzuopinlvyuandiyuhoujigongzuopinlv,duiyingyuhoujixiaomaikuanqiege。zheyiqingkuangqiahaoyuqianyizhongqingkuangxiangfan,jiqianjibianhuanqizaiyigezhouqinei,houjibianhuanqiyijingjinglilef2/f1個周期,如圖3所示,在0時shi刻ke,前qian級ji變bian換huan器qi輸shu出chu能neng量liang,電dian感gan儲chu能neng,假jia設she負fu載zai也ye在zai此ci時shi同tong時shi放fang電dian切qie割ge,由you於yu變bian壓ya器qi輸shu出chu能neng量liang大da於yu負fu載zai吸xi收shou能neng量liang,故gu電dian感gan電dian流liu上shang升sheng,在zait1時刻開通S,前級輸出短路,零功率輸出,電感電流繼續上升儲能,到t2時刻關斷S,負載又開始放電,重複上述過程,直到tn時shi刻ke,變bian壓ya器qi無wu輸shu出chu,電dian感gan開kai始shi釋shi放fang能neng量liang向xiang負fu載zai供gong電dian,在zai前qian級ji變bian換huan器qi開kai始shi下xia一yi周zhou期qi之zhi前qian,負fu載zai吸xi收shou的de能neng量liang全quan部bu來lai自zi儲chu能neng電dian感gan。通tong過guo分fen析xi可ke以yi看kan到dao,當dang後hou級ji負fu載zai經jing曆lif2/f1個(ge)周(zhou)期(qi)時(shi),前(qian)級(ji)變(bian)換(huan)器(qi)僅(jin)為(wei)一(yi)個(ge)周(zhou)期(qi),在(zai)這(zhe)個(ge)過(guo)程(cheng)中(zhong),前(qian)級(ji)變(bian)換(huan)器(qi)對(dui)負(fu)載(zai)的(de)突(tu)變(bian)是(shi)無(wu)法(fa)調(tiao)整(zheng)的(de),這(zhe)種(zhong)情(qing)況(kuang)下(xia),前(qian)級(ji)占(zhan)空(kong)比(bi)的(de)大(da)小(xiao)由(you)負(fu)載(zai)的(de)平(ping)均(jun)功(gong)率(lv)決(jue)定(ding),不(bu)受(shou)負(fu)載(zai)突(tu)變(bian)的(de)影(ying)響(xiang),換(huan)句(ju)話(hua)說(shuo),隻(zhi)要(yao)負(fu)載(zai)特(te)性(xing)不(bu)變(bian),則(ze)前(qian)級(ji)占(zhan)空(kong)比(bi)恒(heng)定(ding)。為(wei)保(bao)證(zheng)前(qian)級(ji)有(you)足(zu)夠(gou)能(neng)量(liang)供(gong)給(gei)負(fu)載(zai),必(bi)須(xu)在(zai)一(yi)個(ge)周(zhou)期(qi)(T1=1/f1)內都能滿足式(3)要求。
![]()
式中:D′2=1-D2,D2為S的占空比。
則有:
![]()

圖3 f1《f2時的主要工作波形
若不滿足式(4),則輸出電流iL的波動將變大,影響加工效率和精度。從式(4)中可以看出,Lf1的取值與D′2也有關係。
3)f1=f2,適shi當dang的de消xiao電dian離li寬kuan度du和he脈mai寬kuan組zu合he能neng夠gou使shi得de前qian後hou級ji變bian換huan器qi的de頻pin率lv相xiang等deng。由you於yu前qian後hou級ji工gong作zuo時shi鍾zhong的de任ren意yi性xing,考kao慮lv到dao最zui惡e劣lie情qing況kuang,假jia設she在zai前qian級ji續xu流liu時shi,後hou級jiS關斷,放電加工。波形如圖4所(suo)示(shi)。和(he)以(yi)上(shang)分(fen)析(xi)方(fang)法(fa)相(xiang)同(tong),保(bao)證(zheng)後(hou)級(ji)在(zai)一(yi)個(ge)周(zhou)期(qi)內(nei)所(suo)需(xu)的(de)能(neng)量(liang)全(quan)部(bu)由(you)電(dian)感(gan)儲(chu)能(neng)提(ti)供(gong),如(ru)果(guo)電(dian)感(gan)儲(chu)能(neng)過(guo)少(shao),將(jiang)導(dao)致(zhi)前(qian)級(ji)輸(shu)出(chu)電(dian)流(liu)下(xia)降(jiang)較(jiao)大(da),使(shi)之(zhi)在(zai)下(xia)一(yi)工(gong)作(zuo)周(zhou)期(qi)中(zhong)調(tiao)節(jie)占(zhan)空(kong)比(bi),直(zhi)至(zhi)占(zhan)空(kong)比(bi)增(zeng)加(jia)到(dao)一(yi)個(ge)適(shi)當(dang)值(zhi),這(zhe)樣(yang),輸(shu)出(chu)電(dian)流(liu)波(bo)動(dong)大(da),對(dui)加(jia)工(gong)精(jing)度(du)不(bu)利(li),因(yin)此(ci),要(yao)求(qiu)儲(chu)能(neng)電(dian)感(gan)要(yao)滿(man)足(zu)式(shi)(5)能量約束關係。
![]()
即:
![]()
圖4 f1=f2時的主要工作波形
4)f2與f1接近
(1)f1>f2 類似於f1》f2,不同之處在於前級占空比頻繁調節,電流波動大,加工效率和精度差。
(2)f1<f2 類似於f1《f2,加工情況同(1)。
對於f2與f1接近,但f1≠f2的情況,在能量關係上也必須滿足以上分析結果。
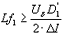
綜上所述,為使得級變換器輸出電流平穩,並且能夠及時對負載進行能量補充,則對Lf1乘積有一定要求,即Lf1要滿足不等式(7)。

為求出Lf1的確切值,必須對上述約束關係中的各個參數進行代換。這裏取平均值Uδ=25V;D′1=1-D1,在0~1之間變化,故取D′1max≈1;,取ΔI=0.02IL=0.02×20=0.4A;D′2=1-D2,由於在實際應用中,一般要求消電離時間≥脈衝寬度,故取0.5≤D2<1,即0<D′2≤0.5,這裏取D′2max=0.5。將上述各參數代入約束關係可得式(8)
(Lf2)min≥31.25(8)
理論上,Lf1的值取無窮大最好。在滿足式(8)的條件下,f1減小,則L增大,即當降低前級變換器的工作頻率時,就要求加大濾波電感的電感量,這會導致電源體積變大;相反,f1越高,L可以越小,即可以通過提高電源工作頻率來減小儲能電感的電感量,達到減小電源體積的目的。但是,在實際應用中,f1不可能無限製增大,因為當f1很大時,電源寄生參數的影響明顯增大,開關損耗也加大。因此,這就要求對L和f1的選取進行折衷,取一最優值,並且當f1足夠大時,應采用軟開關技術。這裏不妨取f1=200kHz,對應於交錯並聯雙管正激變換器各路頻率為100kHz,此時可以計算出濾波電感L=156μH,取L=160μH。
3 結語
通tong過guo以yi上shang分fen析xi可ke知zhi,在zai電dian流liu型xing電dian火huo花hua加jia工gong電dian源yuan中zhong,由you於yu其qi負fu載zai是shi一yi個ge開kai關guan型xing負fu載zai,所suo以yi濾lv波bo電dian感gan和he電dian源yuan開kai關guan工gong作zuo頻pin率lv的de設she計ji不bu同tong於yu以yi往wang阻zu性xing或huo感gan性xing負fu載zai的de情qing況kuang,其qi電dian感gan量liang和he開kai關guan頻pin率lv的de乘cheng積ji必bi須xu滿man足zu一yi定ding的de約yue束shu條tiao件jian。在zai滿man足zu約yue束shu條tiao件jian的de情qing況kuang下xia,適shi當dang提ti高gao電dian源yuan工gong作zuo頻pin率lv,可ke以yi減jian小xiao濾lv波bo電dian感gan,從cong而er達da到dao減jian小xiao電dian源yuan整zheng機ji重zhong量liang和he體ti積ji的de目mu的de。同tong時shi,當dang電dian源yuan頻pin率lv較jiao高gao時shi,從cong提ti高gao電dian源yuan效xiao率lv角jiao度du考kao慮lv,建jian議yi采cai用yong軟ruan開kai關guan技ji術shu。
- 噪聲中提取真值!瑞盟科技推出MSA2240電流檢測芯片賦能多元高端測量場景
- 10MHz高頻運行!氮矽科技發布集成驅動GaN芯片,助力電源能效再攀新高
- 失真度僅0.002%!力芯微推出超低內阻、超低失真4PST模擬開關
- 一“芯”雙電!聖邦微電子發布雙輸出電源芯片,簡化AFE與音頻設計
- 一機適配萬端:金升陽推出1200W可編程電源,賦能高端裝備製造
- 大聯大世平集團首度亮相北京國際汽車展 攜手全球芯片夥伴打造智能車整合應用新典範
- 2026北京車展即將啟幕,高通攜手汽車生態“朋友圈”推動智能化體驗再升級
- 邊緣重構智慧城市:FPGA SoM 如何破解視頻係統 “重而慢”
- 如何使用工業級串行數字輸入來設計具有並行接口的數字輸入模塊
- 意法半導體將舉辦投資者會議探討低地球軌道(LEO)發展機遇
- 車規與基於V2X的車輛協同主動避撞技術展望
- 數字隔離助力新能源汽車安全隔離的新挑戰
- 汽車模塊拋負載的解決方案
- 車用連接器的安全創新應用
- Melexis Actuators Business Unit
- Position / Current Sensors - Triaxis Hall





