一種可視化智能充電機的設計
發布時間:2011-12-22
中心議題:
- 可視化智能充電機係統的總體設計方案
解決方案:
- 上位機界麵設計及數據庫的建立
- 智能充電機本體設計
針對電動車、電動汽車電池壽命偏低,本文設計了一種可視化智能充電機,它是結合了單片機智能控製技術,VB可視化技術及數據庫技術的一種全新產物。它可以使電池壽命達到最大化。
1 概述
隨著全球綠色能源計劃的推進,電動車、電動汽車有了迅猛發展,這種發展勢頭有持續高升的趨勢。在美國加州,電動車輛占有80%的市場份額,而且這種比例仍將進一步擴大。如此大的銷售量就使得它的價格、壽命非常敏感。而占整機價格20%的鉛酸蓄電池的壽命無疑是我們關注的焦點。業界廣為流傳的一句話就是:電(dian)池(chi)不(bu)是(shi)用(yong)壞(huai)的(de),是(shi)充(chong)壞(huai)的(de)。原(yuan)因(yin)是(shi)隨(sui)著(zhe)電(dian)池(chi)的(de)使(shi)用(yong),電(dian)池(chi)的(de)特(te)性(xing)發(fa)生(sheng)了(le)變(bian)化(hua),而(er)充(chong)電(dian)器(qi)的(de)充(chong)電(dian)方(fang)式(shi)不(bu)能(neng)跟(gen)隨(sui)電(dian)池(chi)特(te)性(xing)而(er)變(bian)化(hua),導(dao)致(zhi)電(dian)池(chi)逐(zhu)漸(jian)被(bei)充(chong)壞(huai)。目(mu)前(qian)市(shi)場(chang)上(shang)的(de)充(chong)電(dian)裝(zhuang)置(zhi)不(bu)能(neng)有(you)效(xiao)控(kong)製(zhi)充(chong)電(dian)過(guo)程(cheng),容(rong)易(yi)造(zao)成(cheng)電(dian)池(chi)欠(qian)充(chong)、過(guo)充(chong)甚(shen)至(zhi)被(bei)損(sun)壞(huai)的(de)惡(e)果(guo)。電(dian)池(chi)充(chong)滿(man)時(shi),電(dian)池(chi)會(hui)發(fa)熱(re),這(zhe)時(shi)若(ruo)沒(mei)有(you)熱(re)保(bao)護(hu)電(dian)路(lu)則(ze)會(hui)造(zao)成(cheng)過(guo)充(chong)電(dian),還(hai)會(hui)因(yin)為(wei)高(gao)溫(wen)而(er)造(zao)成(cheng)電(dian)池(chi)外(wai)殼(ke)變(bian)形(xing)。針(zhen)對(dui)此(ci)問(wen)題(ti)筆(bi)者(zhe)設(she)計(ji)了(le)一(yi)種(zhong)新(xin)型(xing)充(chong)電(dian)器(qi)。它(ta)分(fen)兩(liang)部(bu)分(fen):智(zhi)能(neng)充(chong)電(dian)機(ji)本(ben)體(ti)和(he)上(shang)位(wei)機(ji)界(jie)麵(mian)。它(ta)可(ke)以(yi)提(ti)供(gong)多(duo)種(zhong)充(chong)電(dian)模(mo)式(shi),並(bing)可(ke)設(she)置(zhi)充(chong)電(dian)的(de)一(yi)些(xie)參(can)數(shu),並(bing)可(ke)以(yi)實(shi)時(shi)地(di)進(jin)行(xing)數(shu)據(ju)采(cai)集(ji)並(bing)存(cun)入(ru)數(shu)據(ju)庫(ku),然(ran)後(hou)分(fen)析(xi)結(jie)果(guo),確(que)定(ding)蓄(xu)電(dian)池(chi)的(de)性(xing)能(neng)狀(zhuang)況(kuang)、使用狀況和電解液濃度,以便及時對蓄電池進行維護。電動車、電動汽車的電池一般有多個單體電池組成,在上位機上可以設置單體的個數、rongliang,haikeyiduimouyiyibianhaodedianchizudelishichongdianquxianjinxingzhaxun,suoyicixitongtongyongxingjiaoqiang。yejiushishuocixitongkeyiduibutongxinghaodegeleidianchijinxingchongdianweihu。zhinengchongdianqishikeyituolishangweijiduligongzuode,tayouyitaomorendeshezhi,dangmeiyoushoudaoshangweijideminglingshitahuianzhaomorenshezhigongzuo,cishizhinengduimouyizhongdianchizuchongdian。
2 可視化智能充電機係統的總體設計方案
充電器一般放在車庫裏,而上位機軟件則需要裝在居室中的PC機上,為實現係統兩部分間的數據傳輸,我們權衡價格和實用性選取長線傳輸: RS - 485通信。它的通信距離可達1. 2 Km,而且價格相對低廉。係統的充電機本體部分我們選用價格低廉的holtek單片機作為主控製芯片,上位機軟件則用VB進行開發,數據庫通過VB提供的數據庫管理工具建立。
3 智能充電機本體設計
充電機本體實際上是一個實時監測和控製係統,結構框圖如圖1所(suo)示(shi),它(ta)按(an)照(zhao)接(jie)收(shou)到(dao)的(de)上(shang)位(wei)機(ji)命(ming)令(ling)完(wan)成(cheng)對(dui)蓄(xu)電(dian)池(chi)充(chong)電(dian)過(guo)程(cheng)的(de)監(jian)控(kong),並(bing)實(shi)時(shi)地(di)將(jiang)檢(jian)測(ce)到(dao)的(de)充(chong)電(dian)參(can)數(shu)返(fan)回(hui)給(gei)上(shang)位(wei)機(ji),這(zhe)些(xie)參(can)數(shu)包(bao)括(kuo)蓄(xu)電(dian)池(chi)端(duan)電(dian)壓(ya)、充電電流和電池溫度等。圖2的主充電路實現充電電流、電壓的控製,是充電機的關鍵環節。圖3的均衡電路解決由於電池製造工藝的不同等原因引起的電量不均衡; 485接口電路實現充電機本體與上位機的通信;電流、電壓、溫度檢測電路實時地檢測充電的電流、電壓和電池溫度。

圖1 充電機結構框圖

圖2 主充電路
[page]

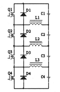
圖3 均衡電路
在主充電路中, 220 V電壓經變壓器降壓後,由整流器整流和大電容C1 平滑濾波,作為直流充電電源。MOSFET、二極管D1、電感L1 和電容C2 構成主充電路。在工作過程中, PWM控製信號的高電平脈衝出現,使MOSFET導通之後,電感L1 的電流不斷增大,電容C2 充電,主充變換器不斷存儲能量,同時通過電感L2 對電池充電,此時,續流二極管因反向偏置而截止。經過PWM高電平脈衝持續時間後, PWM信號變低,MOSFET截止,電感L1 中的電流減小, L1 兩端的感應電動勢使續流二極管導通, L1 中的存儲電流和電容C2 存儲電荷向電池充電。經過PWM信號的低電平持續時間後, PWM信號的又一高電平脈衝到來,再度使MOSFET導通,上述過程循環交替。電感L2 的作用是平滑充電電流.
在均衡電路中,以4節電池為例,當對第二節電池均衡時,開啟MOS管Q2,蓄電池C2通過Q2給電感L1、L2充電,然後關斷MOS管Q2,則電感L1中的電流通過二極管D1回饋給蓄電池C1,電感L2中的電流通過二極管D3和D4回饋給蓄電池C3和C4,以達到各個單體均衡的效果。
4 上位機界麵設計及數據庫的建立
長期的用戶調研和質量服務告訴我們,上位機界麵開發的總體任務是:fangbianyonghushezhihexiuzhengchongdiancanshu,jiejueyouyuqiansuanxudianchideshiyongjiweihubaoyangbudaoweizaochengdexudianchizaoqibaofeiwenti。weileshiyonghuzaishiyongguochengzhongjishifaxianxudianchicunzaidewenti,congerjishicaiquxiangyingdebujiucuoshi,weiciwomenshiyongVB開發出了上位機軟件,它具有可視化、簡單易學、操作簡便的特點,並具備從充電參數設置、繪製充電曲線、存儲充電曲線、充電過程分析、充電記錄的查詢、刪除、打印到充電報警等全套充電分析功能,係統結構框圖如圖4.

圖4 上位機界麵框圖
在(zai)參(can)數(shu)設(she)置(zhi)中(zhong)可(ke)以(yi)對(dui)框(kuang)圖(tu)中(zhong)所(suo)示(shi)的(de)條(tiao)目(mu)進(jin)行(xing)設(she)置(zhi),使(shi)得(de)該(gai)係(xi)統(tong)具(ju)有(you)很(hen)強(qiang)的(de)通(tong)用(yong)性(xing)。電(dian)動(dong)車(che)電(dian)池(chi)一(yi)般(ban)由(you)幾(ji)個(ge)單(dan)體(ti)組(zu)合(he)而(er)成(cheng),可(ke)以(yi)選(xuan)擇(ze)單(dan)體(ti)個(ge)數(shu)以(yi)確(que)定(ding)電(dian)池(chi)組(zu)的(de)電(dian)壓(ya)和(he)容(rong)量(liang)。該(gai)係(xi)統(tong)提(ti)供(gong)了(le)如(ru)框(kuang)圖(tu)所(suo)示(shi)的(de)三(san)種(zhong)充(chong)電(dian)模(mo)式(shi),一(yi)般(ban)新(xin)電(dian)池(chi)前(qian)五(wu)次(ci)充(chong)電(dian)要(yao)進(jin)行(xing)初(chu)充(chong)電(dian)以(yi)充(chong)分(fen)激(ji)活(huo)電(dian)解(jie)質(zhi),當(dang)單(dan)體(ti)電(dian)量(liang)不(bu)同(tong)時(shi)要(yao)均(jun)衡(heng)充(chong)電(dian),其(qi)餘(yu)時(shi)正(zheng)常(chang)充(chong)電(dian)。還(hai)可(ke)以(yi)按(an)照(zhao)需(xu)求(qiu)設(she)置(zhi)不(bu)同(tong)充(chong)電(dian)階(jie)段(duan)的(de)充(chong)電(dian)時(shi)間(jian),來(lai)滿(man)足(zu)各(ge)種(zhong)電(dian)池(chi)的(de)不(bu)同(tong)需(xu)求(qiu);實時充電曲線實時地顯示充電電流、電壓和電池溫度;曆史充電曲線可以顯示該電池組充電曆史;通過分析充電過程曲線即可了解電池存在的問題,如:蓄電池缺乏電解液、電解液比重不符合要求或蓄電池單體存在差異等,從而及時的對電池進行保養;該係統還提供了按日期或電池編號查詢、刪除充電記錄的數據庫功能,方便了操作;報警提示用來告知用戶充電的過壓、過流、過熱情況以及充電是否結束。
[page]
4. 1 上位機界麵的設計
按照圖4所示的功能框圖設計的VB界麵如圖5.

圖5 係統主界麵
4. 1. 1 充電曲線的繪製
首先繪製坐標係,包括定位坐標原點、繪製X軸(充電時間值) 、Y軸(充電電流、充電電壓、充電溫度值) 、標注軸上的刻度線以及打印與刻度線對應的刻度值;然(ran)後(hou)要(yao)繪(hui)製(zhi)曲(qu)線(xian),由(you)於(yu)傳(chuan)到(dao)上(shang)位(wei)機(ji)上(shang)的(de)數(shu)據(ju)是(shi)具(ju)有(you)相(xiang)等(deng)時(shi)間(jian)間(jian)隔(ge)的(de)一(yi)些(xie)點(dian),而(er)我(wo)們(men)要(yao)繪(hui)製(zhi)曲(qu)線(xian),所(suo)以(yi)我(wo)們(men)用(yong)拋(pao)物(wu)線(xian)法(fa)進(jin)行(xing)曲(qu)線(xian)擬(ni)合(he)。具(ju)體(ti)方(fang)法(fa)如(ru)下(xia):
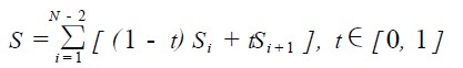
給定N個點P1 , P2 , ……, PN ,對相鄰三點Pi , Pi + 1 , Pi + 2及Pi + 1 , Pi + 2 , Pi + 3 , i = 1……N - 2,反複用拋物線算法擬合,然後對相鄰拋物線在公共區間Pi + 1到Pi + 2範圍內,用權函數t與1 - t進行調配,使其混合為一條曲線,可表示為:

其中, Si 為Pi , Pi + 1 , Pi + 2三點決定的拋物線曲線, Si + 1為Pi + 1 , Pi + 2 , Pi + 3三點決定的拋物線曲線,混合後的曲線S在Pi + 1到Pi + 2公共段內,是Si 的後半段與Si + 1的前半段加權混合的結果。S 曲線在公共段內的參數方程可寫為:

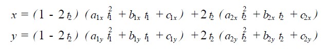
其中t2 ∈[ 0, 0. 5 ], t1 = t2 + 0. 5∈[ 0. 5, 1 ]。
式中a1x , b1x , c1x , a1y , b1y , c1y為Si 段曲線的係數,由Pi , Pi + 1 , Pi + 2三點控製,參變量為t1 ,在公共段範圍內t1∈[0. 5, 1 ];式中a2x , b2x , c2x , a2y , b2y , c2y為Si + 1段曲線的係數,由Pi + 1 , Pi + 2 , Pi + 3三點控製,參變量為t2 ,在公共段範圍內t2 ∈[0, 0. 5 ]。
顯然,當t1 = 0. 5, t2 = 0時, S = Si;當t1 = 1, t2 = 0. 5時, S = Si + 1。
用這種方法擬合的自由曲線,在P2 到PN - 1各已知點的左、右側能達到一階導數連續,而當曲線兩端沒有一定的端點條件限製時,則曲線各有一段曲線不是加權混合的形式,而隻是S1 的前半段和SN - 2的後半段。繪製的電流充電曲線如圖6所示:

圖6 電流充電曲線
[page]
4. 2 數據庫的設計
本係統設計了三個數據庫,用於標準充電曲線存儲、實際充電曲線存儲及分析結果存儲。使用VB6. 0提供的數據庫管理工具"可視化數據管理器"建立。其中實際充電曲線數據表如表1所示,數據庫的建立方便了對電池的查詢、分析,同時也方便了管理。

表1 實際充電曲線數據表
5 結束語
本文率先在行業內提出將數據庫技術、可視化技術及PC機等應用於智能充電機中,從而簡化了充電操作,方便了參數的設置和調整(友好的操作界麵) ,擴(kuo)大(da)了(le)充(chong)電(dian)機(ji)的(de)適(shi)用(yong)範(fan)圍(wei),降(jiang)低(di)了(le)用(yong)戶(hu)的(de)使(shi)用(yong)成(cheng)本(ben),提(ti)升(sheng)了(le)整(zheng)個(ge)係(xi)統(tong)的(de)技(ji)術(shu)先(xian)進(jin)性(xing)。更(geng)關(guan)鍵(jian)的(de)是(shi)為(wei)用(yong)戶(hu)對(dui)蓄(xu)電(dian)池(chi)關(guan)鍵(jian)部(bu)件(jian)的(de)科(ke)學(xue)管(guan)理(li)提(ti)供(gong)了(le)一(yi)個(ge)良(liang)好(hao)的(de)平(ping)台(tai),為(wei)有(you)效(xiao)提(ti)高(gao)蓄(xu)電(dian)池(chi)使(shi)用(yong)壽(shou)命(ming)提(ti)供(gong)了(le)保(bao)障(zhang)。
- 噪聲中提取真值!瑞盟科技推出MSA2240電流檢測芯片賦能多元高端測量場景
- 10MHz高頻運行!氮矽科技發布集成驅動GaN芯片,助力電源能效再攀新高
- 失真度僅0.002%!力芯微推出超低內阻、超低失真4PST模擬開關
- 一“芯”雙電!聖邦微電子發布雙輸出電源芯片,簡化AFE與音頻設計
- 一機適配萬端:金升陽推出1200W可編程電源,賦能高端裝備製造
- 邊緣AI的發展為更智能、更可持續的技術鋪平道路
- IAR作為Qt Group獨立BU攜兩項重磅汽車電子應用開發方案首秀北京車展
- 數字化的線性穩壓器
- 安森美:用全光譜“智慧之眼”定義下一代工業機器人
- 貿澤EIT係列新一期,探索AI如何重塑日常科技與用戶體驗
- 車規與基於V2X的車輛協同主動避撞技術展望
- 數字隔離助力新能源汽車安全隔離的新挑戰
- 汽車模塊拋負載的解決方案
- 車用連接器的安全創新應用
- Melexis Actuators Business Unit
- Position / Current Sensors - Triaxis Hall




