單端反激電路在逆變電源中的應用
發布時間:2011-11-25
中心議題:
- 常規單端反激電路結構
- 多管並聯的單端反激電路結構
- 采用能量回饋技術的單端反激電路結構
- 主要器件電壓電流應力計算
解決方案:
- 兩路單端反激並聯電路結構
本文介紹了一種采用多管並聯和能量回饋技術的單端反激電路,該電路在低壓供電的逆變電源中使用,具有電路簡單、效率高、穩定可靠等特點。
0 引言
目前,由電池供電的逆變電源一般由兩級組成,前級DC/DC電路將電池電壓變換成直流約350V電壓,後級DC/AC電路將直流350V電壓變換為交流220V電壓。在這類逆變電源中,前級DC/DC電路一般供電電壓較低(12V、24V或48V),輸入電流較大,功率管導通壓降高,損耗大,所以電源效率很難提高。其電路形式有:單端反激、單端正激、雙管正激、半橋和全橋等,對於中小功率(約0.5~1kW)而言,單端反激電路具有一定優勢,如:電路簡單、控製方便、效率高等。本文以24V電池供電,輸出350V/1kW為例,對單端反激電路,在逆變電源前級DC/DC電路中的應用做一些探討。
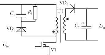
1 常規單端反激電路結構
常規單端反激電路結構如圖1所示,該電路的缺點在於功率管VT截止時,變壓器初級的反峰能量,被VD1、C 1和R 1組成的吸收電路消耗掉;而且在輸出功率相同的情況下,功率管通過電流(相對於多管並聯)大,導通壓降高,損耗大,所以效率和可靠性較低。

圖1 常規單端反激電路結構
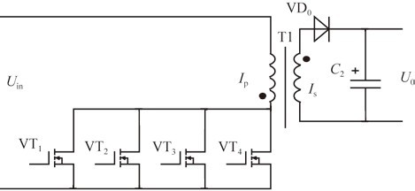
2 多管並聯的單端反激電路結構
如圖2所示,該電路的特點是,主功率電路采用4隻功率管並聯,每隻功率管通過的電流為單管應用時的1/4(假定4隻功率管參數一致),則功率管的導通壓降也應為單管應用時的1/4.根據計算,在輸出550W時,理論上,4管並聯比單管可減小通態損耗約20W,提高效率近3個百分點。

圖2 4隻功率管並聯主功率電路[page]
3 采用能量回饋技術的單端反激電路結構
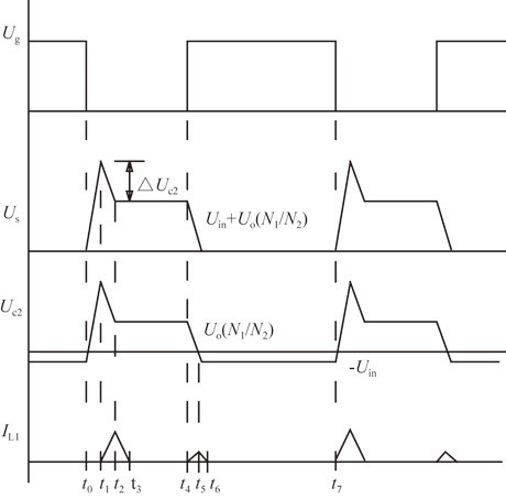
采用能量回饋技術的單端反激電路結構如圖3所示,其主要波形如圖4所示。在本電路中,用電容C 2、電感L 1、二極管VD1和VD2組成變壓器初級反峰吸收電路,可使大部分反峰能量回饋到輸入電容C 1上,減少了能量損耗,提高了電路效率。

圖3 初級反峰吸收電路

圖4 初級反峰吸收電路主要波形
其工作原理如下:
(1)t 0~t 1階段。
t 0時刻功率管截止,變壓器初級電感L 、漏感L K、電容C 2和功率管輸出電容C 0開始諧振,並很快使C 2電壓達到U 0(N 1/N 2),隨後次級二極管導通,初級電壓被鉗位到U 0(N 1/N 2),初級電感L 退出諧振,到t 1時刻I K為0,同時C 2和C 0上電壓達到最大值,即開關管電壓U S達到最大值(U IN+U C2MXA)。
(2) t 1~t 2階段。
在L K、C 2、C 0繼續諧振,同時電感L 1參與諧振,C 2、C 0給輸入電容C 1回饋能量,並且給L 1補充能量,到t 2時刻諧振停止,C 2電壓又下降到U 0(N 1/N 2)。
(3)t 2~t 3階段。
t 2時刻開始,電感L 1給輸入電容C 1回饋能量。C 2電壓被鉗位在(N 1/N 2)U 0、C 0即開關管上電壓為U IN+(N 1/N 2)U 0,均保持不變,到t 3時刻,L 1中能量釋放完畢。
(4)t 3~t 4階段。
開關管完全截止,C 2電壓、C 0電壓(即開關管電壓)繼續保持不變。
(5)t 4~t 5階段。
t 4時刻功率管導通,其電壓U S開始下降,C 0開始通過開關管放電,並很快放完畢(全部損耗在功率管上);C 2和L 1開始諧振,即把C 2中的能量轉移到L 1中,在t 5時刻L 1中電流達到最大值,功率管完全導通。
(6)t 5~t 6階段。
t 5時刻L 1通過VD1和VD2給輸入電容C 1回饋能量,並給C 2充電到-U IN,到t 6時刻L 1中能量釋放完畢。
(7)t 6~t 7階段。
該階段功率管繼續處於完全導通狀態。
以上過程形成一個完整工作周期,可以看出,變壓器漏感中的能量大部分被回饋到輸入電容C 1中(C 0中有部分能量被消耗掉),所以電源效率得到提高。
[page]
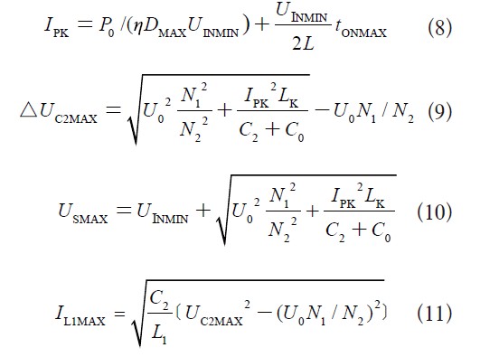
4 主要器件電壓電流應力計算
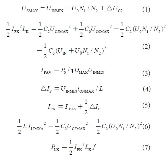
由圖3及原理分析,可得到如下計算公式:

其中:USMAX即UC0MAX為功率管VT1~VT4所承受的最大電壓應力;UINMIN為輸入電壓最小值(取21V);U0為輸出電壓(取350V);N1、N2為變壓器初次級匝數(取15匝和117匝);△UC2由漏感引起的尖峰電壓;IPK為漏感即初級峰值電流;LK為初級漏感(取0.4μH);C2為外接電容(取30000pF);C0為VT1~VT4輸出電容之和(取4000pF);IPAV為功率管導通期間總電流平均值;η為電源效率(取92%);DMAX為最大占空比(取0.7);△Ip為開關管導通期電流變化量;tONMAX為開關管最大導通時間(取23μs);L為變壓器初級電感值(取38μH);IL1MAX為L1(取0.5mH)中通過的最大電流;PLK為漏感回饋到輸入端的能量;f為功率管開關頻率(取30kHz)。
由以上(1)~(6)式推導和化簡,可得出下式:

由(7)~(11)式可計算出功率管、電感L1所承受的電流電壓應力(輸出功率550W時)以及反峰吸收電路回饋到輸入端的能量:
IPK=47A
USMAX=188V
IL1MAX=1.5A
PLK=13.25W
同時由(7)~(11)式還可以看出:
(1)若要減小開關管電流應力IPK,則應增加占空比D和變壓器初級電感量L;
(2)若要減小開關管電壓應力USMAX,則應減小變壓器初級漏感LK,同時增加C2值(C 0的值由功率管參數決定);
(3)若要減小電感L1中最大電流IL1MAX,則應增大電感L1的電感量;
(4)采用反峰吸收電路後,節省能量13.25W,可提高電源效率約2個百分點。
由以上計算可知,4隻功率管額定電流至少應大於50A,考慮到功率管參數的差異性,其導通電流不完全相等,並且一般要留一定的安全裕量,所以,實際應用每隻功率管額定電流值應大於50A,通態電阻愈小愈好,而耐壓最好大於250V.
[page]
根據如下公式,可出計算出二極管VD0所承受的電壓應力UDO、電流應力ISK:
由UDO=U0+UINMAXN2/N1 (12)
得:UDO=584V
由IPKN1=ISKN2 (13)
得:ISK=6A
其中:ISK為次級峰值電流值。
一般要留一定的安全裕量,所以,而選用二極管額定電壓應大於800V,額定電流應大於20A(考慮到過流、短路等因素)。
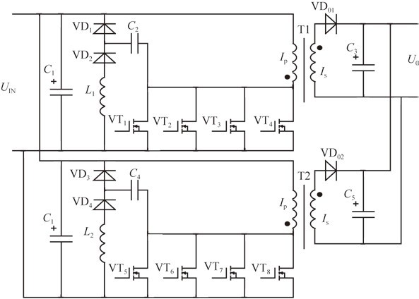
5 兩路單端反激並聯電路結構
若要增加輸出功率,采用如圖5並聯結構,該電路結構可輸出功率約1.1kW,用一隻SG3525控製即可。

圖5 兩路單端反激並聯電路結構
6 試驗結果
由兩路單端反激並聯組成的逆變電源前級DC/DC電路(見圖5),輸出功率約1.1kW,試驗結果如表1所示。

表1 前級DC/DC試驗結果
由上述DC/DC電路組成的1kVA逆變電源,輸出AC220V50Hz正弦波,試驗結果如表2所示,該電源體積320×200×60mm3.

表2 1kVA逆變電源試驗結果
7 結束語
綜上所述,對於電池(或發電機)供電的低壓輸入逆變電源,采用單端反激多管並聯以及能量回饋技術實現的前級DC/DC,和采用其它形式實現的前級DC/DC相比,具有電路簡單、控製方便、效率高、體積小和可靠性高等特點。
- 噪聲中提取真值!瑞盟科技推出MSA2240電流檢測芯片賦能多元高端測量場景
- 10MHz高頻運行!氮矽科技發布集成驅動GaN芯片,助力電源能效再攀新高
- 失真度僅0.002%!力芯微推出超低內阻、超低失真4PST模擬開關
- 一“芯”雙電!聖邦微電子發布雙輸出電源芯片,簡化AFE與音頻設計
- 一機適配萬端:金升陽推出1200W可編程電源,賦能高端裝備製造
- 邊緣AI的發展為更智能、更可持續的技術鋪平道路
- 每台智能體PC,都是AI時代的新入口
- IAR作為Qt Group獨立BU攜兩項重磅汽車電子應用開發方案首秀北京車展
- 構建具有網絡彈性的嵌入式係統:來自行業領袖的洞見
- 數字化的線性穩壓器
- 車規與基於V2X的車輛協同主動避撞技術展望
- 數字隔離助力新能源汽車安全隔離的新挑戰
- 汽車模塊拋負載的解決方案
- 車用連接器的安全創新應用
- Melexis Actuators Business Unit
- Position / Current Sensors - Triaxis Hall





