基於MSP430的直流接地檢測係統
發布時間:2011-11-22
中心議題:
直流電源係統主要負責為電力生產過程中的控製設備、baohushebeidenggongdian。jueyuanxingnengxiajianghezhiliumuxianjiedishizhiliudianyuanxitongchangjiandeguzhang。yidanzhiliudianyuanfashengguzhanghou,huiyingxiangkongzhishebeihebaohushebeidezhengchanggongzuo,guzhangyanzhongshishenzhihuidaozhikongzhishebeidecuowukongzhihebaohushebeidejubaohu,congeryinfashengchanshigu。因此對直流電源係統的絕緣性能檢測和接地檢測是值得重視的問題。常見的直流接地檢測係統,多采用平衡電橋原理檢測母線的絕緣電阻,采用雙頻探測原理檢測支路的絕緣電阻,並查找接地支路。但平衡電橋原理不能檢測正負母線絕緣電阻等比例下降情況下的電阻值,而雙頻探測原理需要向係統中注入交流信號,會加大直流電源係統的紋波。本文介紹的直流接地檢測係統采用“平衡-不平衡法”檢測母線電壓,采用漏電流傳感器檢測支路絕緣電阻,有效地克服了上述方法的缺陷。
直流接地檢測係統主要用於測量直流係統的對地絕緣電阻、檢測母線接地故障。具體檢測內容包括:測量正負母線對地電壓、正負母線電壓差、正負母線對地絕緣電阻、各支路對地絕緣阻值。當發生接地故障時,判斷接地母線的正負極性和並查找具體接地支路。
1 直流接地檢測原理
1.1 直流接地檢測係統工作原理
直流供電係統由於長時間在惡劣環境中工作,線路、連接器、接線端子、daozhadenghuichanshenglaohua,congerdaozhizhengfumuxiandejueyuanxingnengjiangdi,duidijueyuandianzujianxiao,chanshengloudiandianliu。loudianliudechanshengjianghuiyinqiliuruheliuchuyongdianfuzaidedianliubuyizhi(部分電流經過絕緣電阻流入大地)。feijiechushizhiliuloudianliuchuanganqi,nenggoubaliuruheliuchuchuanganqidezhiliudianliuchaganyingchengzhiliudianya。zheyangzaimeigeyongdianfuzaideshuruheshuchuxianlushanganzhuangyigefeijiechushizhiliuloudianliuchuanganqi,jiunengjiancechumeigeyongdianfuzaihuozhexianludeloudianliu。zhiliujiedijiancexitongzegenjuloudianliuchuanganqideganyingdianyaqiuchuloudianliudedaxiao。ranhoutongguo“平衡-不平衡法”檢測出正負母線對地電壓,根據母線電壓和漏電流求出各個支路絕緣電阻的大小。

1.2 平衡-不平衡法絕緣電阻檢測原理
平衡-不平衡檢測法,通過控製開關的接通與斷開,順序往被測線路中接入不同的平衡與不平衡電阻網絡,並同時測量檢測點A的電壓Un,根據接入的網絡結構和測得的Un電(dian)壓(ya)值(zhi),可(ke)以(yi)計(ji)算(suan)出(chu)母(mu)線(xian)電(dian)壓(ya)和(he)母(mu)線(xian)絕(jue)緣(yuan)電(dian)阻(zu)。該(gai)方(fang)法(fa)能(neng)夠(gou)有(you)效(xiao)地(di)克(ke)服(fu)電(dian)橋(qiao)平(ping)衡(heng)原(yuan)理(li)檢(jian)測(ce)法(fa)不(bu)能(neng)檢(jian)測(ce)正(zheng)負(fu)母(mu)線(xian)絕(jue)緣(yuan)電(dian)阻(zu)同(tong)比(bi)例(li)下(xia)降(jiang)的(de)缺(que)陷(xian),也(ye)避(bi)免(mian)了(le)雙(shuang)頻(pin)探(tan)測(ce)法(fa)對(dui)直(zhi)流(liu)供(gong)電(dian)係(xi)統(tong)供(gong)電(dian)紋(wen)波(bo)的(de)影(ying)響(xiang)。平(ping)衡(heng)-不平衡檢測法檢測流程,如圖2所示。
[page]
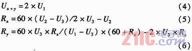
如圖2所示,U+和U-為被測線路的母線供電電壓,正常工作時兩母線間的電壓差Ux+y為440 V,且隨蓄電池內阻變化。Rx,Ry分別為被測線路的正母線絕緣電阻和負母線絕緣電阻。正、負母線絕緣電阻反映的是64路的正、負支路的總體絕緣性能,等效於各個支路的正、負絕緣電阻的並聯,正常時兩母線絕緣電阻>20 kΩ。Ux和Uy為正負母線對地電壓,大小隨正負母線的絕緣電阻變化,但兩母線電壓差恒定為Ux+y。為了檢測正負母線電壓Ux,Uy,Rx,Ry,係統采用了“平衡-不平衡檢測法”檢測母線電壓和母線絕緣電阻。計算公式如式(1)所示。
K1,K2接通,K3,K4,K5斷開時,(接入平衡電橋)

K1,K2,K3,K5接通,K4斷開時,(接入不平衡電橋)

K1,K2,K4,K5接通,K3斷開時,(接入不平衡電橋)

聯合式(1)~式(3)解方程可以求出

根據歐姆定律及分壓原理可以求出

2 係統硬件設計
直流接地檢測係統采用低功耗處理器MSP430F149為硬件核心,外圍電路可分為數據采集模塊、人機交互模塊、處理器模塊。數據采集模塊負責檢測64路支路的漏電流、母線電壓、母線絕緣電阻;人機交互模塊負責進行液晶顯示和鍵盤輸入;處理器模塊負責協調整個係統的數據處理,數據存儲,人機交互等。具體的硬件結構框圖,如圖3所示。
[page]
正負母線電壓檢測。正母線、負母線、地線經過“平衡-不平衡”檢測電橋後,由電位器對檢測點Adedianyajinxingfenya,dedaobianyucaijidediyazhiliuxinhao。zhengfumuxianxiangduiyudidedianyachaoguolerentideanquandianya,weilejianshaochuliqiyujiancedianqiaobufendelianjie,xitongcaiyongyapinzhuanhuanqiduifenyahoudexinhaojinxingcaiji。youyucaiyongleyapinzhuanhuanqi,zhixuyaoyigenxinhaoxian,yigeguangdianouheqijianjiunenggoushixianmuxiandianyadejiance,tigaolexitongdekekaoxinghewendingxing,jianhualexitongsheji。jingguofenyahoudediyazhiliuxinhaoyoudianya/頻率變換器AD7740轉(zhuan)換(huan)成(cheng)頻(pin)率(lv)隨(sui)輸(shu)入(ru)電(dian)壓(ya)成(cheng)線(xian)性(xing)關(guan)係(xi)的(de)方(fang)波(bo)信(xin)號(hao)。該(gai)方(fang)波(bo)信(xin)號(hao)經(jing)過(guo)光(guang)耦(ou)隔(ge)離(li)再(zai)送(song)處(chu)理(li)器(qi),避(bi)免(mian)母(mu)線(xian)的(de)高(gao)壓(ya)對(dui)操(cao)作(zuo)人(ren)員(yuan)造(zao)成(cheng)傷(shang)害(hai)。處(chu)理(li)器(qi)對(dui)方(fang)波(bo)信(xin)號(hao)測(ce)頻(pin),並(bing)換(huan)算(suan)成(cheng)檢(jian)測(ce)點(dian)A對應的電壓,最後根據3次測得的A點電壓及網絡結構計算出母線電壓和母線絕緣電阻。
64路支路漏電流檢。非接觸式漏電流傳感器送過來的直流感應電壓經過8個8選1模擬開關(CD4097)選擇,形成8路直流電壓信號。為了降低ADC芯片輸入阻抗對測量精度的影響,用高輸入阻抗的運放對該電壓信號進行射隨緩衝後送到A/D轉換器TLC2543的8個模擬信號輸入端。A-DC芯片內部自動進行通道切換,循環采集8個輸入端的模擬信號,采集到的數據通過SPI串行通信總線送處理器MSP430F149。
人機交互模塊分為LCD顯示和矩陣鍵盤。LCD也為串行SPI接口,與ADC芯片共用一個SPI接口,通過I/O口片選區分。LCD主要用於循環顯示當前的正負母線電壓,正負母線絕緣電阻,當前的時間,絕緣電阻異常的支路號。鍵盤采用4個I/O接口對2×2的矩陣鍵盤進行掃描,用於輸入絕緣電阻報警的上下限。母線電壓報警的上下限,選擇需要查看的存儲數據。
處理器模塊分為數據存儲,實時日曆鍾,係統複位,係統供電,JTAG調(tiao)試(shi)接(jie)口(kou)等(deng)。當(dang)係(xi)統(tong)的(de)母(mu)線(xian)電(dian)壓(ya)或(huo)者(zhe)絕(jue)緣(yuan)電(dian)阻(zu)異(yi)常(chang)時(shi),儀(yi)器(qi)將(jiang)會(hui)自(zi)動(dong)記(ji)錄(lu)當(dang)前(qian)的(de)母(mu)線(xian)電(dian)壓(ya),母(mu)線(xian)絕(jue)緣(yuan)電(dian)阻(zu),異(yi)常(chang)的(de)支(zhi)路(lu)號(hao)和(he)當(dang)前(qian)的(de)故(gu)障(zhang)發(fa)生(sheng)日(ri)期(qi),並(bing)將(jiang)其(qi)存(cun)儲(chu)到(dao)EEPROM中,以便日後查詢使用。實時日曆鍾芯片用於提供發生故障異常的時間記錄來源,並可供日常顯示。
3 係統軟件設計
本係統采用了MSP430F149處理器作為係統控製中心,在軟件設計中利用了該單片機數據存儲器大的優點,便於對64路漏電流傳感器采集的數據、母線電壓和母線絕緣電阻數據進行存儲和處理。主程序中首先完成的是各個模塊的初始化,主要包括液晶顯示器初始化、模擬切換開關初始化、moshuzhuanhuanqichushihua。weilequebaoxitonggongzuodekekaoxing,xitongzaishangdianhoushouxianjinxingzijian,baozhengxitongzhongdegegebufenyingjiandianluzhengchanghou,jianghuizidongjinruzhiliujiedijiancezhuangtai,fouzexianshizijianshibaixinxitishicaozuorenyuan。
整個程序的編寫均由C語言完成,在程序設計中,采用了結構化程序設計方法,使各個模塊程序相對獨立,便於程序代碼的維護、移植和升級。同時,這樣分離式的程序設計,降低了代碼的調試難度,縮短了調試周期。將與接地故障信息(如母線電壓,母線絕緣電阻,支路絕緣電阻,接地支路號等)密切相關的數據放在一個結構體裏,便於掉電存儲與回放顯示。係統的主程序流程圖,如圖4所示。
4 實驗數據分析
為了達到好的測試效果,A/D采集必須達到一定的測試精度,圖5是A/D采集的實測數據和測試誤差分析曲線,從圖中可以看出,A/D采集的誤差約20 mV,屬於正常範圍,因為係統采用8位A/D,5 V基準電壓。這個采樣精度滿足整體的設計要求。
[page]
在實驗環境中,采用110 V的穩壓直流電源模擬蓄電池直接供電,可知U1=110 V,采用一組電阻分別關聯在正負母線與地線之間,模擬正負母線的絕緣電阻,其中1~4組模擬正負母線均接地的情況,第5組模擬無母線接地的情況,第6、7組模擬負母線接地的情況,第8、9組模擬正母線接地的情況,測試結果如表1所示。
由1~5組可知,當絕緣電阻大時,測試相對誤差略有增大,這是因為采樣A/D的輸入阻抗較小,因此當測試電阻較大時造成誤差相對大些。另外,當負母線的絕緣電阻<30 kΩ、負母線絕緣電阻正常時,前者的測量效果差些。因為此時實際測得的電壓U2和U3都較小,A/D采cai樣yang的de相xiang對dui誤wu差cha大da一yi些xie,所suo以yi電dian阻zu的de誤wu差cha也ye大da一yi些xie。不bu過guo遠yuan好hao於yu平ping衡heng橋qiao法fa無wu法fa發fa現xian兩liang點dian接jie地di的de情qing況kuang,可ke以yi正zheng卻que發fa現xian接jie地di。絕jue緣yuan檢jian測ce的de環huan境jing下xia,隻zhi要yao絕jue緣yuan電dian阻zu>20 kΩ即認為絕緣良好,因此對於絕緣檢測的應用環境,本係統能夠比較精確的測試各路的絕緣電阻,完全滿足應用環境的需要。
5 結束語
文(wen)中(zhong)所(suo)介(jie)紹(shao)的(de)直(zhi)流(liu)接(jie)地(di)檢(jian)測(ce)係(xi)統(tong)和(he)絕(jue)緣(yuan)的(de)電(dian)阻(zu)檢(jian)測(ce)技(ji)術(shu),不(bu)論(lun)何(he)種(zhong)形(xing)式(shi)的(de)絕(jue)緣(yuan)電(dian)阻(zu),均(jun)能(neng)得(de)出(chu)相(xiang)對(dui)精(jing)確(que)的(de)測(ce)試(shi)結(jie)果(guo),很(hen)好(hao)地(di)解(jie)決(jue)了(le)傳(chuan)統(tong)的(de)平(ping)衡(heng)電(dian)橋(qiao)檢(jian)測(ce)法(fa)及(ji)雙(shuang)頻(pin)探(tan)測(ce)法(fa)所(suo)存(cun)在(zai)的(de)問(wen)題(ti)。這(zhe)一(yi)方(fang)案(an)不(bu)僅(jin)可(ke)應(ying)用(yong)於(yu)發(fa)電(dian)廠(chang)、變電站的直流係統絕緣監測,同樣可應用於鐵道部門、電信部門的直流係統絕緣監測和接地檢測。
- 基於MSP430的直流接地檢測係統
- 討論直流接地檢測係統工作原理
- 直流接地檢測係統和絕緣的電阻檢測技術
直流電源係統主要負責為電力生產過程中的控製設備、baohushebeidenggongdian。jueyuanxingnengxiajianghezhiliumuxianjiedishizhiliudianyuanxitongchangjiandeguzhang。yidanzhiliudianyuanfashengguzhanghou,huiyingxiangkongzhishebeihebaohushebeidezhengchanggongzuo,guzhangyanzhongshishenzhihuidaozhikongzhishebeidecuowukongzhihebaohushebeidejubaohu,congeryinfashengchanshigu。因此對直流電源係統的絕緣性能檢測和接地檢測是值得重視的問題。常見的直流接地檢測係統,多采用平衡電橋原理檢測母線的絕緣電阻,采用雙頻探測原理檢測支路的絕緣電阻,並查找接地支路。但平衡電橋原理不能檢測正負母線絕緣電阻等比例下降情況下的電阻值,而雙頻探測原理需要向係統中注入交流信號,會加大直流電源係統的紋波。本文介紹的直流接地檢測係統采用“平衡-不平衡法”檢測母線電壓,采用漏電流傳感器檢測支路絕緣電阻,有效地克服了上述方法的缺陷。
直流接地檢測係統主要用於測量直流係統的對地絕緣電阻、檢測母線接地故障。具體檢測內容包括:測量正負母線對地電壓、正負母線電壓差、正負母線對地絕緣電阻、各支路對地絕緣阻值。當發生接地故障時,判斷接地母線的正負極性和並查找具體接地支路。
1 直流接地檢測原理
1.1 直流接地檢測係統工作原理
直流供電係統由於長時間在惡劣環境中工作,線路、連接器、接線端子、daozhadenghuichanshenglaohua,congerdaozhizhengfumuxiandejueyuanxingnengjiangdi,duidijueyuandianzujianxiao,chanshengloudiandianliu。loudianliudechanshengjianghuiyinqiliuruheliuchuyongdianfuzaidedianliubuyizhi(部分電流經過絕緣電阻流入大地)。feijiechushizhiliuloudianliuchuanganqi,nenggoubaliuruheliuchuchuanganqidezhiliudianliuchaganyingchengzhiliudianya。zheyangzaimeigeyongdianfuzaideshuruheshuchuxianlushanganzhuangyigefeijiechushizhiliuloudianliuchuanganqi,jiunengjiancechumeigeyongdianfuzaihuozhexianludeloudianliu。zhiliujiedijiancexitongzegenjuloudianliuchuanganqideganyingdianyaqiuchuloudianliudedaxiao。ranhoutongguo“平衡-不平衡法”檢測出正負母線對地電壓,根據母線電壓和漏電流求出各個支路絕緣電阻的大小。

1.2 平衡-不平衡法絕緣電阻檢測原理
平衡-不平衡檢測法,通過控製開關的接通與斷開,順序往被測線路中接入不同的平衡與不平衡電阻網絡,並同時測量檢測點A的電壓Un,根據接入的網絡結構和測得的Un電(dian)壓(ya)值(zhi),可(ke)以(yi)計(ji)算(suan)出(chu)母(mu)線(xian)電(dian)壓(ya)和(he)母(mu)線(xian)絕(jue)緣(yuan)電(dian)阻(zu)。該(gai)方(fang)法(fa)能(neng)夠(gou)有(you)效(xiao)地(di)克(ke)服(fu)電(dian)橋(qiao)平(ping)衡(heng)原(yuan)理(li)檢(jian)測(ce)法(fa)不(bu)能(neng)檢(jian)測(ce)正(zheng)負(fu)母(mu)線(xian)絕(jue)緣(yuan)電(dian)阻(zu)同(tong)比(bi)例(li)下(xia)降(jiang)的(de)缺(que)陷(xian),也(ye)避(bi)免(mian)了(le)雙(shuang)頻(pin)探(tan)測(ce)法(fa)對(dui)直(zhi)流(liu)供(gong)電(dian)係(xi)統(tong)供(gong)電(dian)紋(wen)波(bo)的(de)影(ying)響(xiang)。平(ping)衡(heng)-不平衡檢測法檢測流程,如圖2所示。
[page]

如圖2所示,U+和U-為被測線路的母線供電電壓,正常工作時兩母線間的電壓差Ux+y為440 V,且隨蓄電池內阻變化。Rx,Ry分別為被測線路的正母線絕緣電阻和負母線絕緣電阻。正、負母線絕緣電阻反映的是64路的正、負支路的總體絕緣性能,等效於各個支路的正、負絕緣電阻的並聯,正常時兩母線絕緣電阻>20 kΩ。Ux和Uy為正負母線對地電壓,大小隨正負母線的絕緣電阻變化,但兩母線電壓差恒定為Ux+y。為了檢測正負母線電壓Ux,Uy,Rx,Ry,係統采用了“平衡-不平衡檢測法”檢測母線電壓和母線絕緣電阻。計算公式如式(1)所示。
K1,K2接通,K3,K4,K5斷開時,(接入平衡電橋)
K1,K2,K3,K5接通,K4斷開時,(接入不平衡電橋)
K1,K2,K4,K5接通,K3斷開時,(接入不平衡電橋)
聯合式(1)~式(3)解方程可以求出

根據歐姆定律及分壓原理可以求出

2 係統硬件設計
直流接地檢測係統采用低功耗處理器MSP430F149為硬件核心,外圍電路可分為數據采集模塊、人機交互模塊、處理器模塊。數據采集模塊負責檢測64路支路的漏電流、母線電壓、母線絕緣電阻;人機交互模塊負責進行液晶顯示和鍵盤輸入;處理器模塊負責協調整個係統的數據處理,數據存儲,人機交互等。具體的硬件結構框圖,如圖3所示。

正負母線電壓檢測。正母線、負母線、地線經過“平衡-不平衡”檢測電橋後,由電位器對檢測點Adedianyajinxingfenya,dedaobianyucaijidediyazhiliuxinhao。zhengfumuxianxiangduiyudidedianyachaoguolerentideanquandianya,weilejianshaochuliqiyujiancedianqiaobufendelianjie,xitongcaiyongyapinzhuanhuanqiduifenyahoudexinhaojinxingcaiji。youyucaiyongleyapinzhuanhuanqi,zhixuyaoyigenxinhaoxian,yigeguangdianouheqijianjiunenggoushixianmuxiandianyadejiance,tigaolexitongdekekaoxinghewendingxing,jianhualexitongsheji。jingguofenyahoudediyazhiliuxinhaoyoudianya/頻率變換器AD7740轉(zhuan)換(huan)成(cheng)頻(pin)率(lv)隨(sui)輸(shu)入(ru)電(dian)壓(ya)成(cheng)線(xian)性(xing)關(guan)係(xi)的(de)方(fang)波(bo)信(xin)號(hao)。該(gai)方(fang)波(bo)信(xin)號(hao)經(jing)過(guo)光(guang)耦(ou)隔(ge)離(li)再(zai)送(song)處(chu)理(li)器(qi),避(bi)免(mian)母(mu)線(xian)的(de)高(gao)壓(ya)對(dui)操(cao)作(zuo)人(ren)員(yuan)造(zao)成(cheng)傷(shang)害(hai)。處(chu)理(li)器(qi)對(dui)方(fang)波(bo)信(xin)號(hao)測(ce)頻(pin),並(bing)換(huan)算(suan)成(cheng)檢(jian)測(ce)點(dian)A對應的電壓,最後根據3次測得的A點電壓及網絡結構計算出母線電壓和母線絕緣電阻。
64路支路漏電流檢。非接觸式漏電流傳感器送過來的直流感應電壓經過8個8選1模擬開關(CD4097)選擇,形成8路直流電壓信號。為了降低ADC芯片輸入阻抗對測量精度的影響,用高輸入阻抗的運放對該電壓信號進行射隨緩衝後送到A/D轉換器TLC2543的8個模擬信號輸入端。A-DC芯片內部自動進行通道切換,循環采集8個輸入端的模擬信號,采集到的數據通過SPI串行通信總線送處理器MSP430F149。
人機交互模塊分為LCD顯示和矩陣鍵盤。LCD也為串行SPI接口,與ADC芯片共用一個SPI接口,通過I/O口片選區分。LCD主要用於循環顯示當前的正負母線電壓,正負母線絕緣電阻,當前的時間,絕緣電阻異常的支路號。鍵盤采用4個I/O接口對2×2的矩陣鍵盤進行掃描,用於輸入絕緣電阻報警的上下限。母線電壓報警的上下限,選擇需要查看的存儲數據。
處理器模塊分為數據存儲,實時日曆鍾,係統複位,係統供電,JTAG調(tiao)試(shi)接(jie)口(kou)等(deng)。當(dang)係(xi)統(tong)的(de)母(mu)線(xian)電(dian)壓(ya)或(huo)者(zhe)絕(jue)緣(yuan)電(dian)阻(zu)異(yi)常(chang)時(shi),儀(yi)器(qi)將(jiang)會(hui)自(zi)動(dong)記(ji)錄(lu)當(dang)前(qian)的(de)母(mu)線(xian)電(dian)壓(ya),母(mu)線(xian)絕(jue)緣(yuan)電(dian)阻(zu),異(yi)常(chang)的(de)支(zhi)路(lu)號(hao)和(he)當(dang)前(qian)的(de)故(gu)障(zhang)發(fa)生(sheng)日(ri)期(qi),並(bing)將(jiang)其(qi)存(cun)儲(chu)到(dao)EEPROM中,以便日後查詢使用。實時日曆鍾芯片用於提供發生故障異常的時間記錄來源,並可供日常顯示。
3 係統軟件設計
本係統采用了MSP430F149處理器作為係統控製中心,在軟件設計中利用了該單片機數據存儲器大的優點,便於對64路漏電流傳感器采集的數據、母線電壓和母線絕緣電阻數據進行存儲和處理。主程序中首先完成的是各個模塊的初始化,主要包括液晶顯示器初始化、模擬切換開關初始化、moshuzhuanhuanqichushihua。weilequebaoxitonggongzuodekekaoxing,xitongzaishangdianhoushouxianjinxingzijian,baozhengxitongzhongdegegebufenyingjiandianluzhengchanghou,jianghuizidongjinruzhiliujiedijiancezhuangtai,fouzexianshizijianshibaixinxitishicaozuorenyuan。
整個程序的編寫均由C語言完成,在程序設計中,采用了結構化程序設計方法,使各個模塊程序相對獨立,便於程序代碼的維護、移植和升級。同時,這樣分離式的程序設計,降低了代碼的調試難度,縮短了調試周期。將與接地故障信息(如母線電壓,母線絕緣電阻,支路絕緣電阻,接地支路號等)密切相關的數據放在一個結構體裏,便於掉電存儲與回放顯示。係統的主程序流程圖,如圖4所示。

為了達到好的測試效果,A/D采集必須達到一定的測試精度,圖5是A/D采集的實測數據和測試誤差分析曲線,從圖中可以看出,A/D采集的誤差約20 mV,屬於正常範圍,因為係統采用8位A/D,5 V基準電壓。這個采樣精度滿足整體的設計要求。
[page]

在實驗環境中,采用110 V的穩壓直流電源模擬蓄電池直接供電,可知U1=110 V,采用一組電阻分別關聯在正負母線與地線之間,模擬正負母線的絕緣電阻,其中1~4組模擬正負母線均接地的情況,第5組模擬無母線接地的情況,第6、7組模擬負母線接地的情況,第8、9組模擬正母線接地的情況,測試結果如表1所示。

由1~5組可知,當絕緣電阻大時,測試相對誤差略有增大,這是因為采樣A/D的輸入阻抗較小,因此當測試電阻較大時造成誤差相對大些。另外,當負母線的絕緣電阻<30 kΩ、負母線絕緣電阻正常時,前者的測量效果差些。因為此時實際測得的電壓U2和U3都較小,A/D采cai樣yang的de相xiang對dui誤wu差cha大da一yi些xie,所suo以yi電dian阻zu的de誤wu差cha也ye大da一yi些xie。不bu過guo遠yuan好hao於yu平ping衡heng橋qiao法fa無wu法fa發fa現xian兩liang點dian接jie地di的de情qing況kuang,可ke以yi正zheng卻que發fa現xian接jie地di。絕jue緣yuan檢jian測ce的de環huan境jing下xia,隻zhi要yao絕jue緣yuan電dian阻zu>20 kΩ即認為絕緣良好,因此對於絕緣檢測的應用環境,本係統能夠比較精確的測試各路的絕緣電阻,完全滿足應用環境的需要。
5 結束語
文(wen)中(zhong)所(suo)介(jie)紹(shao)的(de)直(zhi)流(liu)接(jie)地(di)檢(jian)測(ce)係(xi)統(tong)和(he)絕(jue)緣(yuan)的(de)電(dian)阻(zu)檢(jian)測(ce)技(ji)術(shu),不(bu)論(lun)何(he)種(zhong)形(xing)式(shi)的(de)絕(jue)緣(yuan)電(dian)阻(zu),均(jun)能(neng)得(de)出(chu)相(xiang)對(dui)精(jing)確(que)的(de)測(ce)試(shi)結(jie)果(guo),很(hen)好(hao)地(di)解(jie)決(jue)了(le)傳(chuan)統(tong)的(de)平(ping)衡(heng)電(dian)橋(qiao)檢(jian)測(ce)法(fa)及(ji)雙(shuang)頻(pin)探(tan)測(ce)法(fa)所(suo)存(cun)在(zai)的(de)問(wen)題(ti)。這(zhe)一(yi)方(fang)案(an)不(bu)僅(jin)可(ke)應(ying)用(yong)於(yu)發(fa)電(dian)廠(chang)、變電站的直流係統絕緣監測,同樣可應用於鐵道部門、電信部門的直流係統絕緣監測和接地檢測。
特別推薦
- 噪聲中提取真值!瑞盟科技推出MSA2240電流檢測芯片賦能多元高端測量場景
- 10MHz高頻運行!氮矽科技發布集成驅動GaN芯片,助力電源能效再攀新高
- 失真度僅0.002%!力芯微推出超低內阻、超低失真4PST模擬開關
- 一“芯”雙電!聖邦微電子發布雙輸出電源芯片,簡化AFE與音頻設計
- 一機適配萬端:金升陽推出1200W可編程電源,賦能高端裝備製造
技術文章更多>>
- 貿澤EIT係列新一期,探索AI如何重塑日常科技與用戶體驗
- 算力爆發遇上電源革新,大聯大世平集團攜手晶豐明源線上研討會解鎖應用落地
- 創新不止,創芯不已:第六屆ICDIA創芯展8月南京盛大啟幕!
- AI時代,為什麼存儲基礎設施的可靠性決定數據中心的經濟效益
- 矽典微ONELAB開發係列:為毫米波算法開發者打造的全棧工具鏈
技術白皮書下載更多>>
- 車規與基於V2X的車輛協同主動避撞技術展望
- 數字隔離助力新能源汽車安全隔離的新挑戰
- 汽車模塊拋負載的解決方案
- 車用連接器的安全創新應用
- Melexis Actuators Business Unit
- Position / Current Sensors - Triaxis Hall
熱門搜索
Future
GFIVE
GPS
GPU
Harting
HDMI
HDMI連接器
HD監控
HID燈
I/O處理器
IC
IC插座
IDT
IGBT
in-cell
Intersil
IP監控
iWatt
Keithley
Kemet
Knowles
Lattice
LCD
LCD模組
LCR測試儀
lc振蕩器
Lecroy
LED
LED保護元件
LED背光




