DC-DC升壓型開關電源的低壓啟動方案
發布時間:2011-10-17 來源:現代電子技術
中心議題:
- DC-DC 升壓型開關電源的低壓啟動電路設計
解決方案:
- DC-DC 升壓型開關電源的主振蕩器的設計
- DC-DC 升壓型開關電源的輔助振蕩器的設計
各種便攜式電子產品, 如照相機、攝像機、手機、筆記本電腦、多媒體播放器等都需要DC-DC 變換器等電源管理芯片。這類便攜式設備一般使用電池供電, 總能量有限, 因此, 電源芯片需要最大限度地降低工作電壓,延長電池的使用壽命。傳統DC-DC 的工作電壓一般都在1. 0 V 以上, 本文設計了一種DC-DC 升壓型開關電源的低壓啟動電路, 啟動電壓降低至0. 8 V,該電路采用兩個在不同電源電壓範圍內工作頻率較穩定的振蕩器電路, 利用電壓檢測模塊進行合理的切換, 解決了低輸入電壓下電路無法正常工作的問題, 並在0. 5μm CMOS 工藝庫( VthN = 0. 72 V, VthP = -0. 97 V) 下仿真。仿真結果表明, 在0. 8 V 低輸入電壓時, 通過此升壓型開關電源, 可以將VDD升高至3. 3 V。
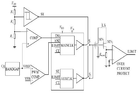
1 電路整體示意圖
DC-DC 升壓型開關電源在低輸入電壓下工作, 利用控製電路導通和關斷功率管, 在功率管導通時, 電感儲存能量; 當功率管關斷時, 電感釋放能量, 對輸出電容充電, 輸出電壓升高。當輸入電源低至1. 0 V 以下, 如果DC-DC 芯片的驅動電壓取自輸入電源, 芯片內部電路就不能正常工作, DC-DC 便無法啟動; 如果DC-DC 芯片的驅動電壓取自輸出電壓, 同樣, 芯片根本無法啟動及進行任何升壓動作。本文針對輸入電源電壓變化範圍較大, 在考慮商業成本的情況下, 設計了2 個振蕩器電路:主振蕩器和輔助振蕩器。輔助振蕩器靠輸入電壓供電,0. 8 V 即能起振, 在V DD升至1. 9 V 以前控製功率管的導通與關斷, 使V DD逐步抬升。主振蕩器靠輸出電壓即VDD供電, 在VDD升至1. 9 V 以後以一個較穩定的頻率工作, 抬升並維持輸出電壓。電路的整體示意圖如圖1所示。該電路包括主振蕩器、輔助振蕩器以及它們的切換電路、帶隙基準電路、PWM 比較器、過壓保護電路、過流保護電路等。

圖1 DC-DC 升壓型開關電源芯片的整體示意圖[page]
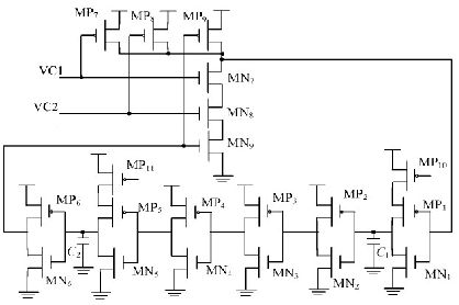
2 主振蕩器的設計
本文所設計的主振蕩器采用如圖2 所示的環形振蕩器結構。VC1, VC2 分別為過壓保護電路, PWM 比較器的輸出信號, MP10和MP11 為帶隙基準提供的鏡像電流, 合理的控製鏡像電流和電容C1 , C2 的大小, 即能夠使主振蕩器在1. 9~ 8 V 的V DD區間輸出350 kHz 左右較穩定的振蕩頻率。

圖2 主振蕩器電路
3 輔助振蕩器的設計
輔助振蕩器電路采用環形振蕩器結構, 它利用亞閾值導通的原理, 使得起振電壓降至0. 8 V, 但是這個輔助振蕩器在0. 8~ 1. 9 V 的VDD區間裏頻率變化很大, 會在電路啟動階段造成很大的浪湧電流, 造成係統的不穩定。
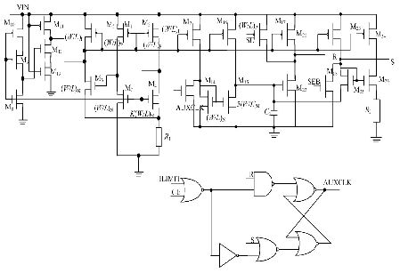
設計的輔助振蕩器克服了以上缺點, 既保證了在0. 8 V 起振, 又避免了振蕩頻率變化過大, 但是, 在輔助振蕩器關斷之後由於工藝偏差可能會在R, S端出現不確定狀態, 導致功耗過大, 並造成後續電路不能正常工作。本文在此基礎上加以改進, 增加M17 管, M18管, 所設計的輔助振蕩器如圖3 所示。

圖3 輔助振蕩器電路[page]
圖3 中, M1~ M13 是低輸入電壓偏置電流電路, 這個電路的主要功能是在低輸入電壓下產生一個恒定的納安級的偏置電流。這一不隨電源電壓變化的偏置電流將為圖3 所示的輔助振蕩器提供偏置。M8 ~ M13為啟動電路, M3 , M4 都工作在亞閾值區:

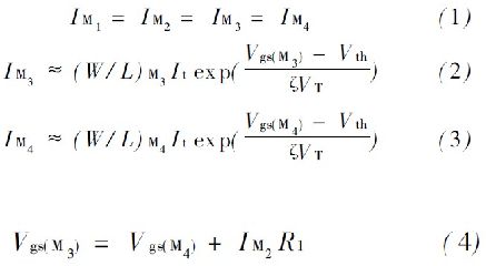
聯立式(1) ~ 式(4),可以得到:

式中: K = (W/ L ) M4 / ( W/ L ) M3 ,通過式(5) 可以發現,偏置電流I M1 , I M2與輸入電源無關。
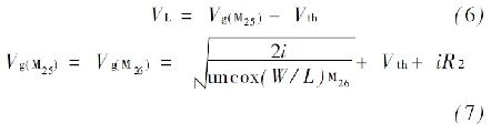
恒流源I I 和I 4 對電容C1 充放電, 該振蕩器的核心模塊是兩個比較器, M21 , M22 組成COMP1, 該比較器閾值較高, 為M22 管的導通閾值, 記為V H = V th。M22 ,M23 , M24 , M25 , M26 , R2 組成COMP2, 該比較器閾值較低, 記為VL :

因為M26管的電流很小, 寬長比很大, 故:
![]()
SE 為輔助振蕩器切換信號, SEB 為SE 的反信號。當V DD低於1. 9 V 時, SE 為高電平, M17 , M18 都截止, 不影響R, S 觸發器的翻轉, 輔助振蕩器工作, 開關S1 斷開, S2 閉合; 當VDD 高於1. 9 V 時, SE 為低電平, 輔助振蕩器關斷, 開關S1 閉合, S2 斷開, M17 , M18 都導通, R=1, S= 0, AU XCLK 被鎖定為高電平, 既減小了功耗, 也避免了輔助振蕩器關斷之後R, S 端出現不確定狀態。
[page]
4 電路整體仿真結果與分析
整體電路在0. 5μm CMOS 工藝庫( V thN= 0. 72 V,VthP = - 0. 97 V) 下仿真, 仿真條件為VIN = 0. 8 V, 仿真結果如圖4 所示。

圖4 兩個振蕩器的切換
從圖4 可以看出, 電路啟動後, 首先輔助振蕩器V( aux clk) 起振, V DD逐漸升高, 升高至1. 4 V 時, 主振蕩器V( mainclk) 起振, 但此時隻有輔助振蕩信號通過開關S2 傳到功率管的柵極, 當VDD升高至1. 9 V 時, 輔助振蕩器關掉, 主振蕩器信號通過開關S1 傳到功率管的柵極, VDD繼續升高至設定的輸出電壓3. 3 V 以後,由反饋電路控製主振蕩器的開啟與關斷, 來維持這一輸出電壓。
5 結 語
本文針對輸入電源電壓變化範圍較大, 設計了兩種結構不同的振蕩器, 其在在不同電源電壓範圍內工作的頻率較穩定, 並利用電壓檢測模塊進行合理的切換, 解決了低輸入電壓下電路無法啟動的問題, 是一款適用於商業開發的DC-DC 升壓型開關電源。
- 噪聲中提取真值!瑞盟科技推出MSA2240電流檢測芯片賦能多元高端測量場景
- 10MHz高頻運行!氮矽科技發布集成驅動GaN芯片,助力電源能效再攀新高
- 失真度僅0.002%!力芯微推出超低內阻、超低失真4PST模擬開關
- 一“芯”雙電!聖邦微電子發布雙輸出電源芯片,簡化AFE與音頻設計
- 一機適配萬端:金升陽推出1200W可編程電源,賦能高端裝備製造
- 大聯大世平集團首度亮相北京國際汽車展 攜手全球芯片夥伴打造智能車整合應用新典範
- 2026北京車展即將啟幕,高通攜手汽車生態“朋友圈”推動智能化體驗再升級
- 邊緣重構智慧城市:FPGA SoM 如何破解視頻係統 “重而慢”
- 如何使用工業級串行數字輸入來設計具有並行接口的數字輸入模塊
- 意法半導體將舉辦投資者會議探討低地球軌道(LEO)發展機遇
- 車規與基於V2X的車輛協同主動避撞技術展望
- 數字隔離助力新能源汽車安全隔離的新挑戰
- 汽車模塊拋負載的解決方案
- 車用連接器的安全創新應用
- Melexis Actuators Business Unit
- Position / Current Sensors - Triaxis Hall


