三相IGBT全橋隔離驅動電源設計
發布時間:2011-10-11
中心議題:
- 三相IGBT全橋隔離驅動電源設計
解決方案:
- 單段反激式變換器設計
- 電壓電流反饋回路參數設計
三相IGBT全橋6個IGBT共需要6路驅動,每路IGBT驅動電源的地與該IGBT的發射極E連在一起。而三相IGBT全橋處於下橋臂的3個IGBT是共射極連接的,所以三相IGBT全橋下橋臂的3個IGBT驅動電源是共地的,即三相IGBT全橋6路驅動僅需要4路相互隔離的電源。每路IGBT驅動一般需要正負電壓的雙電源供電,所以每路隔離電源必須能夠提供正負電壓輸出。目前市場上已存在提供4路隔離輸出的DC/DC電源,但每路均提供正負電壓輸出的4路隔離輸出電源還不存在。
本文針對10 kW三相IGBT全橋變換器設計了一種隔離驅動電源,提供4路相互隔離的輸出,每路輸出均提供+15 V/-9 V電(dian)源(yuan)。電(dian)源(yuan)功(gong)率(lv)較(jiao)小(xiao),考(kao)慮(lv)成(cheng)本(ben)和(he)效(xiao)率(lv),采(cai)用(yong)單(dan)端(duan)反(fan)激(ji)式(shi)結(jie)構(gou)。電(dian)源(yuan)內(nei)部(bu)反(fan)饋(kui)網(wang)絡(luo)采(cai)用(yong)電(dian)壓(ya)和(he)電(dian)流(liu)反(fan)饋(kui)雙(shuang)閉(bi)環(huan)串(chuan)極(ji)結(jie)構(gou),分(fen)別(bie)從(cong)電(dian)壓(ya)輸(shu)出(chu)端(duan)和(he)電(dian)流(liu)采(cai)樣(yang)電(dian)阻(zu)上(shang)得(de)到(dao)電(dian)壓(ya)電(dian)流(liu)反(fan)饋(kui)信(xin)號(hao),經(jing)反(fan)饋(kui)網(wang)絡(luo)輸(shu)入(ru)到(dao)PWM控製器,PWM控製器根據反饋信號大小調節其輸出開關脈衝的占空比,以此來保持輸出電壓的穩定。
1 三相IGBT全橋隔離驅動電源設計
三相IGBT全橋隔離驅動電源采用電流型PWM控製器LIC3845,輸出4路相互隔離的+15 V/-9 V,如圖1所示。其中,一路額定輸出電流為0.2 A,用於三相全橋下橋臂共射極連接的3個IGBT的驅動供電,另外3路額定輸出電流為0.1 A,分別用於上橋臂的3個IGBT的驅動供電。

1.1 電路工作原理
1.1.1 開關脈衝的產生
開關管導通時,變壓器的初級電流逐漸增大,采樣電阻風上的壓降增加,通過RC濾波電路反饋到芯片UC3845的3腳,與電流取樣比較器的另一端進行比較,當這個壓降達到UC3845的1管腳建立的門限電平時,鎖存器複位,開關管截止。UC3845作為電流模式控製器工作,輸出開關的導通由UC3845內部振蕩器開始,到變壓器初級電流到達管腳1建立的門限電平時為止。
1.1.2 占空比的調節
變壓器+15 V,-9 v/0.2 A一路輸出電壓通過TL431a和光耦PC817反饋到UC3845的1腳,UC3845的2腳接地,UC3845內部誤差比較放大器的輸入誤差總是固定的,將PC817的光電晶體管視為可變電阻,1腳的反饋信號改變的是誤差比較放大器的增益,其等效電路如圖2所示。
[page]
當+15 V、-9V/0.2 A一路輸出電壓過高時,TL431參考端電壓升高,陰極電壓降低,光耦PC817二極管的電流增大,晶體管電流也相應增大,UC3845的1腳電壓降低,流過開關管的峰值電流減小,占空比減小,使得輸出電壓降低。當輸出電壓偏低時與上述情況正好相反。
1.1.3 +15 V/-9 V電壓的產生
圖1所示的隔離電源的變壓器次級4路實際輸出+24 V的電壓,為得到+15 V/-9 V的電壓,采用15 V穩wen壓ya二er極ji管guan和he電dian阻zu串chuan聯lian的de形xing式shi。也ye可ke以yi采cai用yong變bian壓ya器qi次ci級ji引yin出chu中zhong間jian抽chou頭tou的de方fang式shi,但dan這zhe種zhong方fang式shi占zhan用yong變bian壓ya器qi管guan腳jiao太tai多duo,變bian壓ya器qi骨gu架jia管guan腳jiao數shu目mu會hui不bu足zu。
1.2 反激式變壓器設計
單端反激式變壓器可工作在電流連續模式(CCM)或斷續模式(DCM),但在CCM模式下變壓器磁芯易飽和發熱,通常設計為DCM下工作。
確定已知參數:直流輸入電壓的最大值Uinmax和最小值Uinmax;輸出電壓Uo、功率Po;開關頻率f、工作效率η、開關導通壓降UDS。在反激變壓器中,次級反激電壓VOR與輸入電壓之和不能高於開關管的耐壓USmax,


1.3 電壓電流反饋回路參數設計
TL431a是美國德州儀器(TI)生產的2.5~36 V可調式精密並聯穩壓器。它的參考端輸入電流值為2μA,為了避免此端電流影響分壓比和避免噪聲的影響,通常取流過電阻Rlow的電流為參考輸入端電流的100倍以上,所以得Rlow的取值範圍:
。在該範圍內給Rlow取值。根據Rup,Rlow,Uo,Uref的關係,得到
。
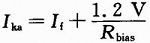
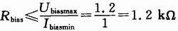
TL431a的陰極電壓Uka在2.5 V~36 V變化時,陰極電流Ika範圍是1~150 mA,當PC817的正向電流If為0時,必須保證Ika至少為1 mA,所以Ibias至少為1 mA,此時PC817的正向壓降Uf即Ubias小於1.2 V,所以Rbias的範圍:
。[page]
UC3845的1腳正常電壓為0.8 V~6.2 V,由PC817的技術資料得:當PC817二極管正向電流If為3 mA左右時,晶體管集射電流Ic在4 mA左右變化,集射電壓Uce在很寬的範圍內線性變化,符合UC3845的控製要求,所以取PC817二極管正向電流If為3 mA,取TL431a陰極電流Ika為不大於150 mA的確定值(例如20 mA)。由此根據
,可得Rbias的值;又由TL431a陰極工作電位為2.5~36 V得到Rf的取值範圍:![]()
2 實驗結果
對設計的電路進行實驗,得出了實驗數據和波形。表1為隔離電源在空載和帶載(+15 V,-9 V/0.2 A一路輸出帶載240 Ω,另外3路輸出各帶載120 Ω)下的4路輸出電壓值及相應的負載調整率。

圖3為+15 V,-9 V/0.2 A一路輸出帶載時的電壓波形。圖3為+15 V,-9 V/0.2 A一路帶載輸出電壓:深色CH1為+15 V輸出,淺色CH2為-9 V輸出。

3 結語
本文設計製作了基於電流型PWM控製器UC3845的三相IGBT全(quan)橋(qiao)隔(ge)離(li)驅(qu)動(dong)電(dian)源(yuan),采(cai)用(yong)單(dan)端(duan)反(fan)激(ji)式(shi)結(jie)構(gou),結(jie)構(gou)簡(jian)單(dan),成(cheng)本(ben)較(jiao)低(di)。實(shi)驗(yan)表(biao)明(ming),該(gai)隔(ge)離(li)驅(qu)動(dong)電(dian)源(yuan)的(de)輸(shu)出(chu)電(dian)壓(ya)穩(wen)定(ding),負(fu)載(zai)調(tiao)整(zheng)率(lv)高(gao),具(ju)有(you)很(hen)高(gao)的(de)應(ying)用(yong)價(jia)值(zhi),同(tong)時(shi)填(tian)補(bu)了(le)當(dang)前(qian)市(shi)場(chang)沒(mei)有(you)三(san)相(xiang)IGBT全橋隔離驅動電源的空白。
- 噪聲中提取真值!瑞盟科技推出MSA2240電流檢測芯片賦能多元高端測量場景
- 10MHz高頻運行!氮矽科技發布集成驅動GaN芯片,助力電源能效再攀新高
- 失真度僅0.002%!力芯微推出超低內阻、超低失真4PST模擬開關
- 一“芯”雙電!聖邦微電子發布雙輸出電源芯片,簡化AFE與音頻設計
- 一機適配萬端:金升陽推出1200W可編程電源,賦能高端裝備製造
- 貿澤EIT係列新一期,探索AI如何重塑日常科技與用戶體驗
- 算力爆發遇上電源革新,大聯大世平集團攜手晶豐明源線上研討會解鎖應用落地
- 創新不止,創芯不已:第六屆ICDIA創芯展8月南京盛大啟幕!
- AI時代,為什麼存儲基礎設施的可靠性決定數據中心的經濟效益
- 矽典微ONELAB開發係列:為毫米波算法開發者打造的全棧工具鏈
- 車規與基於V2X的車輛協同主動避撞技術展望
- 數字隔離助力新能源汽車安全隔離的新挑戰
- 汽車模塊拋負載的解決方案
- 車用連接器的安全創新應用
- Melexis Actuators Business Unit
- Position / Current Sensors - Triaxis Hall




