有源紋波補償BUCK型LED驅動電路設計
發布時間:2011-09-13
中心議題:
- 有源紋波補償BUCK電路
- 有源紋波補償的實現
- 有源紋波補償LED驅動電路仿真與分析
解決方案:
- 紋波電流檢測
- 紋波補償實現
- 輸出電流計算
傳統BUCK 電路采用LC 濾波,電路穩態工作時,輸出電壓由微小的紋波和較大的直流分量組成。當驅動LED 時,紋波電壓將引起較大的LED 紋波電流。增大濾波電容可減小LED 的紋波電流。但是,電容容量的增大,導致電源體積和重量增加,影響電源的小型化和集成化,更重要的是,電解電容成為限製LED 驅動電源壽命的主要因素。在LED 照明應用環境下,電解電容的壽命不超過10 000 h,與LED 的長壽命( 100 000 h 左右) nanyipipei。wenxianfenxilekaiguandianyuandepingjunwuguzhangshijian,zhichudianjiedianrongdexingnengzhijiejuedingledianludekekaoxing,zaishejidianyuanqudongqideshihouyinggaiyouzhenduixingdijianshaodianjiedianrongdeshiyong。dianjiedianrongdeyouxiaogongzuoshoumingzaihendachengdushangqujueyuhuanjingwenduyijitongguodengxiaochuanlianzukangdewenbodianliudaozhidewensheng。wenduguogaozhishidianjiedianrongdianjiezhizhujianhaojin,shideqixingnengxiajiang。
本文提出一種有源紋波補償BUCK 型LED 驅qu動dong電dian路lu。該gai電dian路lu無wu需xu使shi用yong大da容rong量liang電dian解jie電dian容rong,所suo需xu要yao的de小xiao容rong量liang電dian容rong可ke以yi采cai用yong能neng量liang密mi度du較jiao小xiao的de新xin型xing長chang壽shou命ming電dian容rong,利li用yong有you源yuan補bu償chang技ji術shu抑yi製zhi輸shu出chu紋wen波bo電dian流liu。由you於yu取qu消xiao電dian解jie電dian容rong的de使shi用yong,可ke以yi使shi電dian路lu壽shou命ming增zeng長chang,穩wen定ding性xing提ti高gao,便bian於yu集ji成cheng,電dian路lu易yi小xiao型xing化hua。
一、有源紋波補償BUCK 電路
電路如圖1 所示。電路結構以BUCK電路為主,取消電解電容濾波,用輔助線性電路對電感紋波電流進行補償。圖中由開關管V、電感L、LED 燈組、續流二極管VD 組成主電路; 晶體管VT 為輔助補償電路。

圖1 有源紋波補償BUCK 電路拓撲圖
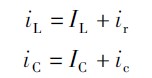
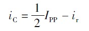
設主電路電感電流iL和晶體管VT 的集電極電流iC分別為:

式中,IL和IC分別是電感電流和的集電極電流的直流分量; ir和ic分別為它們的交流分量( 紋波電流) 。
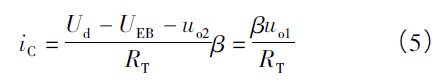
當ic = - ir時,輸出電流為:
![]()
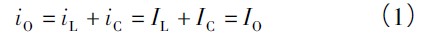
通過LED 的電流iO為恒定直流,如圖2 所示,實現了對電感紋波電流的全補償。
[page]
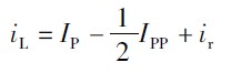
式中,Ip和IPP分別是電感電流的上峰值和電感紋波電流的峰峰值。

圖2 電感電流補償示意圖
LED 燈組為n 個大功率LED 串聯連接,UO =nUF為LED 燈組壓降; UF為單個LED 的導通壓降。
晶體管VT 的損耗為:
![]()
在保證晶體管VT 的集射電壓大於其飽和壓降( VCE≥VCES) 的條件下,調整占空比D ( 如D 取值範圍為85% ~ 95%) ,可使集射電壓足夠小。同時,控製集電極瞬時電流iC的最小值近似為零,則IC最小。因此,晶體管VT 的損耗為最小,可提高驅動電源的效率。
二、紋波補償的實現
1. 紋波電流檢測
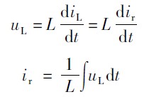
根據電感元件的電壓與電流關係:

可以通過觀測電感兩端的電壓來檢測紋波電流,如圖3 所示。圖3 中檢測電路由運算放大器A1、電阻R 及電容C 組成差分積分電路。假設各元器件均為理想元器件則:

即:


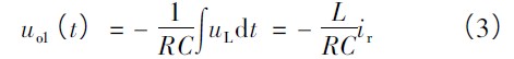
圖3 紋波電流檢測補償原理圖[page]
uo1( t) 是與電感紋波電流成正比的函數,比例係數為:

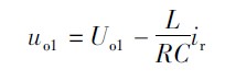
A1采用單電源供電,uo1≥0,在紋波電流為正峰值時uo1 = 0 有:

式中:

所以:

2. 紋波補償實現
由於電源電壓Ud可能因外界因素波動,所以由A2組成減法電路消除因Ud變化引起的iC變化,根據電路可知:
![]()
式中,UDZ為二極管壓降,其值等於PNP 晶體管VT 的射極E 與基極B 之間的壓降。電路選擇參數使uo1 = 0 時晶體管VT 處於微導通狀態,iC≈0,晶體管VT 的補償電流為:

將uo1代入iC:

設定比例係數為:

若選擇電路元器件參數使得k = 1,則iC = - ir,實現了電感紋波電流的全補償。
3. 輸出電流計算
當k = 1 時,晶體管T 補償電流為

電感電流為:

所以電路輸出電流為:
![]()
因此,通過LED 的電流為直流,其值為IP。
[page]
三、仿真與分析
1. 仿真參數設置
采用PSIM 軟件對所提出的紋波補償電路進行仿真實驗,根據以上分析,仿真參數設置如下表所示。

表1 仿真參數設置表
LED 采用歐司朗半導體照明公司生產的額定功率PW = 5 W 的大功率LED, 型號為LC—WW5AP,其導通壓降為3. 0 ~ 3. 6 V,典型驅動電流為1. 4 A,燈組采用三個大功率LED 串聯連接。
單個LED 仿真模型如圖4 所示,其中VD 為理想二極管,VDZ為理想單向擊穿二極管,RLED為LED等效串聯阻抗。仿真中設定單向擊穿二極管VDZ兩端電壓為: UD = 3. 0 V,設定等效串聯阻抗為: RLED = 0. 35 Ω。

圖4 大功率LED 模型圖控製電路采用傳統峰值電流控製,設定參考電壓Ur = 10. 5 V; 電壓采樣係數ku = 0. 8; 電流采樣係數為ki = 1; 誤差放大器放大倍數設為1; 時鍾頻率fs = 200 kHz; 占空比為0. 1。該電路占空比D > 0. 5,需要斜坡補償。根據斜坡補償原則:所選定斜坡上升斜率m>-m2/2,其中m2為電感電流下降斜率。選定鋸齒波幅值為0. 8 V、頻率為200 kHz。
根據以上參數設置可得到電感上峰值電流為IP = 1. 4 A,輸出電壓UO = 10. 5 V。仿真電路圖如圖5 所示。

圖5 仿真電路圖[page]
2. 仿真分析
電感電流波形如圖6 所示,根據圖6 可以看出電感電流上峰值為IP = 1. 4 A,驗證了控製電路參數設置的正確性。電感紋波電流峰峰值為IPP =0. 14 A,可得電感電流直流分量為IL = 1. 33 A。
若電路不采用紋波補償電路,則通過LED 電流為電感電流,紋波電流峰峰值為0. 14 A,使得LED發光不穩定。根據補償電流波形可以看出其上峰值為0. 14 A,所以可以得到直流分量為IC = 0. 07A。對比iL波形和iC波形可以看出ic = - ir。通過LED 的電流為iO = IL + IC = IP = 1. 4 A,為恒定直流,補償電流將電感紋波電流完全補償,驗證了結論的正確性。

圖6 完全補償波形圖
四、結束語
本文針對電解電容體積大,影響電路整體布局,不利於電路集成和小型化且其壽命難以與LED 長(chang)壽(shou)命(ming)相(xiang)匹(pi)配(pei)等(deng)問(wen)題(ti),提(ti)出(chu)采(cai)用(yong)有(you)源(yuan)補(bu)償(chang)電(dian)路(lu)對(dui)電(dian)感(gan)紋(wen)波(bo)電(dian)流(liu)進(jin)行(xing)補(bu)償(chang)的(de)方(fang)法(fa)。該(gai)電(dian)路(lu)取(qu)消(xiao)電(dian)解(jie)電(dian)容(rong)濾(lv)波(bo),采(cai)用(yong)線(xian)性(xing)晶(jing)體(ti)管(guan)補(bu)償(chang)電(dian)感(gan)紋(wen)波(bo)電(dian)流(liu),方(fang)法(fa)簡(jian)單(dan)、易於實現,而且補償效果好,輸出電流恒定。仿真結果證實了該拓撲結構的有效性。
- 噪聲中提取真值!瑞盟科技推出MSA2240電流檢測芯片賦能多元高端測量場景
- 10MHz高頻運行!氮矽科技發布集成驅動GaN芯片,助力電源能效再攀新高
- 失真度僅0.002%!力芯微推出超低內阻、超低失真4PST模擬開關
- 一“芯”雙電!聖邦微電子發布雙輸出電源芯片,簡化AFE與音頻設計
- 一機適配萬端:金升陽推出1200W可編程電源,賦能高端裝備製造
- 貿澤EIT係列新一期,探索AI如何重塑日常科技與用戶體驗
- 算力爆發遇上電源革新,大聯大世平集團攜手晶豐明源線上研討會解鎖應用落地
- 創新不止,創芯不已:第六屆ICDIA創芯展8月南京盛大啟幕!
- AI時代,為什麼存儲基礎設施的可靠性決定數據中心的經濟效益
- 矽典微ONELAB開發係列:為毫米波算法開發者打造的全棧工具鏈
- 車規與基於V2X的車輛協同主動避撞技術展望
- 數字隔離助力新能源汽車安全隔離的新挑戰
- 汽車模塊拋負載的解決方案
- 車用連接器的安全創新應用
- Melexis Actuators Business Unit
- Position / Current Sensors - Triaxis Hall



