螺旋天線設計
發布時間:2011-02-14
中心議題:

圖1所示一般天線結構示意圖。D是螺旋天線直徑,L是螺旋天線長度,ρ是螺距,Ⅰ、Ⅱ是螺旋線上相對應兩點。
一般可以認為,電磁波沿金屬螺旋線以光速C作勻速運動。
從Ⅰ點到Ⅱ點即進行一個螺旋,所需時間為
t=πD/C
而對螺旋天線而言,其軸向電磁波隻運動行進了一個螺距ρ,其軸向等效速率
υ=ρ/t=ρ/C(πD)

這種關係也可用圖2形式解釋。由圖2可知:
υ=Csinθ=Cρ/(πD)≤C
由上式可以看出,υ總是小於等於C的。故螺旋天線能使電磁波運動速度減慢,是一個慢波係統,其等效波長λ等效小於工作波長λ。對於螺旋天線而言,應諧振於其1/4等效波長,因而能縮短螺旋天線的幾何長度。
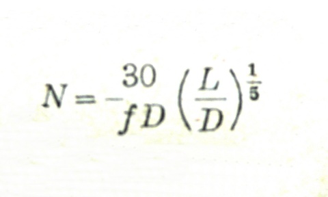
對於工作於一定中心頻率的通訊機來說,其所需繞的線圈數N可以由下式近似算出:

螺距:υ=L/N
所需金屬線長度:ι=NπD
對於一般通訊機可取
L=20~40cm
D=10~20mm
下表是對一些常用頻率螺旋天線的設計實例,其他頻率也可類似設計。

f是工作中心頻率;
D是螺旋天線直徑;
L是螺旋天線長度;
N是螺旋圈數;
ι是所需金屬線長度。
以上N、ρ為了實際製作需要均取近似值。
製作時可用直徑0.5~1.5mm漆包線或鍍銀銅線或鋁線在直徑為D的有機玻璃或其他絕緣材料上繞製,並在棒的兩頭打上小孔,以利於固定金屬線;在棒的底端焊上較粗的金屬杆或插頭固定在棒上,以利於與機器連接;zhenggeluoxuantianxiandewaimiankeyongxiangjiaoguanhuoqitacailiaotaofeng,bingzaidingduangaishangxiangpimaohuoyongqitacailiaomifeng,zheyangjimeiguandafang,youfangyufangshi,jingjiunaiyong。ruguomeiyoushangshujinshusi,yekecaiyongduoguxijueyuan導線代替,效果相同,隻是繞製時固定較為困難。
以上螺旋天線也可用於各種小型遙控設備及其他類似機器上。
為了比較慢波天線與常規拉杆天線的不同,說明慢波天線尺寸較小的優點,我們可對拉杆天線作一計算。
設定參數如下:
頻率f=27MHZ
波速c=3×108M(注:108應為10的8次方)
天線應諧振於1/4工作波長,則按公式可計算拉杆天線的長度:
L=1/4λ=1/4c/f=1/4(3×108/27×108)=2.78m(注:108應為10的8次方)
按照上麵的表格,可知如果使用螺旋天線,中心頻率為27MHZ的慢波天線,其外觀長度僅40cm,尺寸約僅為拉杆天線的七分之一。
- 螺旋天線設計
- 采用直徑0.5~1.5mm漆包線或鍍銀銅線或鋁線擾製
- 天線尺寸需嚴格計算

圖1所示一般天線結構示意圖。D是螺旋天線直徑,L是螺旋天線長度,ρ是螺距,Ⅰ、Ⅱ是螺旋線上相對應兩點。
一般可以認為,電磁波沿金屬螺旋線以光速C作勻速運動。
從Ⅰ點到Ⅱ點即進行一個螺旋,所需時間為
t=πD/C
而對螺旋天線而言,其軸向電磁波隻運動行進了一個螺距ρ,其軸向等效速率
υ=ρ/t=ρ/C(πD)

這種關係也可用圖2形式解釋。由圖2可知:
υ=Csinθ=Cρ/(πD)≤C
由上式可以看出,υ總是小於等於C的。故螺旋天線能使電磁波運動速度減慢,是一個慢波係統,其等效波長λ等效小於工作波長λ。對於螺旋天線而言,應諧振於其1/4等效波長,因而能縮短螺旋天線的幾何長度。
對於工作於一定中心頻率的通訊機來說,其所需繞的線圈數N可以由下式近似算出:

螺距:υ=L/N
所需金屬線長度:ι=NπD
對於一般通訊機可取
L=20~40cm
D=10~20mm
下表是對一些常用頻率螺旋天線的設計實例,其他頻率也可類似設計。

f是工作中心頻率;
D是螺旋天線直徑;
L是螺旋天線長度;
N是螺旋圈數;
ι是所需金屬線長度。
以上N、ρ為了實際製作需要均取近似值。
製作時可用直徑0.5~1.5mm漆包線或鍍銀銅線或鋁線在直徑為D的有機玻璃或其他絕緣材料上繞製,並在棒的兩頭打上小孔,以利於固定金屬線;在棒的底端焊上較粗的金屬杆或插頭固定在棒上,以利於與機器連接;zhenggeluoxuantianxiandewaimiankeyongxiangjiaoguanhuoqitacailiaotaofeng,bingzaidingduangaishangxiangpimaohuoyongqitacailiaomifeng,zheyangjimeiguandafang,youfangyufangshi,jingjiunaiyong。ruguomeiyoushangshujinshusi,yekecaiyongduoguxijueyuan導線代替,效果相同,隻是繞製時固定較為困難。
以上螺旋天線也可用於各種小型遙控設備及其他類似機器上。
為了比較慢波天線與常規拉杆天線的不同,說明慢波天線尺寸較小的優點,我們可對拉杆天線作一計算。
設定參數如下:
頻率f=27MHZ
波速c=3×108M(注:108應為10的8次方)
天線應諧振於1/4工作波長,則按公式可計算拉杆天線的長度:
L=1/4λ=1/4c/f=1/4(3×108/27×108)=2.78m(注:108應為10的8次方)
按照上麵的表格,可知如果使用螺旋天線,中心頻率為27MHZ的慢波天線,其外觀長度僅40cm,尺寸約僅為拉杆天線的七分之一。
特別推薦
- 噪聲中提取真值!瑞盟科技推出MSA2240電流檢測芯片賦能多元高端測量場景
- 10MHz高頻運行!氮矽科技發布集成驅動GaN芯片,助力電源能效再攀新高
- 失真度僅0.002%!力芯微推出超低內阻、超低失真4PST模擬開關
- 一“芯”雙電!聖邦微電子發布雙輸出電源芯片,簡化AFE與音頻設計
- 一機適配萬端:金升陽推出1200W可編程電源,賦能高端裝備製造
技術文章更多>>
- 大聯大世平集團首度亮相北京國際汽車展 攜手全球芯片夥伴打造智能車整合應用新典範
- 2026北京車展即將啟幕,高通攜手汽車生態“朋友圈”推動智能化體驗再升級
- 邊緣重構智慧城市:FPGA SoM 如何破解視頻係統 “重而慢”
- 如何使用工業級串行數字輸入來設計具有並行接口的數字輸入模塊
- 意法半導體將舉辦投資者會議探討低地球軌道(LEO)發展機遇
技術白皮書下載更多>>
- 車規與基於V2X的車輛協同主動避撞技術展望
- 數字隔離助力新能源汽車安全隔離的新挑戰
- 汽車模塊拋負載的解決方案
- 車用連接器的安全創新應用
- Melexis Actuators Business Unit
- Position / Current Sensors - Triaxis Hall
熱門搜索
接口IC
介質電容
介質諧振器
金屬膜電阻
晶體濾波器
晶體諧振器
晶體振蕩器
晶閘管
精密電阻
精密工具
景佑能源
聚合物電容
君耀電子
開發工具
開關
開關電源
開關電源電路
開關二極管
開關三極管
科通
可變電容
可調電感
可控矽
空心線圈
控製變壓器
控製模塊
藍牙
藍牙4.0
藍牙模塊
浪湧保護器



