開關電容梳狀濾波器幅頻特性的深入分析
發布時間:2008-11-01 來源:中電網
中心議題:
- 介紹SCF電路並用時域和頻域法分析開關電容梳狀濾波器的特性
- 經過深入分析得出相關結論
解決方案:
- 時域分析法的思路是根據電路結構建立電路的微分方程
- 開關轉換周期2T越小,α越大,梳齒間穀底越接近零,梳齒越尖銳
- 隨著電子開關切換周期2T增大,梳齒間穀底最小值增大,電路過渡為低通濾波器
最基本的開關電容電路是由電子開關和電容組成的,主要應用是構成各種低通、高通、帶通、帶阻等開關電容濾波器(Switched-Capacitor Filter,SCF)。jiangkaiguandianrongdianluyuyunsuanfangdaqijiehe,zuchengdekaiguandianrongyouyuanlvboqijuyouhenduoqitedexingzhi,danyouyuyinruledianzikaiguan,duidianlutexingjinxingyanmifenxibiandeyichangkunnan,muqianyiyoudefenxifangfadouzhishizaiyidingtiaojianxiacongyigecemianjinxingjinsifenxi,benwenlizuyuzuijibendedianlulilun,jiezhujisuanjixitongduiqijinxingfuzaeryangedefenxijisuan,zuizhongdedaolejuyoupubianyiyidejielun,shangshuwenxiandejieguozhishigaipubianxingjielundeteli。
SCF電路
開關電容有源濾波器電路如圖1(a),其中S1和S2是由周期為2T的方波信號控製的理想電子開關,方波控製信號p(t)波形如圖1(b),其占空係數為0.5。即在2kT<t<(2K+1)T期間兩開關接通A點,在(2K+1)T<t<(2K+2)T期間兩開關接通B點,其中K=0,1,2,…,是時段編號。

時域法特性分析
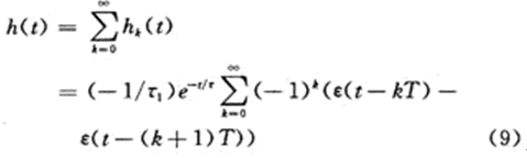
時域分析法的思路是根據圖1的電路結構建立電路的微分方程(以輸出電壓為研究對象)。轉換周期為2T的電子開關的方波控製信號可表示為周期為2T的周期信號p(t)與單位階躍信號ε(t)的乘積:

式中:k=0,1,2,…。fT=1/(2T)為開關頻率,電路在k時段的時域響應(輸出電壓)表示為hk(t),並設:
(1)電容C在t=0_時刻電壓為零(0_,kT_等帶下劃線符號表示相應時刻的前瞬,下同),即:

(2)因為狄拉克δ函數激勵下的零狀態響應h(t)的傅裏葉變換即為電路的頻率響應函數,即係統(頻譜)函數H(Ω),故設電路輸入信號(激勵)為δ函數,即:

由於電子開關周期性切換,RC電路對外電路的影響表現為:下一時段的輸出電壓初值是上一時段末時刻輸出電壓值乘(-1),即:

圖1(a)中理想運放反相端為虛地,第0時段(即k=0,0≤t<T)電路響應h0(t)的微分方程為

由式(8)可見,第k段的非零值時區為(kT,(k+1)T_),即各時段非零值區間互不重疊,對hk(t)關於k求和,得開關電容電路(對外)的單位衝激零狀態響應h(t)為:

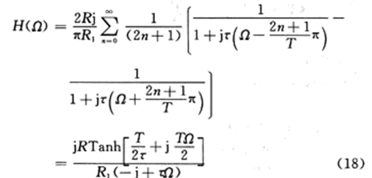
特別注意,求和式是一周期為2T的周期方波p(t)與單位階躍信號ε(t)的乘積,對上式取Fourier積分變換即得到開關電容電路係統頻譜函數(用j表示虛數單位,下同):

也可以根據式(1)定義的周期為2T的開關方波信號p(t),將式(9)改寫為:

易證式(13)與式(10)完全一致,故其幅頻特性∣H(Ω)∣仍與式(11)相同。
頻域法特性分析
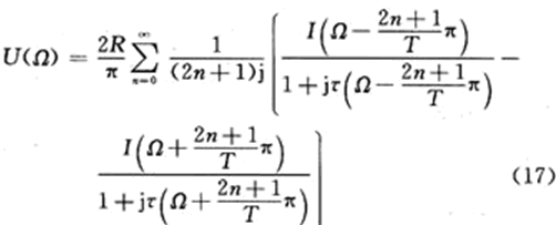
開關周期切換,形成的RC並聯支路對外電路的等效電流ie(t)為:

上式說明,Ie(Ω)是輸入電流頻譜I(Ω)周期延拓的組合,周期為Ω0=2π/T。各電流分量流過RC並聯支路時的電壓為相應電流分量與RC支路阻抗(R/(1+jωτ),ω=Ω±(2n+1)π/T)的乘積,於是輸出電壓頻譜U(Ω)為:

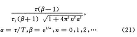
為求係統頻譜函數,取i(t)=-ui(t)/R1=-δ(t)/R1,I(Ω)=-1/R1,得到係統頻譜函數:

其中R/R1=τ/τ1,結果與式(14)一致,幅頻特性∣H(Ω)∣仍與式(11)相同。
結 語
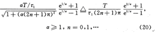
給定圖1(a)電路參數τ和τ1,選擇α=τ/T分別取不同值時,根據式(11)做出的歸一化幅頻特性曲線如圖2所示,結合對式(11)做深入分析表明:

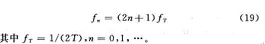
(1)α=τ/T較大時電路是梳齒幅度按奇數倒數規律衰減的梳狀濾波器,通帶中心頻率(梳齒)為:

此時圖1(a)電路允許f=fT,f=3fT,f=5fT,…等頻率成份通過,且隨著頻率的升高,輸出幅度按奇數倒數規律逐漸減小。

(2)α=τ/T較大時,f=(2n)fT(其中n=0,1,2,…)是係統的阻帶中心頻率,落在這些頻點上的信號將獲得最小傳輸係數,最小傳輸係數(即梳狀濾波器幅頻曲線穀底高度)為:

(3)該梳狀濾波器梳齒間隔(即阻帶中心頻率或通帶中心頻率間隔)為△f=2fT。
比較圖2可看出:開關轉換周期2T(相對於電路時間常數τ)越小,α越大,梳齒間穀底越接近零,梳齒越尖銳(即梳齒帶寬越窄)。例如,計算發現:圖2(a)中,α=τ/T=10,第一梳齒通帶寬度為B0.7=0.394fT。圖2(b)中,α=τ/T=2,第一梳齒通帶寬度為B0.7=2.33fT。
(4)隨著電子開關切換周期2T增大(α減小),梳齒間穀底最小值逐漸增大。電路逐漸過渡為幅頻特性曲線輕微起伏的低通濾波器,如圖2(d)所示。低通濾波器傳輸函數極大值為:

由∣H(Ω)∣=0.707∣H(Ω)∣max可以求得低通濾波器上限截止頻率,結果表明,對於低通濾波器.仍為α越大,低通濾波器上限頻率(即帶寬)越小。
- 噪聲中提取真值!瑞盟科技推出MSA2240電流檢測芯片賦能多元高端測量場景
- 10MHz高頻運行!氮矽科技發布集成驅動GaN芯片,助力電源能效再攀新高
- 失真度僅0.002%!力芯微推出超低內阻、超低失真4PST模擬開關
- 一“芯”雙電!聖邦微電子發布雙輸出電源芯片,簡化AFE與音頻設計
- 一機適配萬端:金升陽推出1200W可編程電源,賦能高端裝備製造
- 貿澤EIT係列新一期,探索AI如何重塑日常科技與用戶體驗
- 算力爆發遇上電源革新,大聯大世平集團攜手晶豐明源線上研討會解鎖應用落地
- 創新不止,創芯不已:第六屆ICDIA創芯展8月南京盛大啟幕!
- AI時代,為什麼存儲基礎設施的可靠性決定數據中心的經濟效益
- 矽典微ONELAB開發係列:為毫米波算法開發者打造的全棧工具鏈
- 車規與基於V2X的車輛協同主動避撞技術展望
- 數字隔離助力新能源汽車安全隔離的新挑戰
- 汽車模塊拋負載的解決方案
- 車用連接器的安全創新應用
- Melexis Actuators Business Unit
- Position / Current Sensors - Triaxis Hall



