電壓不足期間支持電信電源的小電容
發布時間:2008-09-29 來源:SamuelKerem
中心論題:
- 在短暫電壓不足期間使電信設備保持正常工作。
- 當-48V源降至0V並持續10ms時會出現電壓不足。
- 小電容在電壓不足期間支持電信電源的介紹。
- 連續“磚塊”輸入端的電容存儲裝置解決電壓不足。
- 小電容的引入提高了可靠性並降低了成本和尺寸。
- 隔離的“磚塊”電源對極性沒有影響。
本ben設she計ji實shi例li介jie紹shao如ru何he在zai短duan暫zan電dian壓ya不bu足zu期qi間jian使shi電dian信xin設she備bei保bao持chi正zheng常chang工gong作zuo。首shou先xian必bi須xu了le解jie電dian信xin設she備bei專zhuan用yong電dian源yuan的de幾ji個ge細xi節jie。向xiang電dian信xin設she備bei饋kui電dian的de電dian源yuan的de共gong模mo電dian壓ya為wei-48V,盡管實際電壓範圍可能是-42.5V ~ -56V、-40V ~ -60V,甚至超出這些範圍。公共電源——“磚塊”DC/DC轉換器工作於-36V ~ -75V範圍。當-48V源降至0V並持續10ms時,就會出現電壓不足。
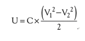
利用連至“磚塊”輸入端的電容存儲裝置,是一條克服此問題的路徑,但當人們了解-48V電源的真實情況時,一個缺點就變得很明顯了。例如,充電達到預定電壓的電容中的能量為(C×V2)/2,其中C為電容值,V為電壓。當電容放電至36V時,“磚塊”停止工作。一般而言,可用於支持“磚塊”工作的能量為:

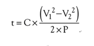
其中V1和V2分別為最初和最終的電壓,U為能量。另外,U=P×t,其中P為功率,t為時間。利用這些等式,可以求出設備保持正常工作的時間:

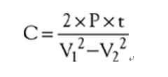
或者定義電容的值:

假設當“磚塊”輸入端的電壓為 -39V時出現電壓不足,這種情況發生在-48V降至-40V,但“磚塊”由於熱插拔構造中的保護性“或”二極管的緣故損失至少1V。另外,假設存儲電容充電至-39V。在存儲電容放電至-36V之前,設備一直正常工作。假設設備功耗為100W。為了存儲足夠能量供5ms使用,電容的值必須約為4500mF。電容的額定值必須適應最大可能輸入電壓,它可能超過75V,因此最小額定值必須為100V。4500mF100V電容是一個相當大的元件。如果設計方案在300W功耗時需要兩倍工作時間,則電容的值必須為27000mF和100V。

本設計實例仍需要一個電容,但該電容的值要低,是200mF而非4500mF,並在5ms電壓不足期間保持100W。該方法提高了可靠性並降低了成本和尺寸。一個隱藏的特性是電源磚能在-36V~-75V輸入範圍內保持工作,甚至在大於-80V的浪湧下也能工作。圖1描繪了如何利用該特性。該圖描繪了正輸入電壓。“磚塊”電源是隔離的,因此極性沒關係,但更容易描繪正值解釋。
應記住,電容存儲的能量以指數增加,而電容的電壓線性增加。倍增器把C1充電至兩倍輸入電壓或至少為80V。即便假定每10s出現一次5ms電壓不足,用於充電200mF的電流仍僅約為3mA。比較器觀察輸入電壓,並且一旦它降至低於37V,開關S1就會關閉,而來自C1的能量向“磚塊”電源放電。
- 噪聲中提取真值!瑞盟科技推出MSA2240電流檢測芯片賦能多元高端測量場景
- 10MHz高頻運行!氮矽科技發布集成驅動GaN芯片,助力電源能效再攀新高
- 失真度僅0.002%!力芯微推出超低內阻、超低失真4PST模擬開關
- 一“芯”雙電!聖邦微電子發布雙輸出電源芯片,簡化AFE與音頻設計
- 一機適配萬端:金升陽推出1200W可編程電源,賦能高端裝備製造
- 貿澤EIT係列新一期,探索AI如何重塑日常科技與用戶體驗
- 算力爆發遇上電源革新,大聯大世平集團攜手晶豐明源線上研討會解鎖應用落地
- 創新不止,創芯不已:第六屆ICDIA創芯展8月南京盛大啟幕!
- AI時代,為什麼存儲基礎設施的可靠性決定數據中心的經濟效益
- 矽典微ONELAB開發係列:為毫米波算法開發者打造的全棧工具鏈
- 車規與基於V2X的車輛協同主動避撞技術展望
- 數字隔離助力新能源汽車安全隔離的新挑戰
- 汽車模塊拋負載的解決方案
- 車用連接器的安全創新應用
- Melexis Actuators Business Unit
- Position / Current Sensors - Triaxis Hall




