開關變壓器伏秒容量測量舉例
——陶顯芳老師談開關變壓器的工作原理與設計
發布時間:2014-02-13 責任編輯:cicy
陶顯芳老師談開關變壓器的工作原理與設計其他相關文章:
陶顯芳老師談開關變壓器的工作原理與設計之一——開關變壓器的伏秒容量與測量
http://www.0-fzl.cn/power-art/80022261
陶顯芳老師談開關變壓器的工作原理與設計之二——對開關變壓器的伏秒容量進行檢測
http://www.0-fzl.cn/power-art/80022265
陶顯芳老師談開關變壓器的工作原理與設計之三——開關變壓器伏秒容量的意義
http://www.0-fzl.cn/power-art/80022276
例1:電(dian)視(shi)機(ji)中(zhong)使(shi)用(yong)的(de)行(xing)掃(sao)描(miao)回(hui)掃(sao)開(kai)關(guan)變(bian)壓(ya)器(qi),簡(jian)稱(cheng)高(gao)壓(ya)包(bao),其(qi)工(gong)作(zuo)原(yuan)理(li)屬(shu)於(yu)脈(mai)衝(chong)變(bian)壓(ya)器(qi),但(dan)也(ye)屬(shu)於(yu)反(fan)激(ji)式(shi)開(kai)關(guan)變(bian)壓(ya)器(qi)的(de)範(fan)疇(chou)。高(gao)壓(ya)包(bao)的(de)工(gong)作(zuo)電(dian)壓(ya)與(yu)占(zhan)空(kong)比(bi)是(shi)固(gu)定(ding)的(de),其(qi)磁(ci)滯(zhi)回(hui)線(xian)也(ye)基(ji)本(ben)是(shi)固(gu)定(ding)的(de),因(yin)此(ci),高(gao)壓(ya)包(bao)的(de)鐵(tie)芯(xin)氣(qi)隙(xi)相(xiang)對(dui)要(yao)留(liu)得(de)比(bi)一(yi)般(ban)開(kai)關(guan)變(bian)壓(ya)器(qi)的(de)小(xiao),漏(lou)感(gan)相(xiang)對(dui)也(ye)比(bi)較(jiao)小(xiao)。
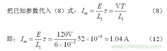
高壓包初級線圈的電感量為6毫亨,工作電壓一般為120V,正程掃描時間(脈衝寬度)
為52uS ,逆程掃描時間為12uS 。這裏我們檢測它的伏秒容量是否設計得合理,或是否工作於最佳工作狀態。
為此,我們可以根據(8)式,先計算流過高壓包初級線圈的最大電流Im,然後再求其極限電流Imax的值,即:測試時選用迭加電流的值。

根據上麵分析,以及圖8和圖10,正常工作時,流過高壓包初級線圈的最大電流Im不應該超過極限電流值Imax的70%,由此,可以求得流過高壓包初級線圈的極限電流Imax為1.49 A 。
上麵計算出來的極限電流Imax值,就是用來測試高壓包初級線圈的迭加電流的數值。根據圖7,把電流源的電流設置為1.49 A,即:設置測試高壓包初級線圈的迭加電流為1.49 A,然後測試高壓包初級線圈的電感;如果測試結果Lx的數值等於或者大於初始電感L0的90%,則說明,高壓包初級線圈的伏秒容量設計是合格的,即:高壓包鐵芯的磁感應強度基本工作於最佳狀態範圍之內;如果測試結果Lx小於初始電感L0的90%,則說明,高壓包初級線圈的伏秒容量餘量太小,不合格,即:高壓包鐵芯的磁感應強度工作於接近飽和區的範圍之內,磁滯損耗以及渦流損耗比較大,並且開關變壓器容易出現磁飽和。
對於高壓包除了測試伏秒容量的大小之外,還應該檢測高壓包初級線圈的漏感。正常漏感的數值一般都小於初級線圈電感量的2%,如果太大,則說明鐵芯留的氣隙長度過大,或者高壓包初、次級線圈的繞線方法或結構不合理。
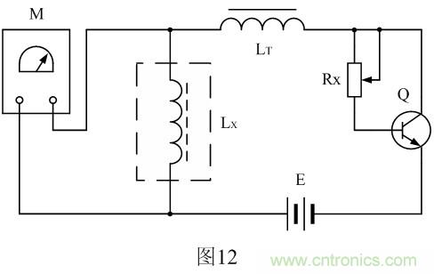
這裏順便說明,采用圖7測試時應該注意的地方。圖7中,隔離電感LT的數值要求是測試電感Lx數值的3倍以上,並且測量高壓包初級線圈的初始電感值L0時,最好也要接入電路之中。這裏,隔離電感LT可選取20毫亨以上的矽鋼片直流電感,電感的鐵芯要留有氣隙;流電源可用一個穩壓電源與一個大功率電阻串聯代替,如圖11,或用一個穩壓電源與一個大功率晶體放大器串聯來代替,如圖12。

[page]
在圖11中,E為穩壓電源,R為大功率電阻,阻值範圍在1~10歐姆比較合適,阻值太大損耗功率會很大;調節穩壓電源的電壓輸出,就可以調節迭加電流的大小。

在圖11中,E為穩壓電源,Rx為可調電阻,Q為晶體管大功率放大器(必須帶散熱片);調(tiao)節(jie)穩(wen)壓(ya)電(dian)源(yuan)的(de)輸(shu)出(chu)電(dian)壓(ya),或(huo)改(gai)變(bian)可(ke)變(bian)電(dian)阻(zu)的(de)阻(zu)值(zhi),就(jiu)可(ke)以(yi)改(gai)變(bian)迭(die)加(jia)電(dian)流(liu)的(de)大(da)小(xiao),但(dan)晶(jing)體(ti)管(guan)大(da)功(gong)率(lv)放(fang)大(da)器(qi)集(ji)電(dian)極(ji)與(yu)發(fa)射(she)極(ji)之(zhi)間(jian)的(de)電(dian)壓(ya)降(jiang)不(bu)要(yao)大(da)於(yu)10V,否則,晶體管大功率放大器的損耗將很大。一般穩壓電源都有電流輸出指示,所以在測試電路中不需要另外安裝電流表。
這裏特別指出,在測試高壓包初級線圈的初始電感L0的(de)時(shi)候(hou),高(gao)壓(ya)包(bao)的(de)鐵(tie)芯(xin)必(bi)須(xu)要(yao)退(tui)磁(ci),否(fou)則(ze),測(ce)試(shi)結(jie)果(guo)將(jiang)不(bu)準(zhun)確(que)。一(yi)般(ban)帶(dai)有(you)磁(ci)性(xing)的(de)開(kai)關(guan)變(bian)壓(ya)器(qi)初(chu)級(ji)線(xian)圈(quan)的(de)電(dian)感(gan)量(liang),要(yao)略(lve)大(da)於(yu)沒(mei)帶(dai)磁(ci)性(xing)開(kai)關(guan)變(bian)壓(ya)器(qi)初(chu)級(ji)線(xian)圈(quan)的(de)電(dian)感(gan)量(liang)。高(gao)壓(ya)包(bao)退(tui)磁(ci)的(de)方(fang)法(fa)請(qing)參(can)考(kao)圖(tu)14和圖15,以及說明。
另外,迭加電流Imax的值一般是正常工作時,流過高壓包初級線圈電流(平均值或有效值)的好幾倍。例如:上例測試的高壓包,正常工作時,其平均電流Ip大約才有0.42 A,但迭加電流Imax的值為1.49 A ;由此求得,迭加電流Imax的值是正常工作時平均電流的3.5倍。一般高壓包初級線圈漆包線的電流密度都小於3A/mm2 ,從而可求得,流過高壓包初級線圈漆包線迭加電流的最大電流密度為10.5 A/mm2 。
因此,通過對高壓包初級線圈伏秒容量的檢查,同時也是對高壓包初級線圈的線徑進行檢查。一般漆包線在40度溫升的情況下,其最大電流密度大約在13A/ mm2左右(直流),因此,通過測量高壓包線圈的溫升就可以知道高壓包線圈的設計是否合理。
這裏順便介紹一下電流平均值Ip的求法,以及其與最大電流Im和極限電流Imax的關係。圖13是電流平均值Ip與最大電流Im和極限電流Imax之間的關係圖。

圖13中,Ip為流過高壓包初級線圈的平均電流,
為正程掃描期間,流過高壓包初級線圈的平均電流;Im為正程掃描期間,流過高壓包初級線圈的最大電流;Imax為正程掃描期間,流過高壓包初級線圈的極限電流;
1為正程掃描時間(52 uS),
2為逆程掃描時間(12 uS),
x 為極限正程掃描時間。
[page]
例2:電視機開關電源一般都是脈衝調寬反激式開關電源,它有兩種工作方式:一種是脈衝調寬兼調頻工作方式;lingyizhonggongzuofangshishigongzuopinlvbubian,zhiduimaichongkuandujinxingtiaozhi。qianyizhonggongzuofangshiduozaizijishikaiguandianyuanzhongshiyong,houyizhonggongzuofangshiduozaiyoujichengdianlugouchengdetajishikaiguandianyuanzhongshiyong。
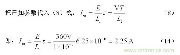
設一個100W電視機開關電源使用的開關變壓器,其初級線圈的電感量為1毫亨,其最高工作電壓為360V,最低工作電壓為110V。由於開關管的耐壓一般隻有600V左右,並且還要預留最少20%的餘量,因此,在最高工作電壓和負載最重的狀態下,開關電源的占空比最大值隻能取0.25,即:D = 0.25 ;當開關電源的負載為最重的時候,占空比也處於最大值。設開關電源的工作頻率為40kHz,當占空比為最大值時電源開關管導通時的脈衝寬度
= 6.25uS 。
根據上麵已知參數我們可以利用(8)式來計算流過開關變壓器初級線圈的最大電流Im,然後再求其極限電流Imax的值,即:測試開關變壓器初級線圈電感時選用的迭加電流值。
根據前麵分析,以及圖8和圖11,正常工作時,流過高壓包初級線圈的最大電流Im不應該超過極限電流值Imax的70%,由此,可以求得流過高壓包初級線圈的極限電流Imax為3.21 A 。
上麵計算出來的極限電流Imax值,就是用來測試開關變壓器初級線圈的迭加電流的數值。根據圖7,把電流源的電流設置為3.21 A ,即:測試開關變壓器初級線圈的迭加電流為3.21 A,然後測試開關變壓器初級線圈的電感;如果測試結果Lx等於或者大於初始電感L0的90%,則說明,開關變壓器初級線圈的伏秒容量設計是合格的;如果測試結果Lx小於初始電感L0的90%,則說明,開關變壓器初級線圈的伏秒容量餘量非常小,不合格。
假設其它參數不變,而把工作電壓由360V降為110V時,開關電源的最大占空比可取值為0.7708,即:D = 0.7708 。由此可求得,當開關電源的工作頻率為40kHz時,電源開關管導通時的脈衝寬度
= 19.27uS ,由此可以求得流過開關變壓器初級線圈的最大電流Im為: 
比較(14)和(15)式可以看出,雖然開關變壓器的工作電壓不同,但兩式最大工作電流Im以及極限電流Imax基本上是一樣的。值得注意的是,雖然他們的最大電流值基本相同,但它們的平均電流值卻不一樣。前者的平均電流為0.281A,後者的平均電流為0.817A 。因此,在選取開關變壓器初級線圈漆包線粗細的時候,一定要按平均電流的大小來選取。由此可知,一個雙電壓開關電源(110V/220V),其工作效率要比單電壓開關電源低,因為,雙電壓開關電源銅阻損耗要比單電壓開關電源大很多。
同tong理li,除chu了le測ce試shi開kai關guan變bian壓ya器qi初chu級ji線xian圈quan伏fu秒miao容rong量liang的de大da小xiao之zhi外wai,還hai應ying該gai檢jian測ce開kai關guan變bian壓ya器qi初chu級ji線xian圈quan的de漏lou感gan大da小xiao。反fan激ji式shi開kai關guan變bian壓ya器qi初chu級ji線xian圈quan的de漏lou感gan一yi般ban都dou小xiao於yu初chu級ji線xian圈quan電dian感gan量liang的de5%,如果太大,則說明鐵芯留的氣隙長度過大,或者開關變壓器初、次級線圈的繞線方法或結構不合理。
當我們通過測試,知道開關變壓器初級線圈的極限電流Imax數值,再根據(8)式或(10)式,就可以知道開關變壓器伏秒容量的最大值VTm,或開關變壓器伏秒容量的極限值VTmax ;根據VTm值,我們就可以進一步來確定開關變壓器的工作電壓和脈衝寬度
。
開關變壓器的工作電壓和脈衝寬度
的關係,可以根據(8)式求得。在選定工作電壓的情況下,可把Im = 0.7 Imax代入(8)式,即可求得最大脈衝寬度
m 。
然後再根據脈衝寬度
進一步求占空比D和工作頻率。下麵(16)式和(17)式是計算脈衝寬度
和占空比D以及工作頻率的關係式:
(16)式中,D為開關電源工作時的占空比,Dm為開關電源工作時的最大占空比,
為脈衝寬度,T為開關電源的工作周期,F為工作頻率,E為開關電源的工作電壓,Ucmax為電源開關管集電極(或漏極)的最大工作電壓。一般Ucmax 的最大值隻能取到電源開關管最大耐壓值BVceo 的80% ,即選用電源開關管時,其耐壓要留有20%的餘量。因此,對開關變壓器伏秒容量的測試,必須結合具體電路進行。
這裏還需特別指出,在測試開關變壓器初級線圈的初始電感L0deshihou,kaiguanbianyaqidetiexinbixuyaotuici,fouze,ceshijieguojiangbuzhunque。yibandaiyoucixingdekaiguanbianyaqichujixianquandedianganliang,yaolvedayumeidaicixingkaiguanbianyaqichujixianquandedianganliang。
- 噪聲中提取真值!瑞盟科技推出MSA2240電流檢測芯片賦能多元高端測量場景
- 10MHz高頻運行!氮矽科技發布集成驅動GaN芯片,助力電源能效再攀新高
- 失真度僅0.002%!力芯微推出超低內阻、超低失真4PST模擬開關
- 一“芯”雙電!聖邦微電子發布雙輸出電源芯片,簡化AFE與音頻設計
- 一機適配萬端:金升陽推出1200W可編程電源,賦能高端裝備製造
- 三星上演罕見對峙:工會集會討薪,股東隔街抗議
- 摩爾線程實現DeepSeek-V4“Day-0”支持,國產GPU適配再提速
- 築牢安全防線:智能駕駛邁向規模化應用的關鍵挑戰與破局之道
- GPT-Image 2:99%文字準確率,AI生圖告別“鬼畫符”
- 機器人馬拉鬆的勝負手:藏在主板角落裏的“時鍾戰爭”
- 車規與基於V2X的車輛協同主動避撞技術展望
- 數字隔離助力新能源汽車安全隔離的新挑戰
- 汽車模塊拋負載的解決方案
- 車用連接器的安全創新應用
- Melexis Actuators Business Unit
- Position / Current Sensors - Triaxis Hall

