開關變壓器的伏秒容量與測量
——陶顯芳老師談開關變壓器的工作原理與設計
發布時間:2014-02-08 來源:陶顯芳老師 責任編輯:cicy
通過對開關變壓器伏秒容量的測量,可以知道開關變壓器的鐵芯是否正好工作於最佳磁感應強度的位置上;以及占空比,或者工作頻率,是否取得合理;同時還可以檢查開關變壓器鐵芯氣隙長度取得是否合適。
長期以來,人們在設計或使用開關變壓器的時候,一般隻關心開關變壓器的輸入、輸出電壓、電(dian)流(liu)的(de)大(da)小(xiao),以(yi)及(ji)電(dian)感(gan)量(liang)等(deng)參(can)數(shu),而(er)很(hen)少(shao)關(guan)心(xin)開(kai)關(guan)變(bian)壓(ya)器(qi)的(de)伏(fu)秒(miao)容(rong)量(liang)。其(qi)實(shi),開(kai)關(guan)變(bian)壓(ya)器(qi)的(de)伏(fu)秒(miao)容(rong)量(liang)也(ye)是(shi)一(yi)個(ge)非(fei)常(chang)重(zhong)要(yao)的(de)參(can)數(shu),不(bu)過(guo),目(mu)前(qian)很(hen)多(duo)人(ren)並(bing)不(bu)十(shi)分(fen)清(qing)楚(chu)伏(fu)秒(miao)容(rong)量(liang)到(dao)底(di)是(shi)個(ge)什(shen)麼(me)東(dong)西(xi),或(huo)者(zhe)怎(zen)樣(yang)對(dui)伏(fu)秒(miao)容(rong)量(liang)進(jin)行(xing)測(ce)試(shi),以(yi)及(ji)怎(zen)樣(yang)使(shi)用(yong)伏(fu)秒(miao)容(rong)量(liang)這(zhe)個(ge)參(can)數(shu)。
因此,這裏將詳細介紹什麼是開關變壓器的伏秒容量,然後再分析怎樣對開關變壓器的伏秒容量進行測量及應用。
什麼是開關變壓器的伏秒容量
圖1是shi反fan激ji式shi開kai關guan電dian源yuan的de工gong作zuo原yuan理li圖tu,所suo謂wei反fan激ji式shi開kai關guan變bian壓ya器qi輸shu出chu電dian源yuan,就jiu是shi當dang開kai關guan變bian壓ya器qi的de初chu級ji線xian圈quan正zheng好hao被bei直zhi流liu脈mai衝chong電dian壓ya激ji勵li時shi,開kai關guan變bian壓ya器qi的de次ci級ji線xian圈quan沒mei有you向xiang負fu載zai提ti供gong能neng量liang輸shu出chu,僅jin在zai開kai關guan變bian壓ya器qi初chu級ji線xian圈quan的de激ji勵li電dian壓ya消xiao失shi之zhi後hou,開kai關guan變bian壓ya器qi鐵tie芯xin中zhong存cun儲chu的de磁ci能neng量liang才cai通tong過guo次ci級ji線xian圈quan轉zhuan化hua成cheng反fan電dian動dong勢shi向xiang負fu載zai提ti供gong功gong率lv輸shu出chu,這zhe種zhong開kai關guan電dian源yuan稱cheng為wei反fan激ji式shi開kai關guan電dian源yuan。
在圖1中,當輸入電壓E加於開關變壓器初級線圈N1的(de)兩(liang)端(duan)時(shi),由(you)於(yu)開(kai)關(guan)變(bian)壓(ya)器(qi)次(ci)級(ji)線(xian)圈(quan)產(chan)生(sheng)的(de)電(dian)動(dong)勢(shi)與(yu)流(liu)過(guo)二(er)極(ji)管(guan)的(de)電(dian)流(liu)方(fang)向(xiang)正(zheng)好(hao)相(xiang)反(fan),相(xiang)當(dang)於(yu)所(suo)有(you)次(ci)級(ji)線(xian)圈(quan)均(jun)開(kai)路(lu),此(ci)時(shi)開(kai)關(guan)變(bian)壓(ya)器(qi)相(xiang)當(dang)於(yu)一(yi)個(ge)電(dian)感(gan)L1。其等效電路如圖2-a) 所示,圖2-b) 是開關接通時,電感兩端的電壓和流過電感L1的電流。


[page]
從圖2可以看出,流過開關變壓器的電流隻有勵磁電流,即:開kai關guan變bian壓ya器qi鐵tie心xin中zhong的de磁ci通tong量liang全quan部bu都dou是shi由you勵li磁ci電dian流liu產chan生sheng的de。如ru果guo開kai關guan變bian壓ya器qi初chu級ji線xian圈quan的de電dian感gan量liang是shi恒heng定ding的de,或huo開kai關guan變bian壓ya器qi鐵tie芯xin的de導dao磁ci率lv永yong遠yuan保bao持chi不bu變bian;那na麼me,當dang控kong製zhi開kai關guan接jie通tong以yi後hou,流liu過guo開kai關guan變bian壓ya器qi初chu級ji線xian圈quan的de勵li磁ci電dian流liu就jiu會hui隨sui時shi間jian增zeng加jia而er線xian性xing增zeng加jia,開kai關guan變bian壓ya器qi鐵tie心xin中zhong的de磁ci通tong量liang也ye隨sui時shi間jian增zeng加jia而er線xian性xing增zeng加jia。根gen據ju電dian磁ci感gan應ying定ding理li:
—— K接通期間 (1)
式中e1為開關變壓器初級線圈產生的電動勢,L1為開關變壓器初級線圈的電感量, 為開關變壓器鐵心中的磁通量,E為開關變壓器初級線圈兩端的輸入電壓。其中磁通量 還可以表示為:
(2)
上式中,k是一個與單位製相關的係數,S為開關變壓器鐵心的導磁麵積,B為磁感應強度,也稱磁感應強度,即:單位麵積的磁通量。
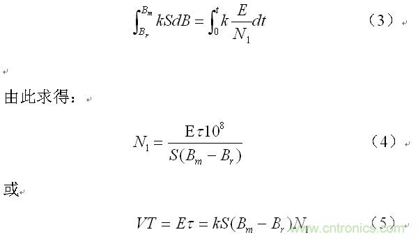
把(2)式代入(1)式,並進行積分:

(4)式就是計算開關變壓器初級線圈N1繞組匝數的公式。式中,N1為開關變壓器初級線圈N1繞組的最少匝數,S為開關變壓器鐵心的導磁麵積,單位:平方厘米;Bm為開關變壓器鐵心的最大磁感應強度,單位:高斯;Br為開關變壓器鐵心的剩餘磁感應強度,單位:高斯),Br一般簡稱剩磁;τ = Ton,為控製開關的接通時間,簡稱脈衝寬度,或電源開關管導通時間的寬度,單位:秒;E為工作電壓,單位為伏。式中的指數(k = 108)是統一單位用的,選用不同單位製,指數的值也不一樣,這裏選用CGS單位製,即:長度為厘米(cm),磁感應強度為高斯(Gs),磁通單位為麥克斯韋(Mx)。
(5)式中, 就是開關變壓器的伏秒容量,即:伏秒容量等於輸入脈衝電壓幅度與脈衝寬度的乘積,這裏我們把伏秒容量用VT來表示。
伏秒容量VT表示:一個開關變壓器能夠承受多高的輸入電壓和多長時間的衝擊。
在(zai)開(kai)關(guan)變(bian)壓(ya)器(qi)伏(fu)秒(miao)容(rong)量(liang)一(yi)定(ding)的(de)條(tiao)件(jian)下(xia),輸(shu)入(ru)電(dian)壓(ya)越(yue)高(gao),開(kai)關(guan)變(bian)壓(ya)器(qi)能(neng)夠(gou)承(cheng)受(shou)衝(chong)擊(ji)的(de)時(shi)間(jian)就(jiu)越(yue)短(duan),反(fan)之(zhi),輸(shu)入(ru)電(dian)壓(ya)越(yue)低(di),開(kai)關(guan)變(bian)壓(ya)器(qi)能(neng)夠(gou)承(cheng)受(shou)衝(chong)擊(ji)的(de)時(shi)間(jian)就(jiu)越(yue)長(chang);而在一定的工作電壓條件下,開關變壓器的伏秒容量越大,開關變壓器的鐵芯中的磁感應強度就越低,開關變壓器鐵芯就不容易飽和。
當開關變壓器的鐵芯麵積固定以後,開關變壓器的伏秒容量主要就是由磁通增量 (
)的大小以及開關變壓器初級線圈的匝數N1來決定。
另外,我們知道,磁感應強度是由磁場強度來決定的,即磁通增量,也是由磁場強度來決定的。如圖3所示。
圖3中,虛線Bweikaiguanbianyaqitiexindechushicihuaquxian,suoweidechushicihuaquxianjiushikaiguanbianyaqitiexinhaimeiyoudaici,diyicishiyongshidecihuaquxian,yidankaiguanbianyaqitiexindaishangcihou,chushicihuaquxianjiubufucunzaile。yinci,zaikaiguanbianyaqizhong,kaiguanbianyaqitiexindecihuayibandoubushianchushicihuaquxianlaijinxinggongzuode,ershianzhaoyitiaosuoweide“磁滯回線”進行的。
例如,當磁場強度增加時,磁感應強度將沿著磁化曲線ab或cd跟隨磁場強度的增加而增加;而當磁場強度減小時,磁感應強度將沿著另一條磁化曲線ba或dc跟隨磁場強度的減小而減小。因此,我們把磁化曲線ab、ba或cd、dc稱為磁滯回線。至於磁滯回線是沿著ab、ba進行,還是沿著另一條磁滯回線cd、dc進行,主要取決於磁場強度的變化幅度。
當磁場強度增加時,相當於磁場強度對開關變壓器鐵芯進行充磁;當(dang)磁(ci)場(chang)強(qiang)度(du)減(jian)少(shao)時(shi),相(xiang)當(dang)於(yu)磁(ci)場(chang)強(qiang)度(du)對(dui)開(kai)關(guan)變(bian)壓(ya)器(qi)鐵(tie)芯(xin)進(jin)行(xing)退(tui)磁(ci)。磁(ci)場(chang)強(qiang)度(du)變(bian)化(hua)幅(fu)度(du)越(yue)大(da),對(dui)應(ying)的(de)磁(ci)感(gan)應(ying)強(qiang)度(du)增(zeng)量(liang)也(ye)增(zeng)加(jia),與(yu)此(ci)同(tong)時(shi)剩(sheng)磁(ci)也(ye)會(hui)增(zeng)加(jia)。
[page]
磁場強度由0增加到H1,對應的磁感應強度由Br1沿著磁化曲線ab增加到Bm1;而當磁場強度由H1下降到0時,對應的磁感應強度將由Bm1沿著磁化曲線ba下降到Br1 。如果不考慮磁通的方向,磁通的變化增量就是,即磁通增量
。如果磁場強度進一步增大,由0增加到H2,則磁滯回線將沿著曲線cd、dc進行,對應產生的磁通增量
。

由圖3中可以看出,對應不同的磁場強度變化量,即不同的勵磁電流變化量,磁感應強度變化量或磁通變化量也是不一樣的;因為,磁感應強度變化量或磁通變化量與磁場強度變化量並不是線性關係。
圖4是磁感應強度與磁場強度對應變化的函數曲線圖。圖4中,曲線B是磁感應強度與磁場強度對應變化的曲線;曲線 為導磁率與磁場強度對應變化的曲線。其中:
(6)
由圖4zhongkeyikanchu,yudaocilvzuidadedifangduiyingdebingbushiciganyingqiangduhuocichangqiangduzuixiaohuozuidadedifang,ershiweiyuciganyingqiangduhuocichangqiangdubianquxianmougezhongjianzhidedifang。dangdaocilvdadaozuidazhizhihou,daocilvjiangsuizheciganyingqiangduhuocichangqiangduzengda,erxunsuxiajiang;當導磁率下降到將要接近0的時候,我們就認為開關變壓器鐵芯已經開始飽和,如圖中Bs和Hs.

[page]
由於導磁率的變化範圍太大,且容易飽和,因此,一般開關電源使用的開關變壓器都要在開關變壓器鐵芯中間留氣隙。
圖5是分析及計算開關變壓器鐵芯最佳氣隙長度的原理圖,圖5-a) 是中間留有氣隙開關變壓器鐵芯的示意圖,圖5-b) 是中間留有氣隙的開關變壓器鐵芯的磁化曲線圖,及計算開關變壓器鐵芯最佳氣隙長度的原理圖。

在圖5-b) 中,虛線是沒留有氣隙開關變壓器鐵芯的磁化曲線,實線是留有氣隙開關變壓器鐵芯的磁化曲線;曲線b是留有氣隙開關變壓器鐵芯的等效磁化曲線,其等效導磁率,即曲線的斜率為 ; 是留有氣隙開關變壓器鐵芯的平均導磁率; 是沒留有氣隙時開關變壓器鐵芯的導磁率。
由圖5可以看出,開關變壓器鐵芯的氣隙長度留得越大,其平均導磁率就越小,而開關變壓器鐵芯就不容易飽和;但開關變壓器鐵芯的平均導磁率越小,開關變壓器初、次ci級ji線xian圈quan之zhi間jian的de漏lou感gan就jiu越yue大da。因yin此ci,開kai關guan變bian壓ya器qi鐵tie芯xin氣qi隙xi長chang度du的de設she計ji是shi一yi個ge比bi較jiao複fu雜za的de計ji算suan過guo程cheng,並bing且qie還hai要yao根gen據ju開kai關guan電dian源yuan的de輸shu出chu功gong率lv,以yi及ji電dian壓ya變bian化hua範fan圍wei(占空比變化範圍)等因素來綜合考慮。不過我們可以通過對開關變壓器伏秒容量的測量,同時檢查開關變壓器鐵芯氣隙長度留得是否合適。
關於開關變壓器鐵芯氣隙長度的設計,請參考《2-1-14.開關變壓器鐵芯氣隙的選取》有關章節。
順便說明,圖4中表示導磁率的 的曲線也不是一成不變的,它受溫度的影響非常大。由於開關變壓器磁芯也是一種半導體材料(金屬氧化物),很多半導體器件就是用金屬氧化物來製造的,如熱敏電阻、場chang效xiao應ying管guan等deng。半ban導dao體ti材cai料liao的de特te性xing就jiu是shi受shou溫wen度du的de影ying響xiang很hen靈ling敏min,當dang溫wen度du上shang升sheng到dao一yi定ding範fan圍wei以yi後hou,開kai關guan變bian壓ya器qi磁ci芯xin的de電dian阻zu率lv就jiu會hui變bian小xiao,並bing開kai始shi導dao電dian。
因yin此ci,當dang溫wen度du升sheng高gao到dao一yi定ding範fan圍wei以yi後hou,在zai開kai關guan變bian壓ya器qi磁ci芯xin內nei部bu就jiu會hui產chan生sheng很hen大da的de渦wo流liu損sun耗hao,並bing使shi鐵tie芯xin有you效xiao導dao磁ci率lv急ji速su下xia降jiang。這zhe個ge使shi開kai關guan變bian壓ya器qi磁ci芯xin有you效xiao導dao磁ci率lv急ji速su下xia降jiang的de溫wen度du點dian,我wo們men把ba它ta稱cheng為wei居ju裏li溫wen度du點dian。在zai實shi際ji應ying用yong中zhong,我wo們men可ke以yi把ba開kai關guan變bian壓ya器qi磁ci芯xin有you效xiao導dao磁ci率lv下xia降jiang到dao最zui大da值zhi的de70%時的溫度,定義為居裏溫度點。
圖6是日本TDK公司高導磁率材料H5C4係列磁芯初始導磁率 隨溫度變化的曲線圖,其居裏溫度大約為105℃。

由圖6可ke以yi看kan出chu,開kai關guan變bian壓ya器qi磁ci芯xin的de使shi用yong環huan境jing溫wen度du,對dui開kai關guan變bian壓ya器qi的de性xing能neng影ying響xiang是shi非fei常chang大da的de。但dan我wo們men在zai使shi用yong開kai關guan變bian壓ya器qi的de時shi候hou,就jiu很hen少shao有you人ren去qu考kao慮lv或huo檢jian測ce開kai關guan變bian壓ya器qi磁ci芯xin的de居ju裏li溫wen度du。目mu前qian,一yi般ban開kai關guan變bian壓ya器qi還hai都dou大da量liang選xuan用yong鐵tie氧yang體ti磁ci芯xin,這zhe種zhong鐵tie氧yang體ti磁ci芯xin的de居ju裏li溫wen度du一yi般ban都dou在zai120℃左右,因此,我們對開關變壓器進行設計時工作溫度最好不要超過110℃。
- 噪聲中提取真值!瑞盟科技推出MSA2240電流檢測芯片賦能多元高端測量場景
- 10MHz高頻運行!氮矽科技發布集成驅動GaN芯片,助力電源能效再攀新高
- 失真度僅0.002%!力芯微推出超低內阻、超低失真4PST模擬開關
- 一“芯”雙電!聖邦微電子發布雙輸出電源芯片,簡化AFE與音頻設計
- 一機適配萬端:金升陽推出1200W可編程電源,賦能高端裝備製造
- 2026藍牙亞洲大會暨展覽在深啟幕
- 新市場與新場景推動嵌入式係統研發走向統一開發平台
- 維智捷發布中國願景
- 2秒啟動係統 • 資源受限下HMI最優解,米爾RK3506開發板× LVGL Demo演示
- H橋降壓-升壓電路中的交替控製與帶寬優化
- 車規與基於V2X的車輛協同主動避撞技術展望
- 數字隔離助力新能源汽車安全隔離的新挑戰
- 汽車模塊拋負載的解決方案
- 車用連接器的安全創新應用
- Melexis Actuators Business Unit
- Position / Current Sensors - Triaxis Hall





