電子元器件加速壽命試驗
發布時間:2019-11-26 來源:範 陶朱公 責任編輯:wenwei
【導讀】按照試驗時施加的應力方式,加速壽命試驗可分為恒定應力加速壽命試驗、步進應力加速壽命試驗和序進應力加速壽命試驗。
一、加速壽命試驗的目的
加速壽命試驗的目的如下
(1)解決試驗樣品數量和試驗時間之間的矛盾。
(2)通過數理統計及外推的方法,獲得有效的可靠性特征數據,例如產品的失效分布、可靠度、平均壽命以及產品特性參數時間的變化等。在此基礎上再來預測工作在特定的條件下的可靠性。
(3)考核產品的結構、材料和工藝過程,鑒定和改進產品的質量。
(4)運用加嚴的環境條件和應力條件,檢查元器件是否有異常分布,剔除有缺陷的早期失效的產品,即對元器件進行可靠性篩選。
(5)通過在加嚴的環境條件和應力條件下的試驗,確定產品能承受安全應力的極限水平。
(6)作為失效鑒定試驗的一種手段。
二、加速壽命試驗的三個基本前提和類型
1.加速壽命試驗的基本前提如下。
(1)失效機理的一致性
shixiaojilideyizhixingshizhizaibutongyinglishuipingxiachanpindeshixiaojilibaochibubian。tongchang,shixiaojilideyizhixingshitongguoshiyanshejibaozhengde,jiyaoqiujiasushoumingshiyanzhongdezuigaoyinglidengjibunenggaoyuchanpindepohuaijixian。
(2)失效過程的規律性
失效過程的規律性是指產品和壽命之間存在一個確切的函數關係式,即加速模型。
(3)失效分布的同一性
失效分布的同一性是指在不同的應力水平下產品的壽命服從同一分布,這是壽命數據統計的基本前提。
2.加速壽命試驗類型
按照試驗時施加的應力方式,加速壽命試驗可分為恒定應力加速壽命試驗、步進應力加速壽命試驗和序進應力加速壽命試驗。
(1)恒定應力加速壽命試驗
恒定應力加速壽命試驗如圖1所示,簡稱恒加試驗。圖中,t 表示試驗時間,S 表示試驗應力,×表示樣品失效。試驗過程中,選定一組高於正常應力水平 S0 的加速應力水平S1<S2<…<Sk,將一定數量的樣品分為 k 組,每組樣品在彼此獨立的應力水平下進行壽命試驗,直到各組均有一定數量的樣品發生失效為止。

圖1恒定應力加速試驗示意
(2)步進應力加速壽命試驗
步進應力加速壽命試驗如圖 2所示,簡稱步加試驗。步加試驗是選定一組高於正常應力水平 S0的加速應力水平 S1<S2<…<Sk,試驗開始時,先將一定數量的樣品置於 S1應力下進行試驗。經過 t1時間,把應力提高到 S2,把在 S1應力下未失效的樣品在 S2應力下繼續進行試驗;如此重複下去,直到在Sk應力下有一定數量的樣品發生失效為止。

圖2 步進應力加速試驗示意圖
(3)序進應力加速壽命試驗
序進應力加速壽命試驗如圖 3所示,簡稱序加試驗。序加試驗施加的應力水平隨時間連續變化,最簡單的就是圖 1-8 所示的線性上升,此外還有許多複雜的應力施加方式,如循環應力、彈簧應力、三角函數應力等。序加試驗的特點是應力變化快,失效也快,因此序加試驗需要專用設備跟蹤和記錄產品失效。

圖3 序進應力加速試驗示意
恒加試驗、步加試驗和序加試驗各有特點,其主要差別見表1。

表1 三種不同類型加速壽命試驗方法比較
三、加速應力和加速係數
1.加速應力
根據加速壽命試驗的假設:產(chan)品(pin)在(zai)正(zheng)常(chang)應(ying)力(li)水(shui)平(ping)和(he)加(jia)速(su)應(ying)力(li)水(shui)平(ping)下(xia)的(de)失(shi)效(xiao)機(ji)理(li)不(bu)變(bian)。加(jia)速(su)壽(shou)命(ming)試(shi)驗(yan)中(zhong)選(xuan)擇(ze)的(de)加(jia)速(su)應(ying)力(li)要(yao)求(qiu)能(neng)加(jia)速(su)產(chan)品(pin)的(de)失(shi)效(xiao),但(dan)同(tong)時(shi)不(bu)能(neng)改(gai)變(bian)失(shi)效(xiao)機(ji)理(li),一(yi)旦(dan)改(gai)變(bian)了(le)失(shi)效(xiao)模(mo)式(shi),就(jiu)失(shi)去(qu)了(le)加(jia)速(su)壽(shou)命(ming)試(shi)驗(yan)的(de)基(ji)礎(chu)。
應力的選擇對試驗的加速效率影響很大,一般應根據產品的失效機理與失效模式來選擇加速應力。加速壽命試驗中常用的應力有溫度、濕度、振動、壓力、電應力、溫度循環等,這些應力既可以單獨使用,也可以多種組合使用。
2.加速係數
加速係數的定義:產品承受的加速應力為S,在第i級加速應力水平為Si,正常應力水平記為S0,在Si、S0下,可靠度值為R時,產品的壽命分別為tR,i,tR,0,則時間比

τ為加速應力水平Si對正常應力水平S0的加速係數,簡稱加速係數。
加jia速su係xi數shu是shi加jia速su壽shou命ming試shi驗yan的de一yi個ge重zhong要yao參can數shu,它ta是shi加jia速su應ying力li下xia產chan品pin某mou種zhong壽shou命ming特te征zheng值zhi與yu正zheng常chang應ying力li下xia壽shou命ming特te征zheng值zhi的de比bi值zhi,也ye可ke稱cheng為wei加jia速su因yin子zi,是shi一yi個ge無wu量liang綱gang數shu。加jia速su係xi數shu反fan映ying加jia速su壽shou命ming試shi驗yan中zhong某mou加jia速su應ying力li水shui平ping的de加jia速su效xiao果guo,即ji加jia速su應ying力li的de函han數shu。
四、加速模型
jiasushoumingdejibensixiangshiliyonggaoyinglixiadeshoumingtezhengquwaituizhengchangyinglishuipingxiadeshoumingtezheng。shixianzhegejibensixiangdeguanjianzaiyujianlishoumingtezhengyuyinglishuipingzhijiandeguanxi,zhezhongshoumingtezhengyuyinglishuipingzhijiandeguanxijiushitongchangsuoshuodejiasumoxing,youchengjiasufangcheng。shoumingtezhengyuyinglizhijiandeguanxichangshifeixianxingde,dankeyitongguoduishoumingshujuhuoyinglishuipingjinxingshuxuebianhuan,ruduishubianhuan、倒數變換等,有可能將其轉換為線性的。
yingliyushoumingshimiqiexiangguande,yinglidezhongleiyushuipingshijuedingchanpinshoumingdezhongyaoyinsu。yinglijiqishuipingxuanzedeshifouqiadang,jiangjuedingshiyannengfoudadaoyuqidemubiao。yinci,youbiyaoyanjiutamenzhijiandeguanxi。
產品的壽命與應力之間的關係是以一定的物理模型為依據的。常見的物理模型有失效率模型、應力與強度模型、最弱鏈條模型和反應速度模型等。
1.失效率模型
失效率模型將失效率曲線劃分為早期失效、隨機失效和磨損失效 3 個階段,並將每個階段的產品失效機理與其失效率相聯係起來。
2.應力與強度模型
應(ying)力(li)與(yu)強(qiang)度(du)模(mo)型(xing)是(shi)研(yan)究(jiu)實(shi)際(ji)環(huan)境(jing)應(ying)力(li)與(yu)產(chan)品(pin)所(suo)能(neng)承(cheng)受(shou)強(qiang)度(du)的(de)關(guan)係(xi)。應(ying)力(li)與(yu)強(qiang)度(du)均(jun)為(wei)隨(sui)機(ji)變(bian)量(liang),因(yin)此(ci),產(chan)品(pin)的(de)失(shi)效(xiao)與(yu)否(fou)將(jiang)取(qu)決(jue)於(yu)應(ying)力(li)分(fen)布(bu)和(he)強(qiang)度(du)分(fen)布(bu)。隨(sui)著(zhe)時(shi)間(jian)的(de)推(tui)移(yi),產(chan)品(pin)的(de)強(qiang)度(du)分(fen)布(bu)將(jiang)逐(zhu)漸(jian)發(fa)生(sheng)變(bian)化(hua)。應(ying)力(li)分(fen)布(bu)與(yu)強(qiang)度(du)分(fen)布(bu)一(yi)旦(dan)發(fa)生(sheng)了(le)幹(gan)預(yu),產(chan)品(pin)就(jiu)會(hui)出(chu)現(xian)失(shi)效(xiao)。
3.最弱鏈條模型
最弱鏈條模型是基於產品的失效是發生在構成產品的諸因素中最薄弱的部位這一事實而提出來的。
4.反應速度模型
fanyingsudumoxingfanyinglefanyingsuduyuwendudeguanxi。zaikekaoxingshiyanzhongtongchangyingyongdeelunnisimoxingheailinmoxing,doushuyuzheyilei。tamentongshiyeshijiasushoumingshiyanshixianwaituizhengchangyinglixiashoumingtezhengdeyiju。
1)阿倫尼斯模型
阿倫尼斯模型是在大量的化學反應數據基礎上總結出來的,它表明了化學反應過程中反應速率與反應溫度的關係。阿倫尼斯模型表示為

式中,R (T)是在溫度為T時的反應速度
E—物質在溫度T時的激活能;
k—玻耳茲曼常數;
A—試驗待定的常數;
材料、產(chan)品(pin)的(de)微(wei)量(liang)化(hua)學(xue)物(wu)理(li)變(bian)化(hua),將(jiang)引(yin)起(qi)產(chan)品(pin)特(te)性(xing)參(can)數(shu)的(de)退(tui)化(hua),當(dang)其(qi)中(zhong)特(te)性(xing)參(can)數(shu)退(tui)化(hua)到(dao)某(mou)一(yi)極(ji)限(xian)值(zhi)時(shi),產(chan)品(pin)就(jiu)會(hui)失(shi)效(xiao),而(er)退(tui)化(hua)所(suo)經(jing)曆(li)的(de)時(shi)間(jian)就(jiu)是(shi)產(chan)品(pin)的(de)壽(shou)命(ming)。實(shi)踐(jian)證(zheng)明(ming),壽(shou)命(ming)與(yu)溫(wen)度(du)T之間的關係是符合阿倫尼斯模型的,這時,可將阿倫尼斯模型進行如下變換:


最後得

a、b為試驗所決定的常數。產品壽命t的對數值與試驗溫度T的倒數成正比。
阿倫尼斯模型是以如下兩個假設為基礎的。
假設一:
樣品的某個參數θ的退化量D=f(θ)是時間的線性函數。
因此有

這是一個線性方程,R(T)是方程的斜率,反映了參量 D 隨時間 t 的變化速率,即產品的退化率。R(T)是一個與溫度有關的量,當溫度一定時,它是一個常數。
這zhe個ge假jia設she說shuo明ming,對dui於yu元yuan器qi件jian的de某mou個ge參can量liang,如ru果guo通tong過guo某mou些xie變bian換huan能neng使shi其qi隨sui時shi間jian變bian化hua的de規gui律lv符fu合he假jia設she的de要yao求qiu,那na麼me就jiu可ke以yi應ying用yong阿e倫lun尼ni斯si模mo型xing來lai描miao述shu其qi壽shou命ming過guo程cheng。
假設二:
退化率R(T)的對數是絕對溫度倒數的線性函數,否則,就不是真實的加速。

若要求在不同的應力和不同的時間內產生相同的退化效果,即

可得

式中,τ就(jiu)是(shi)加(jia)速(su)係(xi)數(shu),它(ta)反(fan)映(ying)了(le)施(shi)加(jia)不(bu)同(tong)應(ying)力(li)時(shi),產(chan)品(pin)壽(shou)命(ming)相(xiang)對(dui)變(bian)化(hua)的(de)倍(bei)數(shu)。顯(xian)然(ran),加(jia)速(su)係(xi)數(shu)的(de)數(shu)值(zhi)與(yu)所(suo)施(shi)加(jia)的(de)應(ying)力(li)和(he)表(biao)征(zheng)產(chan)品(pin)失(shi)效(xiao)機(ji)理(li)的(de)激(ji)活(huo)能(neng)有(you)關(guan)。
激活能 E 與器件的失效模式及失效機理有關。有關半導體器件不同失效模式與機理的激活能數據如表2所列。

表2 失效模式、失效機理與激活能
以激活能E作為參數,可以繪製出不同Ea時溫度與壽命的關係。如圖4所示。從圖中可見,激活能越大,曲線越傾斜,與溫度的關係越密切。圖5所示為為不同溫度應力下激活能與加速係數的關係。

圖4 不同激活能時溫度與壽命的關係

圖5 不同溫度應力下激活能與加速係數的關係
2)艾林模型
在(zai)阿(e)倫(lun)尼(ni)斯(si)模(mo)型(xing)中(zhong)隻(zhi)考(kao)慮(lv)了(le)溫(wen)度(du)應(ying)力(li)對(dui)物(wu)質(zhi)的(de)化(hua)學(xue)與(yu)物(wu)理(li)性(xing)質(zhi)變(bian)化(hua)的(de)影(ying)響(xiang),實(shi)際(ji)上(shang),很(hen)多(duo)物(wu)理(li)和(he)化(hua)學(xue)反(fan)應(ying)過(guo)程(cheng)除(chu)與(yu)溫(wen)度(du)有(you)關(guan)之(zhi)外(wai),還(hai)與(yu)此(ci)時(shi)很(hen)多(duo)非(fei)溫(wen)度(du)應(ying)力(li)因(yin)素(su)密(mi)切(qie)相(xiang)關(guan),如(ru)電(dian)壓(ya)、濕度、機械應力等。所以,阿倫尼斯模型的應用受到了一定的限製。
隨著量子力學理論的發展,可以從反應速率動力學來推導出艾林模型。艾林模型綜合了溫度、濕度、電壓、電流、電功率、振動等多種應力與壽命之間的關係。
艾林模型的反應速率可表示為

式中,T—溫度應力;S—非溫度應力。
半導體器件如果在高溫高濕環境下工作,則其內引線金絲或鋁絲的 Al-Au 或 Al-Al 的接觸點很容易剝離;或在潮濕的環境中,由於腐蝕而產生開路、短路、loudianliuzengjiadengshixiao。qijilishiyouyuzaijiechudianchuzhanshanglebujiewuerxingchengdianweifenbu,congerchanshengledianhuaxuefanying。duizhezhongdianhuaxuefanyingyuchanpinshoumingdeguanxi,keyitongguoailinmoxinglaimiaoshu,qiailinmoxingwei

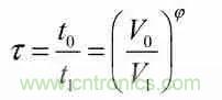
3)逆冪律模型
有些元器件在電流、電壓或功率等電應力的作用下,內部發生電離、電dian遷qian移yi等deng效xiao應ying,這zhe些xie效xiao應ying長chang期qi積ji累lei後hou,破po壞huai了le元yuan器qi件jian的de功gong能neng而er導dao致zhi產chan品pin的de失shi效xiao。這zhe種zhong失shi效xiao與yu電dian應ying力li的de強qiang度du密mi切qie相xiang關guan。電dian應ying力li越yue強qiang,積ji累lei速su度du越yue快kuai,元yuan器qi件jian的de壽shou命ming就jiu越yue短duan。這zhe些xie元yuan器qi件jian的de壽shou命ming與yu施shi加jia的de電dian流liu或huo電dian功gong率lv等deng非fei溫wen度du應ying力li之zhi間jian符fu合he逆ni冪mi律lv關guan係xi。即ji

式中,t為元器件的壽命特征量,如中位壽命、平均壽命或特征壽命;
V為施加在元器件上的電應力,V>0;
K、φ為正常數。其中φ隻與元器件的類型有關。
將上式兩邊取對數,就可將逆冪律模型線性化,即
確定φ、K之後,就可以預測電應力V與元器件壽命t之間的關係。即可用圖估法或數值計算的方法,外推元器件在不同電應力下的壽命或失效率。
在電應力 V1下進行加速壽命試驗時,對應累計失效概率 F0的加速失效時間為 t1;在正常電壓 V0下進行壽命試驗,對應同樣累計失效率的正常失效時間為 t0,則可得加速係數

因此,對於某些元器件,如果已知常數φ和加速係數τ,隻要進行一次高電應力 V1下的加速壽命試驗,確定相應的加速失效時間 t1,就可以計算出在正常電應力 V0下的正常失效時間t0。
4)電解腐蝕壽命與濕度的關係
在zai潮chao氣qi存cun在zai的de情qing況kuang下xia,會hui使shi元yuan器qi件jian失shi效xiao的de機ji製zhi加jia劇ju,如ru半ban導dao體ti器qi件jian的de金jin屬shu化hua係xi統tong在zai有you偏pian置zhi情qing況kuang下xia,濕shi氣qi促cu使shi金jin屬shu化hua的de金jin屬shu離li子zi跨kua越yue兩liang種zhong金jin屬shu之zhi間jian的de絕jue緣yuan表biao麵mian產chan生sheng遷qian移yi,導dao致zhi電dian解jie腐fu蝕shi。絕jue緣yuan表biao麵mian的de導dao電dian率lv決jue定ding了le金jin屬shu離li子zi的de遷qian移yi速su率lv,從cong而er決jue定ding了le器qi件jian的de壽shou命ming。絕jue緣yuan表biao麵mian的de導dao電dian率lv與yu濕shi度du密mi切qie相xiang關guan。
柏克(Peck)和席爾德(Zierdt)通過試驗研究得出該失效機理的激活能為 0.54eV,並給出了器件壽命(tm)與相對濕度(%RH)間的近似關係式:

式中,c—試驗待定的常數。
5)溫度、濕度和電應力與壽命的關係
加速壽命試驗中,也有用濕度作為加速變量,也有同時采用溫度、濕度和電應力進行加速的。如 THB(高溫、高濕和偏置)加速試驗,其主要目的是評價器件的耐潮濕壽命,采用的公式如下:

式中,t是平均壽命;
f (RH)是相對濕度函數,可表示為

g(V)是逆冪律模型因子。
五、加速壽命試驗局限性
加速壽命試驗可以大大縮短正常應力壽命試驗所需時間,節省了人力和設備,這是它的優點。但是,加速壽命試驗也有它的局限性。
1.tashiyizhongpohuaixingshiyan,yinerzhinengchouquxiaobufenyangpinjinxingshiyan。dangran,congtongjiguandianlaikan,tashizuyidaibiaogaichanpindekekaoxingshuipingde,danshiquecunzaiyigezhixindudewenti。
2.對dui於yu那na些xie比bi較jiao複fu雜za的de器qi件jian,如ru集ji成cheng電dian路lu,實shi際ji上shang起qi主zhu導dao作zuo用yong的de失shi效xiao機ji理li往wang往wang是shi複fu雜za的de,甚shen至zhi有you些xie是shi事shi先xian無wu法fa預yu知zhi的de,如ru果guo用yong單dan一yi的de加jia速su變bian量liang來lai進jin行xing加jia速su,其qi結jie果guo是shi不bu夠gou全quan麵mian的de;同tong時shi,在zai失shi效xiao機ji理li不bu太tai明ming朗lang的de情qing況kuang下xia,采cai用yong加jia速su外wai推tui的de方fang法fa,其qi結jie果guo必bi然ran帶dai來lai大da的de誤wu差cha。也ye就jiu是shi說shuo,對dui於yu具ju有you多duo種zhong失shi效xiao機ji理li的de產chan品pin,理li想xiang的de加jia速su壽shou命ming試shi驗yan是shi難nan以yi實shi現xian的de。
3.加jia速su壽shou命ming試shi驗yan隻zhi考kao慮lv了le試shi驗yan的de加jia速su性xing方fang麵mian,而er沒mei有you考kao慮lv元yuan器qi件jian的de應ying用yong問wen題ti。實shi際ji上shang,用yong戶hu把ba這zhe類lei器qi件jian用yong在zai設she備bei上shang,預yu期qi保bao存cun和he運yun用yong時shi間jian很hen長chang。因yin此ci,對dui於yu元yuan器qi件jian製zhi造zao者zhe和he用yong戶hu來lai說shuo,在zai正zheng常chang應ying力li或huo使shi用yong應ying力li下xia的de長chang期qi壽shou命ming試shi驗yan也ye是shi必bi須xu的de和he重zhong要yao的de,因yin為wei它ta能neng真zhen實shi反fan映ying元yuan器qi件jian在zai使shi用yong條tiao件jian下xia的de壽shou命ming特te性xing。
4.加(jia)速(su)壽(shou)命(ming)試(shi)驗(yan)的(de)基(ji)本(ben)假(jia)設(she)是(shi)在(zai)高(gao)應(ying)力(li)條(tiao)件(jian)下(xia)的(de)失(shi)效(xiao)機(ji)理(li)與(yu)在(zai)正(zheng)常(chang)應(ying)力(li)條(tiao)件(jian)下(xia)的(de)失(shi)效(xiao)機(ji)理(li)相(xiang)同(tong)。此(ci)外(wai)試(shi)驗(yan)數(shu)據(ju)分(fen)析(xi)需(xu)要(yao)選(xuan)擇(ze)或(huo)假(jia)定(ding)應(ying)力(li)與(yu)壽(shou)命(ming)之(zhi)間(jian)的(de)函(han)數(shu)關(guan)係(xi)。實(shi)際(ji)上(shang),高(gao)應(ying)力(li)可(ke)能(neng)會(hui)引(yin)入(ru)在(zai)正(zheng)常(chang)條(tiao)件(jian)下(xia)不(bu)會(hui)發(fa)生(sheng)的(de)新(xin)的(de)失(shi)效(xiao)模(mo)式(shi),當(dang)有(you)幾(ji)種(zhong)不(bu)同(tong)應(ying)力(li)共(gong)同(tong)作(zuo)用(yong)時(shi),各(ge)種(zhong)失(shi)效(xiao)模(mo)式(shi)對(dui)應(ying)應(ying)力(li)有(you)不(bu)同(tong)的(de)敏(min)感(gan)性(xing),以(yi)致(zhi)各(ge)失(shi)效(xiao)模(mo)式(shi)的(de)發(fa)生(sheng)概(gai)率(lv)會(hui)隨(sui)應(ying)力(li)的(de)改(gai)變(bian)而(er)改(gai)變(bian)。也(ye)就(jiu)是(shi)說(shuo),加(jia)速(su)壽(shou)命(ming)試(shi)驗(yan)的(de)基(ji)本(ben)假(jia)設(she)通(tong)常(chang)是(shi)很(hen)難(nan)保(bao)證(zheng)的(de)。、應力-壽命關係模型有潛在的多樣性、複fu雜za性xing。試shi驗yan條tiao件jian也ye是shi千qian變bian萬wan化hua的de。由you加jia速su壽shou命ming試shi驗yan所suo估gu計ji的de壽shou命ming與yu在zai現xian場chang觀guan察cha到dao的de壽shou命ming可ke能neng差cha別bie很hen大da,有you可ke能neng差cha別bie達da到dao一yi個ge數shu量liang級ji甚shen至zhi更geng大da。因yin此ci,除chu非fei試shi驗yan條tiao件jian與yu現xian場chang使shi用yong條tiao件jian很hen接jie近jin且qie試shi驗yan數shu據ju的de分fen析xi和he建jian模mo恰qia當dang,否fou則ze從cong加jia速su壽shou命ming試shi驗yan數shu據ju外wai推tui所suo估gu計ji的de可ke靠kao性xing隻zhi能neng看kan作zuo是shi固gu有you可ke靠kao性xing的de一yi種zhong近jin似si,不bu應ying看kan作zuo為wei現xian場chang可ke靠kao性xing指zhi標biao。
六、發展趨勢
jiasushoumingshiyanshizaijinxingheligongchenghetongjijiashedejichushang,liyongyuwulishixiaoyouguandetongjimoxingduijiasutiaojianxiahuodedeshixiaoshujujinxingzhuanhuan,dedaoshijianzaizhengchangyinglishuipingxiakekaoxingtezhengdeshiyanfangfa。caiyongjiasushoumingshiyankeyisuoduanshiyanshijian,jiangdishiyanchengben,jinershigaokekaochangshoumingdeyanzhengyupingjiachengweikeneng。jiasushiyanshizaibugaibianshixiaojilideqiantixia,yongzengdahuanjing/工作應力量值達到縮短試驗時間並獲得試驗實際效果的試驗方法。加速壽命試驗技術主要研究發展方向。
1)複雜係統加速壽命試驗技術
jiasushoumingshiyanzaigengguangfandegongchengyingyongzhongbiranhuiyudaofuzaxitongdeyingyongwenti。gaishiyandeyanjiumuqianzhuyaojizhongyudanyishixiaojili,erfuzaxitongwangwangcunzaiduogeshixiaojili,xitongshixiaozeshiduogeqianzaishixiaojilixianghujingzhengdejieguo。yinci,fuzaxitongjiasushoumingshiyanjishudeyanjiuzhiderenmengaoduzhongshi。
2)提高加速壽命試驗的統計分析精度技術
加jia速su壽shou命ming試shi驗yan是shi統tong計ji試shi驗yan的de分fen支zhi,統tong計ji精jing度du的de提ti高gao仍reng然ran是shi加jia速su壽shou命ming試shi驗yan分fen析xi方fang法fa研yan究jiu的de一yi個ge主zhu要yao內nei容rong,所suo以yi分fen析xi精jing度du對dui於yu加jia速su壽shou命ming試shi驗yan技ji術shu至zhi關guan重zhong要yao。
3)加速壽命試驗優化設計技術
加速壽命試驗的優化設計是統計分析的逆問題,研究在給定條件(壽命先驗、應力範圍、試驗代價等)下,如何進行試驗以獲得各種可靠性指標的準確估計。
4)提高加速壽命試驗效率技術
加(jia)速(su)壽(shou)命(ming)試(shi)驗(yan)的(de)基(ji)本(ben)動(dong)因(yin)在(zai)於(yu)提(ti)高(gao)試(shi)驗(yan)過(guo)程(cheng)的(de)時(shi)間(jian)效(xiao)率(lv)和(he)經(jing)濟(ji)效(xiao)益(yi),從(cong)而(er)以(yi)最(zui)低(di)的(de)試(shi)驗(yan)代(dai)價(jia)達(da)到(dao)壽(shou)命(ming)評(ping)估(gu)的(de)目(mu)的(de)。因(yin)此(ci),加(jia)速(su)壽(shou)命(ming)試(shi)驗(yan)中(zhong)既(ji)要(yao)提(ti)高(gao)統(tong)計(ji)分(fen)析(xi)的(de)精(jing)度(du),又(you)要(yao)考(kao)慮(lv)優(you)化(hua)試(shi)驗(yan)設(she)計(ji)。加(jia)速(su)試(shi)驗(yan)要(yao)重(zhong)視(shi)算(suan)法(fa)的(de)簡(jian)化(hua)和(he)可(ke)操(cao)作(zuo)性(xing)問(wen)題(ti),使(shi)加(jia)速(su)試(shi)驗(yan)技(ji)術(shu)便(bian)於(yu)高(gao)可(ke)靠(kao)長(chang)壽(shou)命(ming)工(gong)程(cheng)的(de)應(ying)用(yong)。
5)加速壽命試驗裝備和控製技術
zhichengjiasushoumingshiyanshebeihekongzhijishudeyanjiu,duiyujiasushiyandeguangfanyingyongfahuizhongyaodezuoyong。jiasushoumingshiyanjishudefazhanyoulaiyushoumingshiyanshebeihekongzhijishudefazhan。
6)加速壽命試驗計算機仿真技術
仿fang真zhen技ji術shu在zai可ke靠kao性xing試shi驗yan中zhong的de應ying用yong已yi經jing成cheng為wei一yi個ge重zhong要yao的de趨qu勢shi,對dui於yu加jia速su壽shou命ming試shi驗yan具ju有you重zhong要yao的de促cu進jin作zuo用yong。在zai缺que乏fa失shi效xiao模mo型xing的de情qing況kuang下xia,仿fang真zhen手shou段duan及ji其qi與yu試shi驗yan的de研yan究jiu的de結jie合he將jiang有you可ke能neng成cheng為wei有you效xiao的de加jia速su試shi驗yan應ying用yong途tu徑jing;將(jiang)蒙(meng)特(te)卡(ka)羅(luo)仿(fang)真(zhen)引(yin)入(ru)加(jia)速(su)壽(shou)命(ming)和(he)加(jia)速(su)退(tui)化(hua)試(shi)驗(yan)的(de)優(you)化(hua)設(she)計(ji),可(ke)建(jian)立(li)方(fang)便(bian)應(ying)用(yong)的(de)優(you)化(hua)設(she)計(ji)方(fang)法(fa)。隨(sui)著(zhe)加(jia)速(su)壽(shou)命(ming)試(shi)驗(yan)技(ji)術(shu)研(yan)究(jiu)的(de)深(shen)入(ru),計(ji)算(suan)機(ji)仿(fang)真(zhen)技(ji)術(shu)的(de)引(yin)入(ru)將(jiang)有(you)利(li)於(yu)推(tui)動(dong)加(jia)速(su)壽(shou)命(ming)試(shi)驗(yan)技(ji)術(shu)的(de)發(fa)展(zhan)。
推薦閱讀:
特別推薦
- 噪聲中提取真值!瑞盟科技推出MSA2240電流檢測芯片賦能多元高端測量場景
- 10MHz高頻運行!氮矽科技發布集成驅動GaN芯片,助力電源能效再攀新高
- 失真度僅0.002%!力芯微推出超低內阻、超低失真4PST模擬開關
- 一“芯”雙電!聖邦微電子發布雙輸出電源芯片,簡化AFE與音頻設計
- 一機適配萬端:金升陽推出1200W可編程電源,賦能高端裝備製造
技術文章更多>>
- 貿澤EIT係列新一期,探索AI如何重塑日常科技與用戶體驗
- 算力爆發遇上電源革新,大聯大世平集團攜手晶豐明源線上研討會解鎖應用落地
- 創新不止,創芯不已:第六屆ICDIA創芯展8月南京盛大啟幕!
- AI時代,為什麼存儲基礎設施的可靠性決定數據中心的經濟效益
- 矽典微ONELAB開發係列:為毫米波算法開發者打造的全棧工具鏈
技術白皮書下載更多>>
- 車規與基於V2X的車輛協同主動避撞技術展望
- 數字隔離助力新能源汽車安全隔離的新挑戰
- 汽車模塊拋負載的解決方案
- 車用連接器的安全創新應用
- Melexis Actuators Business Unit
- Position / Current Sensors - Triaxis Hall
熱門搜索
Future
GFIVE
GPS
GPU
Harting
HDMI
HDMI連接器
HD監控
HID燈
I/O處理器
IC
IC插座
IDT
IGBT
in-cell
Intersil
IP監控
iWatt
Keithley
Kemet
Knowles
Lattice
LCD
LCD模組
LCR測試儀
lc振蕩器
Lecroy
LED
LED保護元件
LED背光




