如何降低MOSFET損耗並提升EMI性能
發布時間:2016-06-27 責任編輯:wenwei
【導讀】MOSFET作為主要的開關功率器件之一,被大量應用於模塊電源。本文主要闡述了MOSFET在模塊電源中的應用,分析了MOSFET損耗特點,提出了優化方法;並且闡述了優化方法與EMI之間的關係。
一、引言
MOSFET作為主要的開關功率器件之一,被大量應用於模塊電源。了解MOSFET的損耗組成並對其分析,有利於優化MOSFET損耗,提高模塊電源的功率;但是一味的減少MOSFET的損耗及其他方麵的損耗,反而會引起更嚴重的EMI問題,導致整個係統不能穩定工作。所以需要在減少MOSFET的損耗的同時需要兼顧模塊電源的EMI性能。
二、開關管MOSFET的功耗分析

MOSFET的損耗主要有以下部分組成:1.通態損耗;2.導通損耗;3.關斷損耗;4.驅動損耗;5.吸收損耗;隨著模塊電源的體積減小,需要將開關頻率進一步提高,進而導致開通損耗和關斷損耗的增加,例如300kHz的驅動頻率下,開通損耗和關斷損耗的比例已經是總損耗主要部分了。
MOSFET導通與關斷過程中都會產生損耗,在這兩個轉換過程中,漏極電壓與漏極電流、柵源電壓與電荷之間的關係如圖1和圖2所示,現以導通轉換過程為例進行分析:
t0-t1區間:柵極電壓從0上升到門限電壓Uth,開關管為導通,無漏極電流通過這一區間不產生損耗;
t1-t2區間:柵極電壓達到Vth,漏極電流ID開始增加,到t2時刻達到最大值,但是漏源電壓保持截止時高電平不變,從圖1可以看出,此部分有VDS與ID有重疊,MOSFET功耗增大;
t2-t3區間:從t2時刻開始,漏源電壓VDS開始下降,引起密勒電容效應,使得柵極電壓不能上升而出現平台,t2-t3時刻電荷量等於Qgd,t3時刻開始漏極電壓下降到最小值;此部分有VDS與ID有重疊,MOSFET功耗增大;
t3-t4區間:柵極電壓從平台上升至最後的驅動電壓(模塊電源一般設定為12V),上升的柵壓使導通電阻進一步減少,MOSFET進入完全導通狀態;此時損耗轉化為導通損耗。
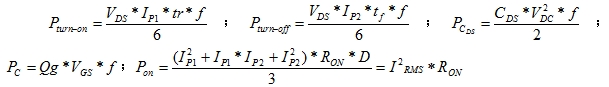
關斷過程與導通過程相似,隻不過是波形相反而已;關於MOSFET的導通損耗與關斷損耗的分析過程,有很多文獻可以參考,這裏直接引用《張興柱之MOSFET分析》的總結公式如下:
三、MOSFET的損耗優化方法及其利弊關係
3-1. 通過降低模塊電源的驅動頻率減少MOSFET的損耗[稍微提一下EMI問題及其解決方案]
從MOSFET的損耗分析可以看出,開關電源的驅動頻率越高,導通損耗、guanduansunhaohequdongsunhaohuixiangyingzengda,danshigaopinhuakeyishidemokuaidianyuandebianyaqicixingengxiao,mokuaidetijibiandegengxiao,suoyikeyitongguokaiguanpinlvquyouhuakaitongsunhao、關斷損耗和驅動損耗,但是高頻化卻會引起嚴重的EMI問題。金升陽DC/DC R3產(chan)品(pin),采(cai)用(yong)跳(tiao)頻(pin)控(kong)製(zhi)方(fang)法(fa),在(zai)輕(qing)負(fu)載(zai)情(qing)況(kuang)下(xia),通(tong)過(guo)降(jiang)低(di)模(mo)塊(kuai)電(dian)源(yuan)的(de)開(kai)關(guan)頻(pin)率(lv)來(lai)降(jiang)低(di)驅(qu)動(dong)損(sun)耗(hao),從(cong)而(er)進(jin)一(yi)步(bu)提(ti)高(gao)輕(qing)負(fu)載(zai)條(tiao)件(jian)下(xia)的(de)效(xiao)率(lv),使(shi)得(de)係(xi)統(tong)在(zai)待(dai)機(ji)工(gong)作(zuo)下(xia),更(geng)節(jie)能(neng),進(jin)一(yi)步(bu)提(ti)高(gao)蓄(xu)電(dian)池(chi)供(gong)電(dian)係(xi)統(tong)的(de)工(gong)作(zuo)時(shi)間(jian),並(bing)且(qie)還(hai)能(neng)夠(gou)降(jiang)低(di)EMI的輻射問題;

3-2.通過降低、來減少MOSFET的損耗
典型的小功率模塊電源(小於50W)大多采用的電路拓撲結構為反激形式,典型的控製電路如圖3所示;從MOSFET的損耗分析還可以知道:與開通損耗成正比、與關斷損耗成正比;所以可以通過減少 、來減少MOSFET的損耗,通常情況下,可以減小MOSFET的驅動電阻Rg來減少、時間,但是此優化方法卻帶來嚴重的EMI問題;以金升陽URB2405YMD-6WR3產品為例來說明此項問題:
1)URB2405YMD-6WR3采用10Ω的MOSFET驅動電阻,裸機輻射測試結果如下:

2)URB2405YMD-6WR3采用0Ω的驅動電阻,裸機輻射測試結果如下:

從兩種不同的驅動電阻測試結果來看,雖然都能夠通過EN55022的輻射騷擾度的CLASS A等級,但是采用0歐姆的驅動電阻,在水平極化方向測試結果的餘量是不足3dB的,該方案設計不能被通過。
3-3.通過降低吸收電路損耗來減少損耗
在模塊電源的設計過程中,變壓器的漏感總是存在的,采用反激拓撲式結構,往往在MOSFET截止過程中,MOSFET的漏極往往存在著很大的電壓尖峰,一般情況下,MOSFET的電壓設計餘量是足夠承受的,為了提高整體的電源效率,一些電源廠家是沒有增加吸收電路(吸收電路如圖3標注①RCD吸收電路和②RC吸收電路)來吸收尖峰電壓的。但是,不注意這些吸收電路的設計往往也是導致EMI設計不合格的主要原因。以金升陽URF2405P-6WR3的吸收電路(采用如圖3中的②RC吸收電路)為例:
1)驅動電阻Rg為27Ω,無RC吸收電路,輻射騷擾度測試結果如下:

2)驅動電阻為27Ω;吸收電路為電阻R和C 5.1Ω 470pF,輻射騷擾度測試結果如下:

從兩種不同的吸收電路方案測試結果來看,不采用吸收電路的方案,是不能通過EN55022輻射騷擾度的CLASS A等級,而采用吸收電路,則可以解決輻射騷擾度實驗不通過的問題,通過不同的RC組合方式可進一步降低輻射騷擾。
四、總結
MOSFET的功耗優化工作實際上是一個係統工程,部分優化方案甚至會影響EMI的特性變化。上述案例中,金升陽R3係列產品將節能環保的理念深入到電源的開發過程中,很好地平衡了電源整體效率與EMI特性,從而進一步優化了電源參數。將電源參數進一步優化,更能兼容客戶係統,並發揮真正的電子係統“心髒”作用,源源不斷的輸送能量。
【推薦閱讀】
特別推薦
- 噪聲中提取真值!瑞盟科技推出MSA2240電流檢測芯片賦能多元高端測量場景
- 10MHz高頻運行!氮矽科技發布集成驅動GaN芯片,助力電源能效再攀新高
- 失真度僅0.002%!力芯微推出超低內阻、超低失真4PST模擬開關
- 一“芯”雙電!聖邦微電子發布雙輸出電源芯片,簡化AFE與音頻設計
- 一機適配萬端:金升陽推出1200W可編程電源,賦能高端裝備製造
技術文章更多>>
- 邊緣AI的發展為更智能、更可持續的技術鋪平道路
- IAR作為Qt Group獨立BU攜兩項重磅汽車電子應用開發方案首秀北京車展
- 數字化的線性穩壓器
- 安森美:用全光譜“智慧之眼”定義下一代工業機器人
- 貿澤EIT係列新一期,探索AI如何重塑日常科技與用戶體驗
技術白皮書下載更多>>
- 車規與基於V2X的車輛協同主動避撞技術展望
- 數字隔離助力新能源汽車安全隔離的新挑戰
- 汽車模塊拋負載的解決方案
- 車用連接器的安全創新應用
- Melexis Actuators Business Unit
- Position / Current Sensors - Triaxis Hall
熱門搜索
Future
GFIVE
GPS
GPU
Harting
HDMI
HDMI連接器
HD監控
HID燈
I/O處理器
IC
IC插座
IDT
IGBT
in-cell
Intersil
IP監控
iWatt
Keithley
Kemet
Knowles
Lattice
LCD
LCD模組
LCR測試儀
lc振蕩器
Lecroy
LED
LED保護元件
LED背光


