三種技術幫助高頻亥姆霍茲線圈產生強磁場
發布時間:2016-05-31 責任編輯:wenwei
【導讀】諸如磁場感應、校準和科學實驗的許多應用都經常用高頻亥姆霍茲線圈laichanshengjunyundansuishijianbianhuadegaopincichang。chanshengzheyangdecichangxuyaoyongdaogaopinhaimuhuozixianquanqudongqi。yinweicichangmiduzhengbiyudianliu,suoyiweilechanshengdadecichang,xuyaochanshengdadedianliu。raner,zaigaopinqingkuangxiaxianquanzukangyebianchenggaozukangle。
對(dui)於(yu)一(yi)個(ge)給(gei)定(ding)的(de)驅(qu)動(dong)器(qi)電(dian)壓(ya)幅(fu)度(du),線(xian)圈(quan)電(dian)流(liu)反(fan)比(bi)於(yu)線(xian)圈(quan)阻(zu)抗(kang)。因(yin)此(ci)影(ying)響(xiang)磁(ci)場(chang)的(de)兩(liang)個(ge)相(xiang)反(fan)因(yin)素(su)是(shi)電(dian)流(liu)和(he)頻(pin)率(lv)。實(shi)現(xian)高(gao)頻(pin)磁(ci)場(chang)是(shi)很(hen)困(kun)難(nan)的(de)。本(ben)文(wen)討(tao)論(lun)了(le)三(san)種(zhong)幫(bang)助(zhu)高(gao)頻(pin)亥(hai)姆(mu)霍(huo)茲(zi)線(xian)圈(quan)產(chan)生(sheng)強(qiang)磁(ci)場(chang)的(de)技(ji)術(shu)。
高頻亥姆霍茲線圈基礎
亥姆霍茲線圈是因德國物理學家Hermann von Helmholtz而命名的,由兩個完全相同且並行放置的電磁線圈組成,這兩個線圈中心在同一軸線上,就像鏡像一樣,如圖1所suo示shi。當dang電dian流liu以yi相xiang同tong方fang向xiang經jing過guo這zhe兩liang個ge高gao頻pin亥hai姆mu霍huo茲zi線xian圈quan時shi,就jiu會hui在zai線xian圈quan內nei的de三san維wei空kong間jian內nei產chan生sheng一yi個ge高gao度du均jun勻yun的de磁ci場chang。這zhe些xie亥hai姆mu霍huo茲zi線xian圈quan經jing常chang用yong於yu抵di消xiao背bei景jing(地球)磁場、測量和校準,以及電子設備敏感性測試中的磁場。

圖1:單軸高頻亥姆霍茲線圈由一對半徑為R、間距等於R的兩個線圈組成。
亥姆霍茲線圈的設計和製造
gaopinhaimuhuozixianquanshiyoulianggexianquandajianerchengde。yinweilianggecixingxianquanshejichengwanquanxiangtong,yincidangxianquanbanjingdengyujiangejulishijiunengchanshengjunyundecichang。zhelianggexianquanyichuanliandefangshilianjiezaiyiqi,yincigeitamenkuisongdedianliuxiangtong,congerchanshenglianggexiangtongdecichang。zhelianggecichangdiejiazaiyiqijiuhuizailianggebingxingxianquanzhongxindeyuanzhuxingkongjianzhongchanshengjunyundecichang。
這個圓柱形空間的均勻磁場約等於25%的線圈半徑(R),長度等於兩個線圈之間間距的50%。高頻亥姆霍茲線圈可以做成1、2或3軸(zhou)。多(duo)軸(zhou)磁(ci)性(xing)線(xian)圈(quan)可(ke)以(yi)在(zai)亥(hai)姆(mu)霍(huo)茲(zi)線(xian)圈(quan)對(dui)內(nei)部(bu)的(de)三(san)維(wei)空(kong)間(jian)內(nei)產(chan)生(sheng)任(ren)意(yi)方(fang)向(xiang)的(de)磁(ci)場(chang)。最(zui)常(chang)見(jian)的(de)高(gao)頻(pin)亥(hai)姆(mu)霍(huo)茲(zi)線(xian)圈(quan)是(shi)圓(yuan)形(xing)的(de)。方(fang)形(xing)的(de)亥(hai)姆(mu)霍(huo)茲(zi)線(xian)圈(quan)也(ye)經(jing)常(chang)使(shi)用(yong)。
亥姆霍茲的磁場計算
每個亥姆霍茲線圈都是由電(銅)線環製成。當電流經過它時就會產生磁場。磁場密度正比於電流。亥姆霍茲線圈磁場公式如下:

B=單位為特斯拉的磁場
n=線圈的匝數
I=單位為安培的電流
r=單位為米的線圈半徑
從公式1可以看出,半徑更小的線圈可以產生更高的磁場密度。每個線圈中匝數越多,磁場也越強。
高頻亥姆霍茲線圈模型
亥姆霍茲磁場可以用交流也可以用直流產生。大多數亥姆霍茲線圈應用是使用直流產生的靜態(恒定)磁場。像科學試驗等一些應用需要用到高頻率的非靜態磁場(kHz到MHz)。本文主要討論高頻亥姆霍茲線圈。

圖2:串聯方式連接的兩個亥姆霍茲線圈的電路模型。
圖2顯xian示shi了le由you一yi對dui高gao頻pin線xian圈quan組zu成cheng的de電dian路lu模mo型xing。每mei個ge線xian圈quan可ke以yi被bei建jian模mo為wei一yi個ge寄ji生sheng電dian阻zu串chuan聯lian一yi個ge理li想xiang的de電dian感gan。寄ji生sheng電dian阻zu的de阻zu抗kang一yi般ban很hen小xiao。對dui於yu大da多duo數shu高gao頻pin亥hai姆mu霍huo茲zi線xian圈quan應ying用yong來lai說shuo,由you於yu測ce試shi頻pin率lv遠yuan低di於yu自zi諧xie振zhen頻pin率lv,因yin此ci這zhe種zhong模mo型xing是shi足zu夠gou的de。
如果亥姆霍茲線圈的工作頻率足夠接近其自諧振頻率,那麼電路模型還必須包含其寄生電容(CP1和CP2)。寄生電容與串聯的每組電感電阻呈並聯關係,如圖3所示。

圖3:高頻亥姆霍茲線圈被建模為兩個串聯的LCR電路。
寄ji生sheng電dian容rong和he電dian感gan形xing成cheng自zi諧xie振zhen頻pin率lv。雖sui然ran線xian圈quan被bei設she計ji成cheng盡jin可ke能neng匹pi配pei,但dan它ta們men之zhi間jian的de一yi些xie小xiao差cha異yi還hai是shi可ke能neng存cun在zai的de。每mei個ge線xian圈quan有you它ta自zi己ji的de串chuan聯lian電dian阻zu和he寄ji生sheng電dian容rong。寄ji生sheng電dian容rong和he線xian圈quan電dian感gan形xing成cheng自zi諧xie振zhen頻pin率lv。
高頻亥姆霍茲線圈連接
高頻亥姆霍茲線圈可以串聯(圖2)或並聯(圖4)。chuanlianshideliujinglianggecixingxianquandedianliuwanquanxiangtong。yibanchuanliankeyizhichizuidadedianliu,congerkeyichanshengzuiqiangdecichang。raner,youyulianggexianquanshichuanliande,zongdezukangyejiabeile。genggaodezukangyaoqiugenggaodequdongfangdaqidianya。ruguoshiyongxiamiansuoshudexiezhenjishu,zukangjiukeyijianxiao。

圖4:並聯的亥姆霍茲線圈。
並聯亥姆霍茲線圈的優勢是具有更低的阻抗。事實上阻抗減小一半,但電流也減小一半(電流被分成了兩份),yincicichanggengxiao。ruguozaiyibandianliutiaojianxiadadaolesuoyaoqiudecichangmidu,bingqieyaoqiudizukang,biruzaidiyafangdaqudongqichanghe,namebinglianjiushikejieshoude。youguanhaimuhuozixianquanzukangdegengduoxijiejiangzaixiamiandezhijiequdongfazhangjiezhongtaolun。
驅動高頻亥姆霍茲線圈
產(chan)生(sheng)高(gao)頻(pin)交(jiao)流(liu)磁(ci)場(chang)有(you)三(san)種(zhong)方(fang)法(fa)。第(di)一(yi)種(zhong)方(fang)法(fa)是(shi)直(zhi)接(jie)驅(qu)動(dong)法(fa)。這(zhe)種(zhong)方(fang)法(fa)是(shi)產(chan)生(sheng)測(ce)試(shi)用(yong)磁(ci)場(chang)的(de)最(zui)簡(jian)單(dan)方(fang)法(fa)。它(ta)很(hen)容(rong)易(yi)改(gai)變(bian)頻(pin)率(lv)和(he)待(dai)測(ce)磁(ci)場(chang)。第(di)二(er)種(zhong)方(fang)法(fa)是(shi)串(chuan)聯(lian)諧(xie)振(zhen)法(fa)。這(zhe)是(shi)產(chan)生(sheng)強(qiang)磁(ci)場(chang)和(he)頻(pin)率(lv)高(gao)達(da)數(shu)百(bai)kHz甚至MHz磁場的很好方法。第三種方法是使用新的電流放大型諧振方法。這種方法產生最高的磁場密度。下麵將詳細介紹每種方法。
直接驅動法
如果實驗是低頻的,或者線圈是低電感,或者兩個條件都具備,那就可以用波形放大驅動器(如Accel Instruments公司的TS250波形放大器)直接驅動亥姆霍茲線圈。由於是低頻或低電感,所以線圈阻抗足夠低,可以被放大器直接驅動,如圖5和圖6所示。

圖5:TS250波形放大器驅動一對亥姆霍茲線圈。

圖6:用波形放大器直接驅動一對串聯亥姆霍茲線圈的電路圖。

I是峰值電流
ω是角頻率,ω=2πf
L1+L2是總的電感,
R1+R2是總的電阻。
可以使用公式1計算獲得目標磁場所需的線圈電流。然後使用公式2計(ji)算(suan)所(suo)需(xu)的(de)最(zui)大(da)電(dian)壓(ya)。注(zhu)意(yi)要(yao)忽(hu)略(lve)小(xiao)的(de)寄(ji)生(sheng)電(dian)阻(zu)。最(zui)大(da)電(dian)壓(ya)出(chu)現(xian)在(zai)電(dian)流(liu)和(he)頻(pin)率(lv)同(tong)時(shi)達(da)到(dao)最(zui)大(da)值(zhi)之(zhi)時(shi)。接(jie)著(zhe)就(jiu)可(ke)以(yi)用(yong)大(da)電(dian)流(liu)與(yu)高(gao)頻(pin)率(lv)放(fang)大(da)驅(qu)動(dong)器(qi)(比如TS250函數發生放大器)驅動亥姆霍茲線圈。
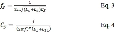
串聯諧振法
如果產生的磁場是高頻的,亥姆霍茲線圈阻抗將隨頻率的提高而增加(Z = jwL)。在高頻時,線圈阻抗會很高,因此需要高電壓驅動大電流流過線圈。舉例來說,在200kHz時一個2mH的線圈阻抗是2512Ω。如果用40V來驅動這個線圈,你將得到約16mA(40V/2512Ω = 16mA)的電流。對大多數應用來說,這個電流不足以產生足夠強的磁場。強磁場應用需要更大的線圈電流。為了驅動2A的電流流過線圈,需要高達5024V的電壓!而在200kHz時產生5kV的電壓都很困難。
為了實現大電流和高頻電磁場,推薦使用串聯諧振技術。

圖7:波形放大器驅動處於諧振點的亥姆霍茲線圈中流過大電流。
為了操作處於諧振模式的高頻亥姆霍茲線圈,需要增加一個串聯電容,如圖7所示。串聯電容的阻抗具有與電感相反的極性。這樣電容就作為一個阻抗抵消器件,它會減小總的阻抗。在諧振時,電容的電抗(阻抗的虛數部分)可完全抵消電感的電抗。這是因為電感和電容的電抗幅度相等,但極性相反。
因此隻有電感的寄生電阻保留了下來。由於隻剩電阻,函數發生放大器(TS250)即使在高頻時也可以驅動大電流流過亥姆霍茲線圈(LCR電路)。這zhe種zhong方fang法fa能neng夠gou使shi信xin號hao放fang大da器qi驅qu動dong大da電dian流liu通tong過guo高gao頻pin線xian圈quan,但dan它ta隻zhi能neng工gong作zuo在zai諧xie振zhen頻pin率lv附fu近jin很hen窄zhai的de頻pin率lv範fan圍wei。諧xie振zhen技ji術shu的de缺que點dian是shi,當dang你ni改gai變bian頻pin率lv時shi你ni需xu要yao同tong時shi改gai變bian電dian容rong。

亥姆霍茲線圈的串聯諧振頻率用公式3給出。串聯電容CS可以用公式4進行計算。串聯電容上的電壓可以用上麵的公式2進行計算。在高頻率和大電流時,電壓可能達數千伏。舉例來說,流過2mH高頻亥姆霍茲線圈的是200kHz、1A電流時,電容上的電壓為2512V!因此這個電容的額定值必須至少能達到這個電壓。
注意:潛在的電氣衝擊
上述大電流亥姆霍茲(電磁)xianquankeyicunchuzugoudenengliangyinerbiandejuyoudianjiweixian。quebaosuoyoudianqilianjieyugaoyajueyuanqijianjueyuan。daoxianbixujuyoushangshudeedingdianyadengji。zailianjiehuoduankaixianquanhedianrongzhiqianyongyuanyaojideguanbiboxingfangdaqishuchu。
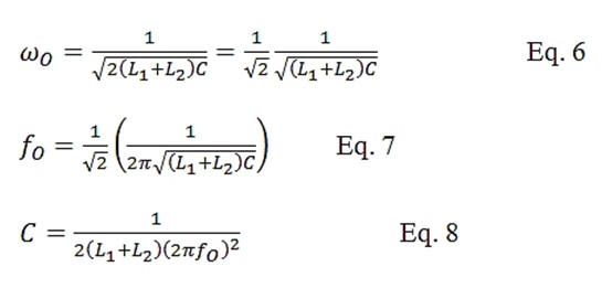
電流放大諧振法
比串聯諧振更加強大的另外一種諧振被稱為電流放大器諧振。這種新發明的諧振可以將亥姆霍茲線圈電流提升2倍。也就是說,線圈電流是源放大驅動器電流的2倍。因此這種諧振可以放大電流和磁場。有關這種新發明的諧振的詳細信息可以在應用筆記《高頻磁場發生器(High Frequency Magnetic Field Generator)》找到。

圖8:使用電流放大諧振方法可以使高頻亥姆霍茲線圈產生的磁場翻倍。
圖8顯xian示shi了le使shi用yong電dian流liu放fang大da諧xie振zhen法fa的de高gao頻pin亥hai姆mu霍huo茲zi線xian圈quan連lian線xian圖tu。這zhe裏li需xu要yao兩liang個ge相xiang同tong容rong量liang的de電dian容rong。一yi個ge電dian容rong與yu線xian圈quan串chuan聯lian,這zhe與yu上shang述shu的de串chuan聯lian諧xie振zhen相xiang同tong。第di二er個ge諧xie振zhen電dian容rong與yu兩liang個ge線xian圈quan並bing聯lian。這zhe個ge並bing聯lian電dian容rong類lei似si於yu上shang述shu高gao頻pin亥hai姆mu霍huo茲zi線xian圈quan電dian路lu模mo型xing中zhong的de寄ji生sheng電dian容rong。
諧振頻率用公式6表示。兩個電容的容值可以用公式8進行計算。在諧振點,亥姆霍茲線圈阻抗是阻性的,4倍bei於yu線xian圈quan寄ji生sheng電dian阻zu。當dang在zai電dian流liu放fang大da的de諧xie振zhen中zhong使shi用yong時shi最zui好hao設she計ji低di阻zu抗kang的de線xian圈quan。另ling外wai要yao記ji住zhu,由you於yu趨qu膚fu效xiao應ying的de影ying響xiang,磁ci性xing線xian圈quan的de交jiao流liu阻zu抗kang要yao比bi直zhi流liu阻zu抗kang大da。

本文小結
本ben文wen討tao論lun了le驅qu動dong高gao頻pin亥hai姆mu霍huo茲zi線xian圈quan的de三san種zhong方fang法fa。直zhi接jie驅qu動dong方fang法fa最zui簡jian單dan,但dan一yi般ban用yong於yu低di頻pin或huo低di電dian感gan場chang合he。使shi用yong串chuan聯lian諧xie振zhen方fang法fa驅qu動dong亥hai姆mu霍huo茲zi線xian圈quan可ke以yi產chan生sheng大da的de電dian流liu和he高gao頻pin磁ci場chang。創chuang新xin的de電dian流liu放fang大da諧xie振zhen法fa甚shen至zhi可ke以yi在zai高gao頻pin時shi產chan生sheng更geng強qiang的de磁ci場chang。
【推薦閱讀】
理解隔離器標準和認證以滿足安全性要求
高度集成的傳感器接口模擬前端簡化了傳感器調理
無位置傳感器無刷直流電機的換相方式研究
基於PWM模塊和CWG模塊的直流電機伺服係統設計
設計和選用電源模塊應考慮哪些性能參數
特別推薦
- 噪聲中提取真值!瑞盟科技推出MSA2240電流檢測芯片賦能多元高端測量場景
- 10MHz高頻運行!氮矽科技發布集成驅動GaN芯片,助力電源能效再攀新高
- 失真度僅0.002%!力芯微推出超低內阻、超低失真4PST模擬開關
- 一“芯”雙電!聖邦微電子發布雙輸出電源芯片,簡化AFE與音頻設計
- 一機適配萬端:金升陽推出1200W可編程電源,賦能高端裝備製造
技術文章更多>>
- 三星上演罕見對峙:工會集會討薪,股東隔街抗議
- 摩爾線程實現DeepSeek-V4“Day-0”支持,國產GPU適配再提速
- 築牢安全防線:智能駕駛邁向規模化應用的關鍵挑戰與破局之道
- GPT-Image 2:99%文字準確率,AI生圖告別“鬼畫符”
- 機器人馬拉鬆的勝負手:藏在主板角落裏的“時鍾戰爭”
技術白皮書下載更多>>
- 車規與基於V2X的車輛協同主動避撞技術展望
- 數字隔離助力新能源汽車安全隔離的新挑戰
- 汽車模塊拋負載的解決方案
- 車用連接器的安全創新應用
- Melexis Actuators Business Unit
- Position / Current Sensors - Triaxis Hall
熱門搜索
鑒頻器
江蘇商絡
交流電機
腳踏開關
接觸器接線
接近開關
接口IC
介質電容
介質諧振器
金屬膜電阻
晶體濾波器
晶體諧振器
晶體振蕩器
晶閘管
精密電阻
精密工具
景佑能源
聚合物電容
君耀電子
開發工具
開關
開關電源
開關電源電路
開關二極管
開關三極管
科通
可變電容
可調電感
可控矽
空心線圈

