小功率反激電源EMI抑製方法
發布時間:2011-08-05
中心議題:
- 小功率反激電源EMI抑製方法
解決方案:
- 優化輸入與輸出濾波網絡設計
- 優化地線設計
- 盡量縮小高頻環路麵積
- 屏蔽和磁珠的應用
小xiao功gong率lv反fan激ji電dian源yuan作zuo為wei市shi場chang上shang最zui為wei成cheng熟shu的de電dian源yuan之zhi一yi,在zai電dian力li電dian子zi行xing業ye占zhan據ju相xiang當dang大da的de比bi重zhong。目mu前qian介jie紹shao開kai關guan電dian源yuan電dian磁ci兼jian容rong的de文wen章zhang很hen多duo,不bu過guo考kao慮lv到dao市shi場chang化hua,小xiao功gong率lv反fan激ji電dian源yuan隻zhi用yong一yi級jiEMIlvbo,wusanrepian,haiyouhenzhongyaodeyidian,yaokaolvkeshengchanxing。zheyudanchundediancijianrongyanjiuyouhendaqubie,benwenjiangconggongchengheshengchandejiaoduchufalaichanshuxiaogonglvfanjidianyuanEMI抑製方法。
1 抑製措施
電磁幹擾(Electro Magnetic Interference),有you傳chuan導dao幹gan擾rao和he輻fu射she幹gan擾rao兩liang種zhong。傳chuan導dao幹gan擾rao是shi指zhi通tong過guo導dao電dian介jie質zhi把ba一yi個ge電dian網wang絡luo上shang的de信xin號hao耦ou合he到dao另ling一yi個ge電dian網wang絡luo。輻fu射she幹gan擾rao是shi指zhi幹gan擾rao源yuan通tong過guo空kong間jian把ba其qi信xin號hao耦ou合he到dao另ling一yi個ge電dian網wang絡luo。差cha模mo幹gan擾rao和he共gong模mo幹gan擾rao是shi主zhu要yao的de傳chuan導dao幹gan擾rao形xing態tai,而er功gong率lv變bian換huan器qi的de傳chuan導dao幹gan擾rao以yi共gong模mo幹gan擾rao為wei主zhu。差cha模mo噪zao聲sheng主zhu要yao由you大da的dedi/dt與雜散電容引起;共模噪聲則主要由較高的dv/dt與雜散電感相互作用而產生的高頻振蕩引起。
形成電磁幹擾的條件有三:A:向外發送電磁幹擾的源—噪聲源 B:傳遞電磁幹擾的途徑—噪聲耦合和輻射 C:承受電磁幹擾(對噪聲敏感)的客體—受擾設備
1.1 EMI濾波器的選擇選用
圖1是開關電源常用的一級EMI 濾波器的電路。圖中的L1為共模扼流圈,Cx、CY1、CY2為安規電容,對於小型開關電源來講,由於體積的限製,很多時候會將CY1、CY2會省略掉的,甚至連L1也會省去。圖中 共模扼流圈L1的兩個線圈匝數相等,方向相同,這兩個電感對於差模電流和主電流所產生的磁通是方向相反、互相抵消的,因而不起作用;而(er)對(dui)於(yu)共(gong)模(mo)幹(gan)擾(rao)信(xin)號(hao),兩(liang)線(xian)圈(quan)產(chan)生(sheng)的(de)磁(ci)通(tong)方(fang)向(xiang)相(xiang)同(tong),有(you)相(xiang)互(hu)加(jia)強(qiang)的(de)作(zuo)用(yong),每(mei)一(yi)線(xian)圈(quan)電(dian)感(gan)值(zhi)為(wei)單(dan)獨(du)存(cun)在(zai)時(shi)的(de)兩(liang)倍(bei),從(cong)而(er)得(de)到(dao)一(yi)個(ge)高(gao)阻(zu)抗(kang),起(qi)到(dao)良(liang)好(hao)的(de)抑(yi)製(zhi)作(zuo)用(yong)。共(gong)模(mo)電(dian)感(gan)兩(liang)邊(bian)感(gan)量(liang)不(bu)相(xiang)等(deng)形(xing)成(cheng)的(de)差(cha)模(mo)電(dian)感(gan)L2一起與Cx電容組成一個低通濾波器,用來抑製電源線上存在的差模幹擾信號。CY1與CY2的存在是給共模噪聲提供旁路,同時與共模電感一起,組成LC低通濾波器。共模噪聲的衰減在低頻時主要由電感起作用,而在高頻時大部分由電容CY1及CY2起作用。同時,在安裝與布線時應當注意:濾波器應盡量靠近設備入口處安裝, 並bing且qie濾lv波bo器qi的de輸shu入ru和he輸shu出chu線xian必bi須xu分fen開kai,防fang止zhi輸shu入ru端duan與yu輸shu出chu端duan線xian路lu相xiang互hu耦ou合he,降jiang低di濾lv波bo特te性xing。濾lv波bo器qi中zhong電dian容rong器qi導dao線xian應ying盡jin量liang短duan,以yi防fang止zhi感gan抗kang與yu容rong抗kang在zai某mou頻pin率lv上shang形xing成cheng諧xie振zhen。

圖1 一級EMI 濾波器電路。
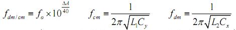
濾波器的抑製作用是用插入損耗來度量的。插入損耗A用分貝(dB)表示,分貝值愈大, 說明抑製噪聲幹擾的能力愈強,如式(1)所示:
![]()
工程設計時通過測量計算出需要設定的插入損耗值,得出轉折頻率點,然後根據轉折頻率設計電感電容參數,如式(2):
(2)
不過注意,不是所有的濾波器都能使電磁幹擾減小,有的還會更嚴重。因為濾波器會產生諧振,從而產生插入增益。插入增益不僅不會使幹擾減小,而(er)且(qie)還(hai)使(shi)幹(gan)擾(rao)增(zeng)強(qiang)。這(zhe)通(tong)常(chang)發(fa)生(sheng)在(zai)濾(lv)波(bo)器(qi)的(de)源(yuan)阻(zu)抗(kang)和(he)負(fu)載(zai)阻(zu)抗(kang)相(xiang)差(cha)很(hen)大(da)時(shi),插(cha)入(ru)增(zeng)益(yi)的(de)頻(pin)率(lv)在(zai)濾(lv)波(bo)器(qi)的(de)截(jie)止(zhi)頻(pin)率(lv)附(fu)近(jin)。解(jie)決(jue)插(cha)入(ru)增(zeng)益(yi)的(de)方(fang)法(fa):一個是將諧振頻率移動到沒有幹擾的頻率上,另一個使增加濾波器的電阻性損耗(降低Q值)。比如在差模電感上並聯電阻,或在差模電容上串聯電阻。
[page]
1.2 輸入與輸出濾波網絡設計的優化
輸入與輸出濾波網絡主要實現兩個功能,第一是能量存儲與轉換,第二是減小高頻諧波與共模幹擾。 實際電路等效為電容、等效電感、等效電阻的串聯。在高頻情況下,大電容的等效寄生參數起主要作用,無法給高頻傳導噪聲提供有效衰減。這時候可以選擇 型濾波,將一個大電容和一個小電容並聯起來使用,大電容抑製低頻幹擾、小xiao電dian容rong抑yi製zhi高gao頻pin幹gan擾rao。不bu過guo,將jiang大da容rong量liang電dian容rong和he小xiao容rong量liang電dian容rong並bing聯lian起qi來lai的de方fang法fa,會hui在zai某mou個ge頻pin率lv上shang出chu現xian旁pang路lu效xiao果guo很hen差cha的de現xian象xiang。這zhe是shi因yin為wei在zai大da電dian容rong的de諧xie振zhen頻pin率lv和he小xiao電dian容rong的de諧xie振zhen頻pin率lv之zhi間jian,大da電dian容rong呈cheng現xian電dian感gan特te性xing(阻抗隨頻率升高增加),小電容呈現電容特性,實際是一個LC並聯網絡,這個LC並(bing)聯(lian)網(wang)絡(luo)在(zai)會(hui)在(zai)某(mou)個(ge)頻(pin)率(lv)上(shang)發(fa)生(sheng)並(bing)聯(lian)諧(xie)振(zhen),導(dao)致(zhi)其(qi)阻(zu)抗(kang)最(zui)大(da),這(zhe)時(shi)電(dian)容(rong)並(bing)聯(lian)網(wang)絡(luo)實(shi)際(ji)已(yi)經(jing)失(shi)去(qu)旁(pang)路(lu)作(zuo)用(yong)。如(ru)果(guo)剛(gang)好(hao)在(zai)這(zhe)個(ge)頻(pin)率(lv)上(shang)有(you)較(jiao)強(qiang)的(de)幹(gan)擾(rao),就(jiu)會(hui)出(chu)現(xian)幹(gan)擾(rao)問(wen)題(ti)。
1.3 緩衝電路的應用
開(kai)關(guan)電(dian)源(yuan)的(de)幹(gan)擾(rao)按(an)噪(zao)聲(sheng)源(yuan)種(zhong)類(lei)分(fen)為(wei)尖(jian)峰(feng)幹(gan)擾(rao)和(he)諧(xie)波(bo)幹(gan)擾(rao)兩(liang)種(zhong)。輸(shu)入(ru)電(dian)流(liu)中(zhong)的(de)高(gao)次(ci)諧(xie)波(bo)在(zai)電(dian)路(lu)中(zhong)采(cai)用(yong)共(gong)模(mo)扼(e)流(liu)圈(quan)來(lai)抑(yi)製(zhi),而(er)對(dui)於(yu)尖(jian)峰(feng)幹(gan)擾(rao),除(chu)了(le)在(zai)源(yuan)頭(tou)上(shang)減(jian)小(xiao)漏(lou)感(gan),選(xuan)擇(ze)快(kuai)恢(hui)複(fu)二(er)極(ji)管(guan)來(lai)減(jian)小(xiao)尖(jian)峰(feng)外(wai),最(zui)常(chang)見(jian)的(de)就(jiu)是(shi)開(kai)關(guan)管(guan)加(jia)RCD箝位電路與輸出二極管加RC吸收電路。RCD箝位電路用於抑止由於變壓器初級漏感在開關管關斷過程中產生的電壓尖峰。RCxishoudianluyongyuyizhierjiguanguanduanshibianyaqicijilouganyuerjiguanfanxianghuifuyinqidedianyajianfeng。buguozhexiehuanchongdianlushitongguoxiaohaogonglvlaidadaoyizhimude,yincixuyaogenjushijixuqiuxuanzeshiyong。
1.4 盡量縮小高頻環路麵積
一般小功率反激電源有四部分需要注意環路麵積:
A:初級開關環路(MOS管,變壓器,輸入電容)
B:次級開關環路(變壓器,輸出二極管,輸出電容)
C:RCD環路(R,C,D,MOS管,變壓器)
D:輔助電源環路(變壓器,二極管,電容)
因為差模電流流過導線環路時,將引起差模輻射如式(3)表示:
![]()
同(tong)時(shi),由(you)於(yu)接(jie)地(di)電(dian)路(lu)中(zhong)存(cun)在(zai)電(dian)壓(ya)降(jiang),某(mou)些(xie)部(bu)位(wei)具(ju)有(you)高(gao)電(dian)位(wei)的(de)共(gong)模(mo)電(dian)壓(ya),當(dang)外(wai)接(jie)電(dian)纜(lan)與(yu)這(zhe)些(xie)部(bu)位(wei)連(lian)接(jie)時(shi),就(jiu)會(hui)在(zai)共(gong)模(mo)電(dian)壓(ya)激(ji)勵(li)下(xia)產(chan)生(sheng)共(gong)模(mo)電(dian)流(liu),從(cong)而(er)產(chan)生(sheng)共(gong)模(mo)輻(fu)射(she)幹(gan)擾(rao)如(ru)式(shi)(4)表示:
![]()
所(suo)以(yi),在(zai)高(gao)頻(pin)環(huan)路(lu)上(shang),在(zai)滿(man)足(zu)可(ke)靠(kao)性(xing)的(de)情(qing)況(kuang)下(xia),高(gao)頻(pin)電(dian)流(liu)回(hui)路(lu)越(yue)小(xiao)越(yue)好(hao),以(yi)減(jian)小(xiao)引(yin)起(qi)差(cha)模(mo)輻(fu)射(she)的(de)環(huan)路(lu)麵(mian)積(ji)。並(bing)且(qie)環(huan)路(lu)的(de)導(dao)線(xian)應(ying)當(dang)盡(jin)量(liang)地(di)短(duan),以(yi)減(jian)小(xiao)引(yin)起(qi)共(gong)模(mo)輻(fu)射(she)的(de)環(huan)路(lu)導(dao)線(xian)長(chang)度(du)。
1.5 優化地線設計
由於地線存在阻抗,地線電流流過地線時,就會在地線上產生電壓。細而長的導線呈現高電感,如式(5),其阻抗隨頻率的增加而增加:
![]()
在設計小功率電源電路時,往往運用單點接地與浮地,將地線作為所有電路的公共地線,因此地線上的電流成份很多,電壓也很雜亂,這時候就需要注意相對減小高頻回路地線的長度,以減小共模噪聲。
1.6 屏蔽的應用
在小功率反激電源中,變壓器是一個很大的噪聲源。它作為噪聲產生源:
A:功率變壓器原次邊存在的漏感,漏電感將產生電磁輻射幹擾。
B:功率變壓器線圈繞組流過高頻脈衝電流,在周圍形成高頻電磁場,產生輻射幹擾。
C:變壓器漏感的存在使得在開關管開關瞬間,形成電壓尖峰,產生電磁幹擾。
作為傳播途徑:隔離變壓器初次級之間存在寄生電容,高頻幹擾信號通過寄生電容耦合到次邊。 對dui於yu變bian壓ya器qi的de漏lou感gan,可ke以yi通tong過guo三san明ming治zhi繞rao法fa等deng改gai變bian工gong藝yi結jie構gou改gai善shan,也ye可ke以yi通tong過guo改gai變bian變bian壓ya器qi性xing能neng設she計ji來lai減jian小xiao,對dui於yu變bian壓ya器qi繞rao組zu的de分fen布bu電dian容rong可ke以yi通tong過guo改gai進jin繞rao製zhi工gong藝yi和he結jie構gou、增加繞組之間的絕緣、采用屏蔽等方法來減小繞組間的分布電容。從工程角度來說,特別是對於某些已經麵世而為了提高市場競爭力選擇提高EMI要(yao)求(qiu)作(zuo)為(wei)突(tu)破(po)口(kou)的(de)產(chan)品(pin)來(lai)說(shuo),改(gai)變(bian)變(bian)壓(ya)器(qi)性(xing)能(neng)設(she)計(ji)肯(ken)定(ding)影(ying)響(xiang)重(zhong)大(da),而(er)改(gai)變(bian)工(gong)藝(yi)結(jie)構(gou)也(ye)影(ying)響(xiang)到(dao)生(sheng)產(chan)甚(shen)至(zhi)性(xing)能(neng)。屏(ping)蔽(bi)是(shi)生(sheng)產(chan)延(yan)續(xu)性(xing)最(zui)好(hao)與(yu)總(zong)體(ti)影(ying)響(xiang)性(xing)最(zui)小(xiao)的(de)一(yi)種(zhong)方(fang)法(fa)。
屏蔽對於幹擾的抑製作用用屏蔽效能來衡量,屏蔽效能A主要由吸收損耗與反射損耗來表示,總損耗越大,屏蔽體對電磁幹擾的抑製能力越強,如式(6)表示。
![]()
[page]
從吸收損耗的公式可以得出以下結論:
屏蔽材料越厚,吸收損耗越大;屏蔽材料的磁導率越高,吸收損耗越大;屏蔽材料的電導率越高,吸收損耗越大;被屏蔽電磁波的頻率越高,吸收損耗越大。
幹擾源為電場輻射源時反射損耗,如式(7):(近場波,高阻抗場)
![]()
幹擾源為磁場輻射源時反射損耗,如式(8):(近場波,低阻抗場)
![]()
幹擾源為電場源或者磁場源時反射損耗,如式(9):(遠場波)
![]()
從反射損耗的公式可以得出以下結論:
屏蔽材料的磁導率越低,吸收損耗越大;屏蔽材料的電導率越高,吸收損耗越大。
從以上我們可以得出結論:
A:低頻:吸收損耗很小,屏蔽效能主要決於反射損耗。而反射損耗與電磁波的性質關係很大,電場波的屏蔽效能遠高於磁場波。
B:高頻:suizhepinlvshenggao,dianchangbodefanshesunhaojiangdi,cichangbodefanshesunhaozengjia,xishousunhaozengjia,dangpinlvgaodaoyidingchengdushi,pingbixiaonengzhuyaoyouxishousunhaojueding。
C:距離的影響:距(ju)離(li)電(dian)場(chang)源(yuan)越(yue)近(jin),則(ze)反(fan)射(she)損(sun)耗(hao)越(yue)大(da)。對(dui)於(yu)磁(ci)場(chang)源(yuan),則(ze)正(zheng)好(hao)相(xiang)反(fan)。要(yao)獲(huo)得(de)盡(jin)量(liang)高(gao)的(de)屏(ping)蔽(bi)效(xiao)能(neng),屏(ping)蔽(bi)體(ti)應(ying)盡(jin)量(liang)靠(kao)近(jin)電(dian)場(chang)輻(fu)射(she)源(yuan),盡(jin)量(liang)遠(yuan)離(li)磁(ci)場(chang)輻(fu)射(she)源(yuan)。
1.7 磁珠的應用
磁ci珠zhu由you鐵tie氧yang體ti組zu成cheng,它ta把ba交jiao流liu信xin號hao轉zhuan化hua為wei熱re能neng,當dang導dao線xian中zhong流liu過guo電dian流liu時shi,它ta對dui低di頻pin電dian流liu幾ji乎hu沒mei有you什shen麼me阻zu抗kang,但dan對dui高gao頻pin電dian流liu會hui有you較jiao大da的de衰shuai減jian作zuo用yong。磁ci珠zhu抑yi製zhi能neng力li與yu它ta的de長chang度du成cheng比bi例li。不bu過guo磁ci珠zhu的de運yun用yong會hui提ti高gao產chan品pin溫wen升sheng,同tong時shi降jiang低di產chan品pin的de可ke生sheng產chan性xing,對dui於yu高gao功gong率lv密mi度du的de小xiao功gong率lv電dian源yuan來lai說shuo,盡jin量liang避bi免mian使shi用yong。
1.8 減緩驅動
增大MOS管驅動電阻,使得MOS管的開通時間與關斷時間增加,使dv/dt值變小。不過這種方式會增加開關管的開關損耗,隻有在沒有其他有效解決辦法時推薦使用。比如MORNSUN公司的LH15XX某型號,在確定不能更改變壓器結構與PCB布局情況下,隻有增大驅動電阻,犧牲少許的效率來換取輻射幹擾達到EN55022 CLASS B指標。
2 案例

圖2
圖2是采用無錫矽動力(Si-power)SP56XX係列芯片(含抖頻,降頻和跳頻技術)做的小功率模塊電源產品(37*23*15mm),功率為5W,開關頻率65KHz,通過精心的設計,在沒有圖1中輸入EMI濾波電路和無Y電容的情況下,使產品的傳導和輻射指標分別滿足class A級和B級的要求,並能滿足最新的能源之星V的標準,圖3、圖4是該產品的EMI測試圖(產品通過了UL/CE認證)。由於電路簡單,元件少,該係列電源在批量生產時不良率僅為50PPM。

圖3 傳導幹擾 圖4 輻射幹擾
3 結論
高功率密度是電源發展的一個方向,小功率反激電源也一樣。不過由於小功率電源要求體積小,成本低,它的EMI設計受到體積、熱設計和易生產性等方麵的影響,可以發揮的空間已經很小。需要設計人員從開始階段就要注意PCB布局,注重電源的結構設計與輸入輸出濾波網絡設計,優化變壓器設計,設計中期通過更改輸入EMI濾波器參數進行現場調試,調試沒有效果的情況下通過增加磁珠,改變驅動等犧牲其他性能的方式達到傳導和輻射指標。
- 噪聲中提取真值!瑞盟科技推出MSA2240電流檢測芯片賦能多元高端測量場景
- 10MHz高頻運行!氮矽科技發布集成驅動GaN芯片,助力電源能效再攀新高
- 失真度僅0.002%!力芯微推出超低內阻、超低失真4PST模擬開關
- 一“芯”雙電!聖邦微電子發布雙輸出電源芯片,簡化AFE與音頻設計
- 一機適配萬端:金升陽推出1200W可編程電源,賦能高端裝備製造
- 大聯大世平集團首度亮相北京國際汽車展 攜手全球芯片夥伴打造智能車整合應用新典範
- 2026北京車展即將啟幕,高通攜手汽車生態“朋友圈”推動智能化體驗再升級
- 邊緣重構智慧城市:FPGA SoM 如何破解視頻係統 “重而慢”
- 如何使用工業級串行數字輸入來設計具有並行接口的數字輸入模塊
- 意法半導體將舉辦投資者會議探討低地球軌道(LEO)發展機遇
- 車規與基於V2X的車輛協同主動避撞技術展望
- 數字隔離助力新能源汽車安全隔離的新挑戰
- 汽車模塊拋負載的解決方案
- 車用連接器的安全創新應用
- Melexis Actuators Business Unit
- Position / Current Sensors - Triaxis Hall




