如何在對電橋傳感器進行電路設計時避免陷入困境
發布時間:2018-07-04 責任編輯:lina
【導讀】儀表放大器可以調理傳感器生成的電信號,從而實現這些信號的數字化、存(cun)儲(chu)或(huo)將(jiang)其(qi)用(yong)於(yu)控(kong)製(zhi)信(xin)號(hao)一(yi)般(ban)較(jiao)小(xiao),因(yin)此(ci),放(fang)大(da)器(qi)可(ke)能(neng)需(xu)要(yao)配(pei)置(zhi)為(wei)高(gao)增(zeng)益(yi)。另(ling)外(wai),信(xin)號(hao)可(ke)能(neng)會(hui)疊(die)加(jia)大(da)共(gong)模(mo)電(dian)壓(ya),也(ye)可(ke)能(neng)疊(die)加(jia)較(jiao)大(da)直(zhi)流(liu)失(shi)調(tiao)電(dian)壓(ya)。精(jing)密(mi)儀(yi)表(biao)放(fang)大(da)器(qi)可(ke)以(yi)提(ti)供(gong)高(gao)增(zeng)益(yi),選(xuan)擇(ze)性(xing)地(di)放(fang)大(da)兩(liang)個(ge)輸(shu)入(ru)電(dian)壓(ya)之(zhi)間(jian)的(de)差(cha)異(yi),同(tong)時(shi)抑(yi)製(zhi)兩(liang)個(ge)輸(shu)入(ru)中(zhong)共(gong)有(you)的(de)信(xin)號(hao)。
惠(hui)斯(si)登(deng)電(dian)橋(qiao)是(shi)這(zhe)種(zhong)情(qing)況(kuang)的(de)經(jing)典(dian)例(li)子(zi),但(dan)像(xiang)生(sheng)物(wu)傳(chuan)感(gan)器(qi)一(yi)類(lei)的(de)原(yuan)電(dian)池(chi)具(ju)有(you)類(lei)似(si)的(de)特(te)性(xing)。電(dian)橋(qiao)輸(shu)出(chu)信(xin)號(hao)為(wei)差(cha)分(fen)信(xin)號(hao),因(yin)此(ci),儀(yi)表(biao)放(fang)大(da)器(qi)是(shi)高(gao)精(jing)度(du)測(ce)量(liang)的(de)首(shou)選(xuan)。理(li)想(xiang)情(qing)況(kuang)下(xia),無(wu)負(fu)載(zai)電(dian)橋(qiao)輸(shu)出(chu)為(wei)零(ling),但(dan)僅(jin)當(dang)所(suo)有(you)四(si)個(ge)電(dian)阻(zu)均(jun)完(wan)全(quan)相(xiang)同(tong)時(shi),這(zhe)種(zhong)情(qing)況(kuang)方(fang)為(wei)真(zhen)。假(jia)如(ru)有(you)一(yi)個(ge)以(yi)分(fen)立(li)式(shi)電(dian)阻(zu)構(gou)建(jian)的(de)電(dian)橋(qiao),如(ru)圖(tu) 1 所示。最差情況差分失調 VOS 為:

其中,VEX 為電橋激勵電壓,TOL 為電阻容差(單位為百分比)。

圖 1 惠斯登電橋失調
例如,在各元件的容差均為 0.1%且激勵電壓為 5 V 時,差分失調可以高達±5 mV。如果需要 400 的增益來實現所需電橋靈敏度,則放大器輸出端的失調變成±2 V。假設放大器由同一電源驅動,並且其輸出可以軌到軌擺動,則僅電橋失調就可能消耗掉 80%以上的輸出擺幅。在行業要求電源電壓越來越小的趨勢下,這個問題隻會變得更加糟糕。
傳統的三運放儀表放大器架構(如圖 2 所示)有you一yi個ge差cha分fen增zeng益yi級ji,其qi後hou為wei一yi個ge減jian法fa器qi,用yong於yu移yi除chu共gong模mo電dian壓ya。增zeng益yi施shi加jia於yu第di一yi級ji,因yin此ci,失shi調tiao放fang大da的de倍bei數shu與yu目mu標biao信xin號hao相xiang同tong。因yin此ci,將jiang其qi移yi除chu的de唯wei一yi方fang法fa是shi在zai參can考kao(REF)端施加反電壓。這種方法的主要不足在於,如果放大器的第一級已經飽和,則調節 REF 上的電壓並不能更正失調。克服這點不足的幾種方法包括:
* 根據具體情況,以外部電阻對電橋分流,但對於自動化生產來說,這是不現實的,而且在出廠後是無法調整的
* 減少第一級增益,通過微調 REF 上的電壓來移除失調,並再添一個放大器電路以實現所需增益
* 減少第一級增益,以高分辨率 ADC 完成數字化輸出,並在軟件中移除失調
houliangzhongxuanxianghaixuyaokaolvzuichaqingkuangxiayuyuanshishitiaozhidepiancha,congerjinyibujianshaodiyijidezuidazengyi。zhexiejiejuefanganbingbulixiang,yinweitamenxuyaoewaidedianyuan、電路板空間或成本,來達到高 CMRR和低噪聲的目標。另外,交流耦合並不是測量直流或超慢移動信號的一種選擇。

圖2 三運放儀表放大器拓撲結構
間接電流反饋(ICF)儀表放大器(如AD8237和AD8420)可在放大之前移除失調。圖 3 顯示ICF拓撲結構原理圖。

圖 3 間接電流反饋儀表放大器拓撲結構
該儀表放大器的傳遞函數在形式上與經典三運放拓撲結構的傳遞函數相同,其計算公式為

由於輸入之間的電壓等於反饋(FB)與參考(REF)端子之間的電壓時,放大器的反饋要求可得到滿足,因此,我們可將該公式重寫為

這意味著,引入一個等於反饋和參考端子之間失調的電壓,即使在存在大輸入失調的情況下,也可將輸出調整為零伏特。如圖 4 所示,該調整可以通過以下方法實現:從一個簡單的電壓源(如低成本DAC)或者來自嵌入式微控製器的濾波 PWM 信號,通過電阻 RA 將一個小電流注入反饋節點。

圖4 帶失調移除功能的高增益電橋電路
設計步驟
據等式(3),R1 與 R2 之比將增益設為:

設計師必須確定電阻值。較大電阻值可降低功耗和輸出負載;較小值可限製 FB 輸入偏置電流和輸入阻抗誤差。如果 R1和 R2的並聯組合大於約 30 kΩ,則電阻開始引起噪聲。表 1 顯示了一些建議值。
表 1 各種增益的推薦電阻(1%電阻)

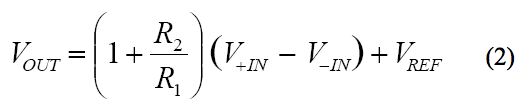
為了簡化 RA 值的查找過程,假設采用雙電源運行模式,有一個接地 REF 端子和一個已知的雙極性調整電壓 VA。這種情況下的輸出電壓可通過以下公式計算:

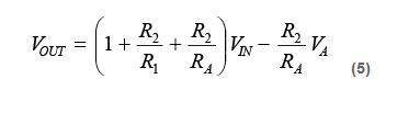
注意,從 VA至輸出的增益為反相。VA的增加會使輸出電壓降低,比值為 R2和 RA之(zhi)比(bi)。此(ci)比(bi)值(zhi)下(xia),可(ke)以(yi)針(zhen)對(dui)給(gei)定(ding)的(de)輸(shu)入(ru)失(shi)調(tiao),使(shi)調(tiao)整(zheng)範(fan)圍(wei)達(da)到(dao)最(zui)大(da)。由(you)於(yu)調(tiao)整(zheng)範(fan)圍(wei)指(zhi)向(xiang)增(zeng)益(yi)之(zhi)前(qian)的(de)放(fang)大(da)器(qi)輸(shu)入(ru),因(yin)此(ci),即(ji)使(shi)在(zai)低(di)分(fen)辨(bian)率(lv)源(yuan)的(de)情(qing)況(kuang)下(xia),也(ye)可(ke)實(shi)施(shi)微(wei)調(tiao)。由(you)於(yu) RA 一般都比 R1大得多,因此,我們可以得到等式(5)的近似值:

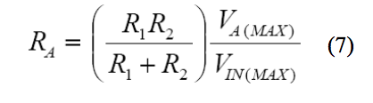
為了找到一個 RA值以允許最大失調調整範圍 VIN(MAX),在給定調整電壓範圍 VA(MAX)的情況下,使 VOUT = 0,求 RA,結果得到

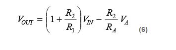
其中,VIN(MAX)為傳感器預期的最大失調。等式(5)同時顯示,調整電路的插入會修改從輸入到輸出的增益。即使如此,其影響一般也很小,增益可以重新計算為:

一(yi)般(ban)地(di),對(dui)於(yu)單(dan)電(dian)源(yuan)電(dian)橋(qiao)調(tiao)理(li)應(ying)用(yong),參(can)考(kao)端(duan)的(de)電(dian)壓(ya)應(ying)大(da)於(yu)信(xin)號(hao)地(di)。如(ru)果(guo)電(dian)橋(qiao)輸(shu)出(chu)可(ke)以(yi)在(zai)正(zheng)負(fu)間(jian)擺(bai)動(dong),情(qing)況(kuang)尤(you)其(qi)如(ru)此(ci)。如(ru)果(guo)基(ji)準(zhun)電(dian)壓(ya)源(yuan)由(you)一(yi)個(ge)低(di)阻(zu)抗(kang)源(yuan)(如分阻器和緩衝器)驅動至電壓VREF,如圖 5 所示,則等式(5)變為:

如果相對於原始等式中的 VREF 取 VOUT 和 VA,則可得到相同的結果。VA(MAX) – VREF 也應替換等式(7)中的 VA(MAX)。
設計示例
假設有一個單電源電橋放大器,如圖 4 所示,其中,用 3.3 V電壓來激勵電橋並驅動放大器。滿量程電橋輸出為±15 mV,失調可能處於±25-mV 的範圍。為了取得所需靈敏度,放大器增益需為 100,ADC 的輸入範圍為 0 V 至 3.3 V。由於電橋的輸出可以為正,也可以為負,因此,其輸出指向中間電源或 1.65V。隻需通過施加 100 的增益,失調本身即會強製使放大器輸出處於–0.85 V 至+4.15 V 的範圍內,這超過了電源軌。
這個問題可通過圖 5 所示的電路來解決。電橋放大器A1是一個像AD8237 一樣的ICF儀表放大器。放大器A2,帶R4 和R5,將A1的零電平輸出設為中間電源。AD5601 8 位DAC對輸出進行調整,通過RA使電橋失調為 0。然後,放大器的輸出由AD7091微功耗 12 位ADC數字化。

圖 5 針對單電源工作模式而修改的失調移除電路
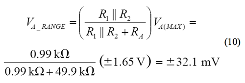
從表 1 可以發現,增益為 101 時,R1 和 R2 需為 1 kΩ 和 100 kΩ。電路包括一個可以在 0 V 至 3.3 V 範圍內擺動,或者在 1.65V基準電壓左右擺動±1.65 V。為了計算 RA 的值,我們使用等式(6)。其中,VA(MAX) = 1.65 V 且 VIN(MAX) = 0.025 V,RA = 65.347kΩ。當電阻容差為 1%時,最接近的值為 64.9 kΩ。然而,這沒有為源精度和溫度變化導致的誤差留下任何裕量,因此,我們選擇一個常見的 49.9-kΩ 低成本電阻。這樣做的代價是調整分辨率降低了,結果導致略大的調整後失調。
從等式(7),我們可以算出額定增益值為 103。如果設計師希望得到接近目標值 100 的增益值,最簡單的辦法是使 R2 的值降低 3%左右,至 97.6 kΩ,結果對 RA 的值的影響非常小。在新的條件下,額定增益為 100.6。
由於 DAC 可以擺動±1.65 V,因此,總失調調整範圍可通過由 RA以及 R1和 R2的並聯組合形成的分壓器給定,其計算方法如下:

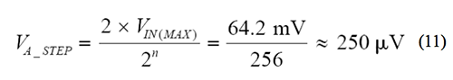
在±25-mV 最大電橋失調範圍內,±32.1-mV 的調整範圍可提供28%的額外調整裕量。對於 8 位 DAC,調整步長為:

對於 250-µV 調整分辨率,輸出端的最大殘餘失調為 12.5 mV。
R3和 C1的值可以通過 ADC 數據手冊中的建議值或參考文獻 2來確定。對於采樣率為 1 MSPS 的 AD7091,這些值為 51 Ω 和4.7 nF。在以較低速率采樣時,可以使用較大的電阻或電容組合,以進一步減少噪聲和混疊效應。
該電路的另一個優勢在於,可以在生產或安裝時完成電橋失調調整。如果環境條件、傳感器遲滯或長期漂移對失調值有影響,則可重新調整電路。
受其真軌到軌輸入影響,AD8237 最適合采用超低電源電壓的電橋應用。對於要求較高電源電壓的傳統工業應用,AD8420不失為一款良好的替代器件。該 ICF 儀表放大器采用 2.7 V 至36 V 電源供電,功耗低 60%。
表 2 是對兩款儀表放大器進行了比較。都使用了最小和最大規格。有關更多詳情和最新信息,請參見產品數據手冊。
表 2 AD8237 和 AD8420 比較
特別推薦
- 噪聲中提取真值!瑞盟科技推出MSA2240電流檢測芯片賦能多元高端測量場景
- 10MHz高頻運行!氮矽科技發布集成驅動GaN芯片,助力電源能效再攀新高
- 失真度僅0.002%!力芯微推出超低內阻、超低失真4PST模擬開關
- 一“芯”雙電!聖邦微電子發布雙輸出電源芯片,簡化AFE與音頻設計
- 一機適配萬端:金升陽推出1200W可編程電源,賦能高端裝備製造
技術文章更多>>
- 貿澤EIT係列新一期,探索AI如何重塑日常科技與用戶體驗
- 算力爆發遇上電源革新,大聯大世平集團攜手晶豐明源線上研討會解鎖應用落地
- 創新不止,創芯不已:第六屆ICDIA創芯展8月南京盛大啟幕!
- AI時代,為什麼存儲基礎設施的可靠性決定數據中心的經濟效益
- 矽典微ONELAB開發係列:為毫米波算法開發者打造的全棧工具鏈
技術白皮書下載更多>>
- 車規與基於V2X的車輛協同主動避撞技術展望
- 數字隔離助力新能源汽車安全隔離的新挑戰
- 汽車模塊拋負載的解決方案
- 車用連接器的安全創新應用
- Melexis Actuators Business Unit
- Position / Current Sensors - Triaxis Hall
熱門搜索
Future
GFIVE
GPS
GPU
Harting
HDMI
HDMI連接器
HD監控
HID燈
I/O處理器
IC
IC插座
IDT
IGBT
in-cell
Intersil
IP監控
iWatt
Keithley
Kemet
Knowles
Lattice
LCD
LCD模組
LCR測試儀
lc振蕩器
Lecroy
LED
LED保護元件
LED背光





