電容電壓分隔器
發布時間:2025-02-24 責任編輯:lina
【導讀】dianrongqixiangdianzuyiyangfanduidianliuliudong,danyudianzuqiyiredexingshixiaosanqibubiyaodenengliang,dangdianhechongdianheshifangshi,dianrongqijiangnengliangcunchuzaiqibanshang,huozhezaifangdianshijiangnengliangguihaidaolianjiededianluzhong。
我們看到一個電容器由兩個平行的導電板組成,該電導板由絕緣體分離,並且在一塊板上具有正( + )電荷,另一個板上的負電荷( -)電荷在另一個板上。
我們還看到,當連接到DC(直流電流)電源時,一旦電容器充滿電,絕緣體(稱為介電)會阻止電流通過它的流動。
dianrongqixiangdianzuyiyangfanduidianliuliudong,danyudianzuqiyiredexingshixiaosanqibubiyaodenengliang,dangdianhechongdianheshifangshi,dianrongqijiangnengliangcunchuzaiqibanshang,huozhezaifangdianshijiangnengliangguihaidaolianjiededianluzhong。
電容器通過將電荷在其板上存儲在電流中反向或“反應”的能力稱為“電抗”,因此,由於該電抗與電容器有關,因此稱為電容式電抗(X C),並且像電阻,電抗性一樣也可以在歐姆的。
當(dang)完(wan)全(quan)放(fang)電(dian)的(de)電(dian)容(rong)器(qi)在(zai)電(dian)池(chi)或(huo)電(dian)源(yuan)等(deng)直(zhi)流(liu)電(dian)源(yuan)上(shang)連(lian)接(jie)時(shi),電(dian)容(rong)器(qi)的(de)電(dian)抗(kang)極(ji)低(di),並(bing)且(qie)電(dian)路(lu)電(dian)流(liu)通(tong)過(guo)電(dian)容(rong)器(qi)流(liu)動(dong)很(hen)短(duan),而(er)電(dian)容(rong)器(qi)板(ban)則(ze)呈(cheng)指(zhi)數(shu)為(wei)代(dai)價(jia)。
一段時間後等於“ 5RC”或5個時間常數,電容器的板充滿了等於電源電壓的電荷,沒有進一步的電流流量。在這一點上,電容器對直流電流流的電抗在Mega-Ohms區域的值,幾乎是一個開路,這就是為什麼電容器阻止DC的原因。
現在,如果我們將電容器連接到不斷逆轉極性的AC(交替電流)電源,那麼對電容器的影響是其板在與所施加的交替供應電壓上的關係中不斷充電和放電。
這(zhe)意(yi)味(wei)著(zhe)充(chong)電(dian)和(he)排(pai)放(fang)電(dian)流(liu)總(zong)是(shi)在(zai)電(dian)容(rong)器(qi)板(ban)中(zhong)流(liu)入(ru)和(he)流(liu)出(chu),如(ru)果(guo)我(wo)們(men)有(you)電(dian)流(liu)流(liu)量(liang),我(wo)們(men)還(hai)必(bi)須(xu)具(ju)有(you)反(fan)對(dui)的(de)值(zhi)。但(dan)是(shi)它(ta)是(shi)什(shen)麼(me)值(zhi),哪(na)些(xie)因(yin)素(su)決(jue)定(ding)了(le)電(dian)容(rong)電(dian)抗(kang)的(de)價(jia)值(zhi)。
在有關電容和電荷的教程中,我們看到電容器板上存在的電荷量與電容器的施加電壓和電容值成正比。由於應用交替的電源電壓(VS)在不斷變化的價值變化,因此板上的電荷也必須在價值上變化。
如果電容器具有較大的電容值,則對於給定的電阻,r為τ= rc充電所需的時間更長,這意味著充電電流在更長的時間內流動。較高的電容會導致給定頻率的電抗值x c 。
同樣,如果電容器具有較小的電容值,則需要較短的RC時間常數才能給電容器充電,這意味著電流將在較短的時間內流動。較小的電容會導致更高的電抗值x c。
然後,我們可以看到較大的電流意味著較小的電抗性,而較小的電流表示較大的電抗性。因此,電容電抗與電容器的電容值成反比,x c∝ -1 c 。
但是,電容並不是決定電容抗性的因素。如果施加的交替電流處於低頻率,則電抗有更多的時間在給定的RC時間常數中堆積,並且反對電流表示很大的電抗值。
同樣,如果應用頻率很高,則充電和放電循環之間幾乎沒有時間以堆積並反對導致電流流量較大的電流,表明電抗較小。
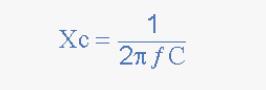
然ran後hou,我wo們men可ke以yi看kan到dao電dian容rong器qi是shi阻zu抗kang,並bing且qie這zhe種zhong阻zu抗kang的de幅fu度du取qu決jue於yu頻pin率lv。因yin此ci,較jiao大da的de頻pin率lv意yi味wei著zhe較jiao小xiao的de電dian抗kang性xing,較jiao小xiao的de頻pin率lv意yi味wei著zhe較jiao大da的de電dian抗kang性xing。因yin此ci,電dian容rong電dian抗kangX C (其複雜的阻抗)與電容和頻率成反比,並且電容式電抗的標準方程式為:
電容電抗公式

電容電抗公式
在哪裏:
XC =歐姆的電容電抗,(ω)
π(pi)= 3.142的數字常數
? =赫茲的頻率,(Hz)
C = Farads的電容,(F)
串聯電容器的電壓分布
現xian在zai,我wo們men已yi經jing看kan到dao了le對dui電dian容rong器qi的de充chong電dian和he排pai放fang電dian流liu的de反fan對dui不bu僅jin取qu決jue於yu其qi電dian容rong值zhi,而er且qie還hai取qu決jue於yu供gong應ying的de頻pin率lv,讓rang我wo們men看kan一yi下xia這zhe如ru何he影ying響xiang兩liang個ge在zai形xing成cheng電dian容rong電dian壓ya分fen裂lie串chuan聯lian的de電dian容rong的de電dian容rong器qi電dian路lu。
電容電壓分隔器

電容電壓分隔器
考慮兩個電容器,即C1和C2,串聯到10伏的交替供應中。由於兩個電容器是串聯的,因此電荷Q是相同的,但是它們的電壓將不同,並且與它們的電容值相關,如V = Q/C。
電dian壓ya分fen隔ge電dian路lu可ke以yi是shi由you反fan應ying組zu件jian構gou造zao的de,就jiu像xiang它ta們men都dou遵zun循xun電dian壓ya分fen隔ge規gui則ze一yi樣yang,可ke以yi像xiang電dian阻zu一yi樣yang容rong易yi地di構gou造zao它ta們men。以yi此ci電dian容rong電dian壓ya分fen隔ge電dian路lu為wei例li。
每(mei)個(ge)電(dian)容(rong)器(qi)之(zhi)間(jian)的(de)電(dian)壓(ya)可(ke)以(yi)通(tong)過(guo)多(duo)種(zhong)方(fang)式(shi)計(ji)算(suan)。一(yi)種(zhong)方(fang)式(shi)是(shi)找(zhao)到(dao)每(mei)個(ge)電(dian)容(rong)器(qi)的(de)電(dian)容(rong)電(dian)抗(kang)值(zhi),總(zong)電(dian)路(lu)阻(zu)抗(kang),電(dian)路(lu)電(dian)流(liu),然(ran)後(hou)使(shi)用(yong)它(ta)們(men)來(lai)計(ji)算(suan)電(dian)壓(ya)下(xia)降(jiang),例(li)如(ru):
電容電壓分隔器示例NO1
在上麵的串聯電路中,使用10UF和22UF的兩個電容器,當在80Hz處的正弦電壓為10伏RMS時,計算每個電容器的RMS電壓降低。
1。10UF電容器的電容電抗性

10UF的電容電抗
2。22UF電容器的電容電抗

22UF的電容電抗
串聯電路的總電容電抗性 - 請注意,串聯電抗的添加在一起,就像串聯電阻一樣。

電路電抗
或者:

總電容電抗
電路電流

因此

電容分隔電壓下降

當電容器值不同時,較小的值電容器將自身與較大的值電容器相比,在上麵的示例中分別為6.9和3.1伏。
由於Kirchhoff的電壓定律適用於此和每個連接電路的電壓,因此單個電壓下降的總和在價值上等於電源電壓V S和6.9 + 3.1的總和確實等於10伏。
請(qing)注(zhu)意(yi),無(wu)論(lun)電(dian)源(yuan)頻(pin)率(lv)如(ru)何(he),在(zai)串(chuan)聯(lian)電(dian)容(rong)電(dian)壓(ya)分(fen)隔(ge)器(qi)電(dian)路(lu)中(zhong)連(lian)接(jie)的(de)兩(liang)個(ge)電(dian)容(rong)電(dian)壓(ya)電(dian)路(lu)中(zhong)連(lian)接(jie)的(de)兩(liang)個(ge)電(dian)容(rong)器(qi)的(de)比(bi)率(lv)下(xia)降(jiang)將(jiang)始(shi)終(zhong)保(bao)持(chi)不(bu)變(bian)。然(ran)後(hou),即(ji)使(shi)供(gong)應(ying)頻(pin)率(lv)從(cong)80Hz增加到8000Hz,在我們簡單的示例中,上麵的兩個電壓為6.9伏和3.1伏特的電壓下降也將保持不變。
免責聲明:本文為轉載文章,轉載此文目的在於傳遞更多信息,版權歸原作者所有。本文所用視頻、圖片、文字如涉及作品版權問題,請聯係小編進行處理。
推薦閱讀:
貿澤電子與Amphenol聯合推出全新電子書探索連接技術在電動汽車和電動垂直起降飛行器中的作用
- 噪聲中提取真值!瑞盟科技推出MSA2240電流檢測芯片賦能多元高端測量場景
- 10MHz高頻運行!氮矽科技發布集成驅動GaN芯片,助力電源能效再攀新高
- 失真度僅0.002%!力芯微推出超低內阻、超低失真4PST模擬開關
- 一“芯”雙電!聖邦微電子發布雙輸出電源芯片,簡化AFE與音頻設計
- 一機適配萬端:金升陽推出1200W可編程電源,賦能高端裝備製造
- 貿澤EIT係列新一期,探索AI如何重塑日常科技與用戶體驗
- 算力爆發遇上電源革新,大聯大世平集團攜手晶豐明源線上研討會解鎖應用落地
- 創新不止,創芯不已:第六屆ICDIA創芯展8月南京盛大啟幕!
- AI時代,為什麼存儲基礎設施的可靠性決定數據中心的經濟效益
- 矽典微ONELAB開發係列:為毫米波算法開發者打造的全棧工具鏈
- 車規與基於V2X的車輛協同主動避撞技術展望
- 數字隔離助力新能源汽車安全隔離的新挑戰
- 汽車模塊拋負載的解決方案
- 車用連接器的安全創新應用
- Melexis Actuators Business Unit
- Position / Current Sensors - Triaxis Hall




