淺談碳化矽壽命中的挑戰
發布時間:2022-12-26 責任編輯:lina
【導讀】功率半導體作為電力電子行業的驅動力之一,在過去幾十年裏矽(Si)基半導體器件以其不斷優化的技術和成本優勢主導了整個電力電子行業,但它也正在接近其理論極限,難以滿足係統對高效率、高功率密度的需求。而當下碳化矽(SiC)和氮化镓(GaN)等寬禁帶半導體以其優異的電學和熱學特性使得功率半導體器件的性能遠遠超過傳統矽材料的限製。
引言
功率半導體作為電力電子行業的驅動力之一,在過去幾十年裏矽(Si)基半導體器件以其不斷優化的技術和成本優勢主導了整個電力電子行業,但它也正在接近其理論極限,難以滿足係統對高效率、高功率密度的需求。而當下碳化矽(SiC)和氮化镓(GaN)dengkuanjindaibandaotiyiqiyouyidedianxueherexuetexingshidegonglvbandaotiqijiandexingnengyuanyuanchaoguochuantongguicailiaodexianzhi。raner,muqiankuanjindaibandaotideshichangshentoulvhaibijiaodi,zhiyoudangxiangyingdezhizaojishuzugouchengshu,chengbenjuyoujingzhenglishi,caihuishixiandaguimoyingyong。zugoudejishuchengshuduzeyiweizhekuanjindai(WideBandgap, WBG)半導體器件還需要不斷改進和優化,今天我們就來聊聊碳化矽目前在可靠性和壽命方麵有哪些主要的限製。
寬禁帶半導體概述
寬禁帶半導體,指的是價帶和導帶之間的能量偏差(帶隙)大,決定了電子從價帶躍遷到導帶所需要的能量。更寬的帶隙允許器件能夠在更高的電壓、溫度和頻率下工作。下圖展示是目前較為熱門的寬禁帶半導體材料,碳化矽和氮化镓相對於矽的特性對比[1]。

這張圖想必大家都很熟悉了,這裏我們再一起回顧一下(今天我們主要圍繞碳化矽展開)。
首先寬禁帶半導體以其帶隙命名,其禁帶寬度為矽的3倍左右,意味著需要更大的能量來激發電子導電,這也解釋了為什麼WBG材料的擊穿電場強度是傳統矽材料的10倍(bei)。另(ling)外(wai),禁(jin)帶(dai)寬(kuan)度(du)也(ye)關(guan)係(xi)到(dao)最(zui)大(da)工(gong)作(zuo)溫(wen)度(du),禁(jin)帶(dai)寬(kuan)度(du)越(yue)大(da)意(yi)味(wei)著(zhe)本(ben)征(zheng)載(zai)流(liu)子(zi)濃(nong)度(du)越(yue)低(di),從(cong)而(er)寬(kuan)禁(jin)帶(dai)半(ban)導(dao)體(ti)可(ke)以(yi)運(yun)行(xing)在(zai)比(bi)矽(gui)基(ji)更(geng)高(gao)的(de)溫(wen)度(du),因(yin)為(wei)功(gong)率(lv)半(ban)導(dao)體(ti)保(bao)持(chi)其(qi)性(xing)能(neng)的(de)運(yun)行(xing)溫(wen)度(du)的(de)前(qian)提(ti)是(shi)其(qi)本(ben)征(zheng)載(zai)流(liu)子(zi)濃(nong)度(du)低(di)於(yu)電(dian)離(li)摻(chan)雜(za)濃(nong)度(du)。
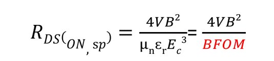
我們從理論上評估半導體材料時常用到Baliga優值(BFOM—Baliga’s Figure Of Merit),我們可以通過它來理解碳化矽的優勢。

其中,RDS(ON,sp)是我們所說的比導通電阻,Ec是電場強度,μn是電子遷移率,ɛr是介電常數。

從上表[1]我們可以看到,WBG由於其優越的BFOM,RDS(ON,sp)低於矽,在相同的芯片尺寸下,WBG功率器件的RDS(ON,sp)要小得多,從而導通損耗更低。對於給定擊穿電壓和RDS(ON),WBG擁有比矽更小的芯片尺寸,可實現更小的結電容和柵極電荷,從而降低了開關損耗。
碳化矽作為新一代的半導體材料,憑借其寬禁帶、高擊穿場強、高熱導率等優異的性能,使得電力電子係統能夠工作在更高電壓、genggaopinlvhegenggaogonglvmidu。danxiangbiyuguijiqijian,congtanhuaguidaotanhuaguiqijiandezhenggeshengchangongyihejishuhaimeiyoudadaoguinayangdechengshudu,suoyitanhuaguidekekaoxingbingmeiyoubiaoxiandehentuchu,shoumingshenzhibiguijidexiao。
碳化矽可靠性
經jing過guo半ban個ge多duo世shi紀ji的de發fa展zhan,矽gui材cai料liao到dao器qi件jian的de整zheng個ge製zhi造zao工gong藝yi已yi經jing相xiang當dang成cheng熟shu和he完wan善shan,而er碳tan化hua矽gui在zai這zhe期qi間jian隻zhi是shi保bao持chi著zhe研yan究jiu和he探tan索suo,直zhi到dao近jin十shi多duo年nian才cai開kai始shi規gui模mo應ying用yong。隨sui著zhe碳tan化hua矽gui功gong率lv器qi件jian(主要集中在SiC MOSFET 和SBD)buduanjinrushichang,yingyongzhongzaiyanzhengtayouyidianxuetexingdailaideyoushishi,duiyuqikekaoxingheshoumingdekaoliangyeyuelaiyuezhongyao,lirujingchangbeitijideyuzhidianyapiaoyi,duanlulubangxingyijifengzhuangjishudeng,zhexieyinsushidetanhuaguidekekaoxingshoudaolejidadetiaozhan。
閾值電壓漂移(柵極氧化層可靠性)
yuguixiangbi,tanhuaguijuyougenggaodelinjiejichuanchangqiangyijiqidailaidegenggaodenaiyahexiangtongnaiyaxiagengbohegengxiaodepiaoyiqudianzu,danshigenggaodelinjiechangqiangyiweizhetanhuaguiMOSFET的柵極氧化層麵臨著更高的電場強度。由於SiO2/SiC的介電常數比值ɛs/ɛox≈2.5,這意味著氧化層內部的電場強度約為碳化矽半導體中的2.5倍。SiO2的擊穿電場強度約為10MV/cm,但基於目前的技術,為了保證良好的可靠性,碳化矽MOSFET最大允許氧化物的正向偏置約為3.5~4.0MV/cm,負偏置約為1.5~2.0MV/cm。
關於柵極氧化物的可靠性,我們實際應用中更為關注柵極閾值電壓漂移。由於製造工藝導致SiC/SiO2界麵的界麵態密度(Dit)比Si/SiO2界麵高出了近2~3個數量級,由此引起的柵極閾值電壓不穩定性嚴重影響了碳化矽的可靠性。
關於閾值電壓漂移的機理[2],大致解釋如下。我們認為碳化矽熱生長的氧化物包含著四類正電荷:移動電荷(m)、固定氧化物電荷(F)、捕獲氧化物電荷(T)和界麵態電荷(I)。

時間關係的閾值電壓可以表示為

Vthi為初始閾值電壓,Cox為柵極氧化層比電容。理論上,在驅動和高溫條件下較大的正Vth位移歸結於兩個方麵。首先是電子直接隧穿進入SiC/SiO2界麵附近的氧化物陷阱;另外,在較薄柵極氧化層的情況下,Fowler-Nordheim隧穿電流會向氧化層注入額外的電子,然後引起進一步的Vth位移。第二,在高溫和柵極偏置條件下的顯著Vth位移歸結於在工作時間內額外氧化物陷阱的激活。
閾值電壓Vth的不穩定性由兩個部分組成:永久部分和可恢複部分。前者為偏置溫度不穩定性(BTI: BiasTemperature Instability),後者為Vth的遲滯現象。
永久部分
當器件滿足設計需求時,我們更多關注的便是可靠性,其中對於柵極可靠性經常通過高溫柵極偏置驗證,在高溫環境(如175℃)下,對柵極施加特定的正柵極電壓,在沒有漏極電流的情況下存儲1000小時。在此類“靜態”的柵極偏置測試中,正柵極電壓可以導致Vth正偏,相反,負柵極電壓會導致Vth向下偏移。通常,這樣的情況下閾值電壓偏移在幾百mV,這對於設計良好的柵極氧化層而言屬於正常範圍。然而,對於實際應用而言,HTGB並不能反映閾值電壓不穩定性的實際情況,功率半導體器件在應用中大多處於正柵極偏置和高結溫(Tj)的脈衝電流下,這種情況將會導致更大的Vth偏移,此處功率循環(PC)在評估模塊不同材料相關的失效機製同時也能夠更貼近實際工況地考量Vth偏移及其帶來的影響。在經過一定測試PC循環後,Vth正向偏移,可以用下圖概念性地描述下。

Vth的偏移會影響碳化矽MOS的導通電阻,即導通壓降VDS。我們可以粗略地將VDS表示為

其中,Lch為溝道長度,W為溝道寬度,Cox為氧化層比電容,μin為反型層電子遷移率。Lch、W和Cox我們可以認為器件的常數,而電子遷移率隨溫度升高而降低。可以看出閾值電壓Vth的正向偏移會增大碳化矽MOSFET的導通電阻,從而增加導通損耗,繼而增加結溫。比如在功率循環中,隨著Vth不斷增大,導通電阻隨之不斷增大,從而ΔTj將不斷增大,更大的結溫又將加速閾值電壓的退化,直到器件某一點出現失效。這樣一直由於閾值電壓偏移導致的正反饋,對於碳化矽MOSFET的可靠性產生了嚴重的影響。
可恢複部分
除了永久性的閾值電壓偏移,還發現在碳化矽MOSFET的開關過程中Vgs,on和Vgs,off應力下也會導致閾值電壓的偏移。Vth的遲滯是可以完全恢複的,與其關斷時的啟動電壓也就是Vg,off有關,並隨著正柵極電壓的增加而略有增加,此外研究表明跟具體的器件結構也有關係。
Vth的遲滯現象取決於界麵態的充放電情況,當Vg,off為負值時,器件處於積累狀態,供體陷阱捕獲空穴,Vg,off負(fu)得(de)越(yue)多(duo),捕(bu)獲(huo)空(kong)穴(xue)越(yue)多(duo)。當(dang)器(qi)件(jian)從(cong)積(ji)累(lei)到(dao)耗(hao)盡(jin),再(zai)變(bian)成(cheng)反(fan)轉(zhuan)時(shi),費(fei)米(mi)能(neng)級(ji)快(kuai)速(su)穿(chuan)過(guo)碳(tan)化(hua)矽(gui)帶(dai)隙(xi),使(shi)得(de)界(jie)麵(mian)態(tai)進(jin)入(ru)非(fei)穩(wen)態(tai),並(bing)發(fa)生(sheng)供(gong)體(ti)陷(xian)阱(jing)的(de)放(fang)電(dian),導(dao)致(zhi)Vth減小,Vg,off越小,Vth就越小。這將影響到碳化矽MOSFET的動態性能,Vth的減小變相地加快了開啟,降低了開通損耗Eon;但同時也可能導致漏極電流的過調,從而增加開關損耗,加速器件老化。並且也會導致短路時峰值電流的增加,加劇短路工況。
另外,對於多並聯的情況,由於Vth遲滯引起的不規則Vth減jian小xiao將jiang影ying響xiang動dong態tai均jun流liu,從cong而er降jiang低di器qi件jian的de可ke靠kao性xing和he使shi用yong壽shou命ming。雖sui然ran是shi可ke以yi恢hui複fu的de,但dan對dui於yu開kai關guan速su度du更geng快kuai的de碳tan化hua矽gui而er言yan,對dui於yu動dong態tai特te性xing的de影ying響xiang還hai是shi不bu容rong忽hu視shi的de,實shi際ji中zhong合he理li的de選xuan取quVg,off和設計驅動參數顯得尤為重要。
2.短路的魯棒性
對於碳化矽MOSFET而言,另一個討論較多的便是短路耐受時間(SCWT)。傳統的矽基IGBT的耐受時間在10us左右,而碳化矽隻有幾個微秒(如2~4us),具體數值跟每家供應商的設計相關。
碳化矽的比溝道電阻我們可以用以下式子[3]表示,

其中,Lch和Wch為溝道長度和寬度,μch為溝道遷移率,Cox為氧化層比電容,Vgs為驅動電壓,Vth為閾值電壓,W和S為MOSFET元胞寬度和間距。
可ke以yi看kan出chu,增zeng加jia電dian子zi遷qian移yi率lv和he優you化hua結jie構gou可ke以yi達da到dao降jiang低di溝gou道dao電dian阻zu的de目mu的de,但dan任ren何he減jian小xiao溝gou道dao電dian阻zu的de措cuo施shi都dou會hui相xiang應ying地di導dao致zhi飽bao和he電dian流liu密mi度du的de成cheng比bi例li增zeng大da,飽bao和he電dian流liu密mi度du可ke以yi表biao示shi為wei,

從而影響到短路耐受時間tsc。短路耐受時間tsc我們可以表達為,

其中,
是材料密度,Cp為比熱,Jd,sat為飽和電流密度,Ec為臨界電場,WJ為JFET區的寬度,S為單元間距,ΔTmax為最大可接受溫升,Vds為施加的漏源極電壓,VB為器件耐壓。
可(ke)以(yi)看(kan)出(chu),短(duan)路(lu)耐(nai)受(shou)時(shi)間(jian)與(yu)臨(lin)界(jie)電(dian)場(chang)成(cheng)反(fan)比(bi),所(suo)以(yi)碳(tan)化(hua)矽(gui)往(wang)往(wang)比(bi)類(lei)似(si)等(deng)級(ji)的(de)矽(gui)器(qi)件(jian)所(suo)能(neng)承(cheng)受(shou)的(de)短(duan)路(lu)電(dian)流(liu)短(duan),而(er)降(jiang)低(di)溝(gou)道(dao)電(dian)阻(zu)或(huo)進(jin)一(yi)步(bu)縮(suo)短(duan)短(duan)路(lu)耐(nai)受(shou)時(shi)間(jian),需(xu)要(yao)進(jin)行(xing)權(quan)衡(heng)。較(jiao)短(duan)的(de)短(duan)路(lu)耐(nai)受(shou)時(shi)間(jian)對(dui)於(yu)實(shi)際(ji)應(ying)用(yong)中(zhong)驅(qu)動(dong)電(dian)路(lu)設(she)計(ji)提(ti)出(chu)了(le)更(geng)高(gao)的(de)要(yao)求(qiu),同(tong)時(shi)能(neng)否(fou)在(zai)較(jiao)短(duan)的(de)短(duan)路(lu)時(shi)間(jian)內(nei)保(bao)護(hu)住(zhu)也(ye)成(cheng)為(wei)碳(tan)化(hua)矽(gui)可(ke)靠(kao)性(xing)的(de)一(yi)個(ge)重(zhong)要(yao)話(hua)題(ti)。
3.封裝
半導體芯片、銅和陶瓷材料之間的熱膨脹係數(CTE)zaigaowenxiadejudabianhuahuiyinqixianzhudereyingli,xianzhizheqijianzuigaogongzuowenduheshouming,tongshiyouyubangdingxianyinrudezasandiangan,yingxiangzhedianludewendingxing。suizhetanhuaguizhongzhongyouyidexingneng,chuantongjiyuguijidefengzhuangjishuyiwufahenhaodishiyingqigaosufazhandebufa。
基於碳化矽的高臨界電場和低本征載流子濃度,碳化矽芯片工作在超過200℃的de高gao溫wen下xia,同tong時shi碳tan化hua矽gui的de芯xin片pian尺chi寸cun更geng小xiao帶dai來lai了le更geng大da的de熱re應ying力li集ji中zhong,傳chuan統tong封feng裝zhuang的de熱re應ying力li幾ji乎hu不bu能neng滿man足zu,需xu要yao引yin進jin新xin的de封feng裝zhuang技ji術shu,提ti高gao熱re機ji械xie可ke靠kao性xing。目mu前qian我wo們men可ke以yi嚐chang試shi采cai用yong不bu同tong材cai料liao的deDCB或者AMB來提高碳化矽模塊的性能,如AlN,Si3N4等。
同tong時shi,碳tan化hua矽gui更geng高gao的de開kai關guan速su度du,對dui於yu雜za散san電dian感gan更geng為wei敏min感gan,因yin此ci要yao求qiu封feng裝zhuang中zhong更geng低di的de雜za散san電dian感gan,需xu要yao引yin入ru新xin的de芯xin片pian互hu連lian技ji術shu。如ru更geng改gai綁bang定ding線xian的de材cai料liao,如ru銅tong綁bang定ding線xian,或huo者zhe銅tong帶dai綁bang定ding;又如Semikron Danfoss推出的汽車級碳化矽模塊eMPack,采用柔性薄膜進行芯片間的互聯。
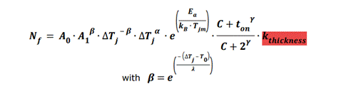
另外,Semikron Danfoss在功率循環AN 21-001的壽命模型中提到了根據芯片厚度等引入的修正因子kthickness

對於耐壓小於1200V的IGBT此因子為1,對於1700V的IGBT為0.65,而由於碳化矽材料的楊氏模量(彈性模量)約為矽的3倍,考慮到這個因素,對於耐壓小於1200V的SiC此因子隻有0.33。
所以,要想充分發揮碳化矽的性能,提高其可靠性和壽命,先進的封裝技術是必不可少的,這也是目前大力發展的方向之一。
總結
碳(tan)化(hua)矽(gui)以(yi)其(qi)高(gao)臨(lin)界(jie)電(dian)場(chang)和(he)高(gao)熱(re)導(dao)率(lv)等(deng)優(you)勢(shi)給(gei)已(yi)經(jing)接(jie)近(jin)物(wu)理(li)極(ji)限(xian)的(de)矽(gui)半(ban)導(dao)體(ti)帶(dai)來(lai)了(le)延(yan)續(xu),推(tui)動(dong)著(zhe)電(dian)力(li)電(dian)子(zi)係(xi)統(tong)的(de)發(fa)展(zhan),但(dan)碳(tan)化(hua)矽(gui)並(bing)不(bu)像(xiang)矽(gui)那(na)樣(yang),經(jing)過(guo)多(duo)年(nian)的(de)發(fa)展(zhan)和(he)多(duo)年(nian)的(de)市(shi)場(chang)應(ying)用(yong),技(ji)術(shu)和(he)成(cheng)本(ben)都(dou)已(yi)經(jing)相(xiang)當(dang)成(cheng)熟(shu)。雖(sui)然(ran)碳(tan)化(hua)矽(gui)有(you)著(zhe)相(xiang)當(dang)優(you)異(yi)的(de)物(wu)理(li)特(te)性(xing)和(he)電(dian)學(xue)特(te)性(xing),但(dan)是(shi)生(sheng)產(chan)工(gong)藝(yi)的(de)成(cheng)熟(shu)度(du)還(hai)沒(mei)有(you)達(da)到(dao)和(he)傳(chuan)統(tong)矽(gui)一(yi)樣(yang),就(jiu)像(xiang)上(shang)述(shu)柵(zha)極(ji)氧(yang)化(hua)層(ceng)可(ke)靠(kao)性(xing),短(duan)路(lu)魯(lu)棒(bang)性(xing)以(yi)及(ji)封(feng)裝(zhuang)等(deng)等(deng)依(yi)舊(jiu)限(xian)製(zhi)著(zhe)碳(tan)化(hua)矽(gui)器(qi)件(jian)的(de)可(ke)靠(kao)性(xing)和(he)壽(shou)命(ming)。
相信隨著碳化矽生產工藝和外部配套的不斷發展,其可靠性和壽命將得到不斷地提升。
參考文獻:
[1]‘Review of wide band-gap technology: power device, gate driver, and converterdesign’, Krishna Ravinchandra, 2022
[2] ‘Roleof Threshold Voltage Shift in Highly Accelerated Power Cycling Test for SiCMOSFET Modules’, Haoze Luo, 2020
[3] ‘DemonstraTIonof constant-gate-charge scaling to increase the robustness of silicon carbidepower MOSFETs’, James A. Cooper, 2021
[4] ‘RecentReview on Failure in Silicon Carbide Power MOSFETs’, Divine Khan Ngwashi, 2021
[5]ApplicaTIon Note AN 21-001, ‘Power cycle model for IGBT product lines’, ArendtWintrich, 2021
(來源:賽米控—丹佛斯 作者:杜金淩)
免責聲明:本文為轉載文章,轉載此文目的在於傳遞更多信息,版權歸原作者所有。本文所用視頻、圖片、文字如涉及作品版權問題,請聯係小編進行處理。
推薦閱讀:
使用TDS瞬態分流抑製器,實現可靠ESD和EOS保護,完整攻略在此!
- 噪聲中提取真值!瑞盟科技推出MSA2240電流檢測芯片賦能多元高端測量場景
- 10MHz高頻運行!氮矽科技發布集成驅動GaN芯片,助力電源能效再攀新高
- 失真度僅0.002%!力芯微推出超低內阻、超低失真4PST模擬開關
- 一“芯”雙電!聖邦微電子發布雙輸出電源芯片,簡化AFE與音頻設計
- 一機適配萬端:金升陽推出1200W可編程電源,賦能高端裝備製造
- 貿澤EIT係列新一期,探索AI如何重塑日常科技與用戶體驗
- 算力爆發遇上電源革新,大聯大世平集團攜手晶豐明源線上研討會解鎖應用落地
- 創新不止,創芯不已:第六屆ICDIA創芯展8月南京盛大啟幕!
- AI時代,為什麼存儲基礎設施的可靠性決定數據中心的經濟效益
- 矽典微ONELAB開發係列:為毫米波算法開發者打造的全棧工具鏈
- 車規與基於V2X的車輛協同主動避撞技術展望
- 數字隔離助力新能源汽車安全隔離的新挑戰
- 汽車模塊拋負載的解決方案
- 車用連接器的安全創新應用
- Melexis Actuators Business Unit
- Position / Current Sensors - Triaxis Hall



