解讀三極管放大器之米勒效應
發布時間:2019-03-26 責任編輯:lina
【導讀】本文來帶關於三極管放大器之米勒效應的技術講解。三極管共射級放大器是最常用的放大器電路,共射級放大電路如下。
一:三極管共射級放大電路
三極管共射級放大器是最常用的放大器電路,共射級放大電路如下:

由模擬電路設計係列講座十二可知三極管的高頻等效模型如下:

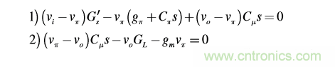
根據電路原理可得電壓節點方程:

其中:

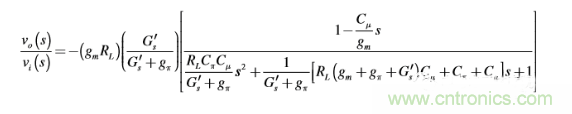
由以上可得出:

1)第一項gmRL就是直流電壓增益
2)第二項是由rΠ、rx與Rs帶來的電壓衰減(分壓)
3)此傳含有一個右半平麵零點,頻率點位於gm/Cμ,此頻率點頻率甚高,遠遠大於三極管的wT,因此分析過程中我們可以忽略此高頻零點
4)由此傳含可知該傳含有兩個極點
二:共射級放大電路單極點等效模型
忽略右半平麵高頻零點,另外由三極管的帶寬限製,可以得到三極管共射級放大電路單極點等效模型如下:

其中Cμ被放大了1+(gm+Gs')RL倍,也就是說輸入與輸出之間的反饋電容被放大了1+(gm+Gs')RL倍,這就是米勒效應。

三:米勒效應的進一步探討
如圖(a),電容Cf跨界於負反饋反放大電路兩端,放大器增益(放大倍數)為-A。

由圖(b),我們可以求出此放大器的輸入阻抗:

因此放大器的負反饋效應使得放大器的輸入電容為反饋電容的1+A倍,A 為放大器的增益,這就是著名的米勒效應。
特別推薦
- 噪聲中提取真值!瑞盟科技推出MSA2240電流檢測芯片賦能多元高端測量場景
- 10MHz高頻運行!氮矽科技發布集成驅動GaN芯片,助力電源能效再攀新高
- 失真度僅0.002%!力芯微推出超低內阻、超低失真4PST模擬開關
- 一“芯”雙電!聖邦微電子發布雙輸出電源芯片,簡化AFE與音頻設計
- 一機適配萬端:金升陽推出1200W可編程電源,賦能高端裝備製造
技術文章更多>>
- 貿澤EIT係列新一期,探索AI如何重塑日常科技與用戶體驗
- 算力爆發遇上電源革新,大聯大世平集團攜手晶豐明源線上研討會解鎖應用落地
- 創新不止,創芯不已:第六屆ICDIA創芯展8月南京盛大啟幕!
- AI時代,為什麼存儲基礎設施的可靠性決定數據中心的經濟效益
- 矽典微ONELAB開發係列:為毫米波算法開發者打造的全棧工具鏈
技術白皮書下載更多>>
- 車規與基於V2X的車輛協同主動避撞技術展望
- 數字隔離助力新能源汽車安全隔離的新挑戰
- 汽車模塊拋負載的解決方案
- 車用連接器的安全創新應用
- Melexis Actuators Business Unit
- Position / Current Sensors - Triaxis Hall
熱門搜索



