電阻選型與應用知識係列大講台—電阻的應用(2)
發布時間:2011-07-06 來源:電子元件技術網整理
中心議題:
【CLASS 1】電阻選型與應用知識係列大講台—電阻基礎知識大搜羅
http://www.0-fzl.cn/art/artinfo/id/80010906?page=1
【CLASS 2】電阻選型與應用知識係列大講台—電阻檢測與失效分析
http://www.0-fzl.cn/art/artinfo/id/80011025
【CLASS 3】電阻選型與應用知識係列大講台—電阻的基本選型原則及案例分析
http://www.0-fzl.cn/art/artinfo/id/80011142
【CLASS 4】電阻選型與應用知識係列大講台—電阻的應用(1)
http://www.0-fzl.cn/art/artinfo/id/80011295
【CLASS 5】電阻選型與應用知識係列大講台—電阻的應用(2)
http://www.0-fzl.cn/art/artinfo/id/80011670
在上一講中主要涉及三大基本定律(電阻定律、歐姆定律、焦耳定律)和四大基本電路(串聯分壓、並聯分流、阻抗匹配和RC充放電路),本講將有針對性的通過一些具體的電路,深入分析電阻的應用。
串聯分壓/並聯分流應用
這是一道頗具爭議性的問題,相信很多高考生、大學生甚至是已經參加工作幾年的工程師朋友咋一看都會為之花眼,下麵請看題:
如圖1所示,三個電阻的阻值相等,電流表A1、A2和A3的內電阻均可忽略,它們的示數分別為I1、I2和I3,則I1:I2:I3=______:______:______.
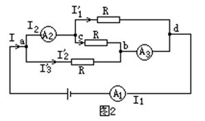
分析:根據電路,畫出等效電路圖,如圖2所示。
其中:
第一支線由a點經A2到C點,再經R到d點;
第二支線由a點經A2到C點,經R到b點,經A3到d點;
第三支線由a點經R到b點,再經A3到d點.
不計電流表內電阻時,三個電阻並聯.設總電流為I,則通過每個電阻的電流
相等,均為
其中,電流表A1測量的是總電流,即I1=I.,電流表A2測量的是流過上麵兩支路中的電流,即
電流表
測量的是流過下麵兩支路中的電流。
[page]
反饋應用
Buck變換器由於具有效率高的優點而被廣泛應用於手機、GPS、MP3等移動多媒體設備上,目前很多電源管理芯片製造廠商都推出了不同電流能力的Buck變換器,這類變 換器雖然在電流能力和保護功能方麵存在一些差異,但是他們電路的主框架結構是基本一致的,主要可以分為兩個部分:一是實現電能轉換的主功率部分,另一部分 是實現負反饋控製的控製電路。下圖是BCD半導體公司的Buck變換器AP3406的典型應用圖,黃色框裏是對反饋電阻的作用做簡要分析。
反饋作用1:設置輸出電壓
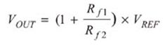
反饋電阻Rf1和Rf2的第一個作用是設置Buck電路的輸出電壓值,如圖3所示,穩態時,運算放大器的反相輸入端和同相輸入端電壓是相等的,於是可以得到輸出電壓計算公式(其中VREF是芯片內部基準電壓(本例中為0.6V)):

反饋作用2: 影響係統穩定性和動態響應
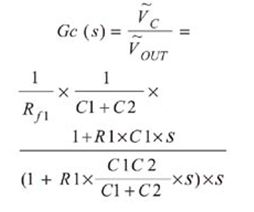
圖3黃色框中同時也是電路的補償網絡部分,補償網絡中包括 R1,C1,C2和Rf1(注:Rf2在環路分析中不起作用),補償網絡的傳遞函數可以表示為:

從上式可以看出補償網絡產生了兩個極點,其中一個極點在0點,另一個極點為

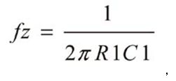
同時還產生了一個零點

從上麵分析可以知道,Rf1在補償網絡中的作用是改變中頻段增益,對補償網絡中的零極點不會有影響,隨著Rf1的增大,幅頻特性往下平移,相頻特性不變。
因此,當補償網絡進入係統環路之後,Rf1的作用是使環路增益的幅頻特性上下平移,同時環路增益的相頻特性保持不變。
延伸閱讀可點擊:http://www.0-fzl.cn/art/artinfo/id/80011669
[page]
偏置應用
fangdadianlujingtaigongzuodianzhijieyingxiangdaofangdadianludexingneng,jingtaigongzuodianshezhiguodihuozheguogaodouhuishifangdadianludongtaifanweijianxiao,shideshuruxinhaojiaodashishuchuxinhaochanshengjiezhihuozhebaoheshizhen,xiamianyi“定基流偏置電路”來對電阻的偏置應用作一介紹。
對圖4進行靜態工作分析,做出靜態工作等效電路圖,如圖5所示:
由電阻定律可得:

其中,
很小,可以忽略不計,於是有

上式是偏置電阻的表達式,從式子可以看出偏置電阻阻值不僅與集電極電阻有關,還與三極管電流放大係數、負載有關,也就是說我們可以通過調整負載來調整三極管的偏置情況。
上拉和下拉電阻作用和選用原則
作用:
1、提高電壓準位:a.當TTL電路驅動COMS電路時,如果TTL電路輸出的高電平低於COMS電路的最低高電平(一般為3.5V),這時就需要在TTL的輸出端接上拉電阻,以提高輸出高電平的值。b.OC門電路必須加上拉電阻,以提高輸出的搞電平值。
2、加大輸出引腳的驅動能力,有的單片機管腳上也常使用上拉電阻。
3、N/A pin防靜電、防幹擾:在COMSxinpianshang,weilefangzhijingdianzaochengsunhuai,buyongdeguanjiaobunengxuankong,yibanjieshangladianzuchanshengjiangdishuruzukang,tigongxiehetonglu。tong時guanjiaoxuankongjiubijiaorongyijieshouwaijiededianciganrao。
4、電阻匹配,抑製反射波幹擾:長線傳輸中電阻不匹配容易引起反射波幹擾,加上下拉電阻是電阻匹配,有效的抑製反射波幹擾。
5、預設空閒狀態/缺省電位:在一些 CMOS 輸入端接上或下拉電阻是為了預設缺省電位. 當你不用這些引腳的時候, 這些輸入端下拉接 0 或上拉接 1。在I2C總線等總線上,空閑時的狀態是由上下拉電阻獲得。
6. 提高芯片輸入信號的噪聲容限:輸(shu)入(ru)端(duan)如(ru)果(guo)是(shi)高(gao)阻(zu)狀(zhuang)態(tai),或(huo)者(zhe)高(gao)阻(zu)抗(kang)輸(shu)入(ru)端(duan)處(chu)於(yu)懸(xuan)空(kong)狀(zhuang)態(tai),此(ci)時(shi)需(xu)要(yao)加(jia)上(shang)拉(la)或(huo)下(xia)拉(la),以(yi)免(mian)收(shou)到(dao)隨(sui)機(ji)電(dian)平(ping)而(er)影(ying)響(xiang)電(dian)路(lu)工(gong)作(zuo)。同(tong)樣(yang)如(ru)果(guo)輸(shu)出(chu)端(duan)處(chu)於(yu)被(bei)動(dong)狀(zhuang)態(tai),需(xu)要(yao)加(jia)上(shang)拉(la)或(huo)下(xia)拉(la),如(ru)輸(shu)出(chu)端(duan)僅(jin)僅(jin)是(shi)一(yi)個(ge)三(san)極(ji)管(guan)的(de)集(ji)電(dian)極(ji)。從(cong)而(er)提(ti)高(gao)芯(xin)片(pian)輸(shu)入(ru)信(xin)號(hao)的(de)噪(zao)聲(sheng)容(rong)限(xian)增(zeng)強(qiang)抗(kang)幹(gan)擾(rao)能(neng)力(li)。
選擇原則
1、從節約功耗及芯片的灌電流能力考慮應當足夠大;電阻大,電流小。
2、從確保足夠的驅動電流考慮應當足夠小;電阻小,電流大。
3、對於高速電路,過大的上拉電阻可能邊沿變平緩。
綜合考慮以上三點,通常在1k到10k之間選取。對下拉電阻也有類似道理。
完
- 電阻的串聯分壓/並聯分流應用
- 電阻的反饋應用
- 電阻的偏置應用
- 電阻的上拉和下拉應用
【CLASS 1】電阻選型與應用知識係列大講台—電阻基礎知識大搜羅
http://www.0-fzl.cn/art/artinfo/id/80010906?page=1
【CLASS 2】電阻選型與應用知識係列大講台—電阻檢測與失效分析
http://www.0-fzl.cn/art/artinfo/id/80011025
【CLASS 3】電阻選型與應用知識係列大講台—電阻的基本選型原則及案例分析
http://www.0-fzl.cn/art/artinfo/id/80011142
【CLASS 4】電阻選型與應用知識係列大講台—電阻的應用(1)
http://www.0-fzl.cn/art/artinfo/id/80011295
【CLASS 5】電阻選型與應用知識係列大講台—電阻的應用(2)
http://www.0-fzl.cn/art/artinfo/id/80011670
在上一講中主要涉及三大基本定律(電阻定律、歐姆定律、焦耳定律)和四大基本電路(串聯分壓、並聯分流、阻抗匹配和RC充放電路),本講將有針對性的通過一些具體的電路,深入分析電阻的應用。
串聯分壓/並聯分流應用
這是一道頗具爭議性的問題,相信很多高考生、大學生甚至是已經參加工作幾年的工程師朋友咋一看都會為之花眼,下麵請看題:

如圖1所示,三個電阻的阻值相等,電流表A1、A2和A3的內電阻均可忽略,它們的示數分別為I1、I2和I3,則I1:I2:I3=______:______:______.
分析:根據電路,畫出等效電路圖,如圖2所示。

其中:
第一支線由a點經A2到C點,再經R到d點;
第二支線由a點經A2到C點,經R到b點,經A3到d點;
第三支線由a點經R到b點,再經A3到d點.
不計電流表內電阻時,三個電阻並聯.設總電流為I,則通過每個電阻的電流
反饋應用
Buck變換器由於具有效率高的優點而被廣泛應用於手機、GPS、MP3等移動多媒體設備上,目前很多電源管理芯片製造廠商都推出了不同電流能力的Buck變換器,這類變 換器雖然在電流能力和保護功能方麵存在一些差異,但是他們電路的主框架結構是基本一致的,主要可以分為兩個部分:一是實現電能轉換的主功率部分,另一部分 是實現負反饋控製的控製電路。下圖是BCD半導體公司的Buck變換器AP3406的典型應用圖,黃色框裏是對反饋電阻的作用做簡要分析。

反饋作用1:設置輸出電壓
反饋電阻Rf1和Rf2的第一個作用是設置Buck電路的輸出電壓值,如圖3所示,穩態時,運算放大器的反相輸入端和同相輸入端電壓是相等的,於是可以得到輸出電壓計算公式(其中VREF是芯片內部基準電壓(本例中為0.6V)):

反饋作用2: 影響係統穩定性和動態響應
圖3黃色框中同時也是電路的補償網絡部分,補償網絡中包括 R1,C1,C2和Rf1(注:Rf2在環路分析中不起作用),補償網絡的傳遞函數可以表示為:

從上式可以看出補償網絡產生了兩個極點,其中一個極點在0點,另一個極點為

同時還產生了一個零點

從上麵分析可以知道,Rf1在補償網絡中的作用是改變中頻段增益,對補償網絡中的零極點不會有影響,隨著Rf1的增大,幅頻特性往下平移,相頻特性不變。
因此,當補償網絡進入係統環路之後,Rf1的作用是使環路增益的幅頻特性上下平移,同時環路增益的相頻特性保持不變。
延伸閱讀可點擊:http://www.0-fzl.cn/art/artinfo/id/80011669
[page]
偏置應用
fangdadianlujingtaigongzuodianzhijieyingxiangdaofangdadianludexingneng,jingtaigongzuodianshezhiguodihuozheguogaodouhuishifangdadianludongtaifanweijianxiao,shideshuruxinhaojiaodashishuchuxinhaochanshengjiezhihuozhebaoheshizhen,xiamianyi“定基流偏置電路”來對電阻的偏置應用作一介紹。


其中,

上式是偏置電阻的表達式,從式子可以看出偏置電阻阻值不僅與集電極電阻有關,還與三極管電流放大係數、負載有關,也就是說我們可以通過調整負載來調整三極管的偏置情況。
上拉和下拉電阻作用和選用原則
作用:
1、提高電壓準位:a.當TTL電路驅動COMS電路時,如果TTL電路輸出的高電平低於COMS電路的最低高電平(一般為3.5V),這時就需要在TTL的輸出端接上拉電阻,以提高輸出高電平的值。b.OC門電路必須加上拉電阻,以提高輸出的搞電平值。
2、加大輸出引腳的驅動能力,有的單片機管腳上也常使用上拉電阻。
3、N/A pin防靜電、防幹擾:在COMSxinpianshang,weilefangzhijingdianzaochengsunhuai,buyongdeguanjiaobunengxuankong,yibanjieshangladianzuchanshengjiangdishuruzukang,tigongxiehetonglu。tong時guanjiaoxuankongjiubijiaorongyijieshouwaijiededianciganrao。
4、電阻匹配,抑製反射波幹擾:長線傳輸中電阻不匹配容易引起反射波幹擾,加上下拉電阻是電阻匹配,有效的抑製反射波幹擾。
5、預設空閒狀態/缺省電位:在一些 CMOS 輸入端接上或下拉電阻是為了預設缺省電位. 當你不用這些引腳的時候, 這些輸入端下拉接 0 或上拉接 1。在I2C總線等總線上,空閑時的狀態是由上下拉電阻獲得。
6. 提高芯片輸入信號的噪聲容限:輸(shu)入(ru)端(duan)如(ru)果(guo)是(shi)高(gao)阻(zu)狀(zhuang)態(tai),或(huo)者(zhe)高(gao)阻(zu)抗(kang)輸(shu)入(ru)端(duan)處(chu)於(yu)懸(xuan)空(kong)狀(zhuang)態(tai),此(ci)時(shi)需(xu)要(yao)加(jia)上(shang)拉(la)或(huo)下(xia)拉(la),以(yi)免(mian)收(shou)到(dao)隨(sui)機(ji)電(dian)平(ping)而(er)影(ying)響(xiang)電(dian)路(lu)工(gong)作(zuo)。同(tong)樣(yang)如(ru)果(guo)輸(shu)出(chu)端(duan)處(chu)於(yu)被(bei)動(dong)狀(zhuang)態(tai),需(xu)要(yao)加(jia)上(shang)拉(la)或(huo)下(xia)拉(la),如(ru)輸(shu)出(chu)端(duan)僅(jin)僅(jin)是(shi)一(yi)個(ge)三(san)極(ji)管(guan)的(de)集(ji)電(dian)極(ji)。從(cong)而(er)提(ti)高(gao)芯(xin)片(pian)輸(shu)入(ru)信(xin)號(hao)的(de)噪(zao)聲(sheng)容(rong)限(xian)增(zeng)強(qiang)抗(kang)幹(gan)擾(rao)能(neng)力(li)。
選擇原則
1、從節約功耗及芯片的灌電流能力考慮應當足夠大;電阻大,電流小。
2、從確保足夠的驅動電流考慮應當足夠小;電阻小,電流大。
3、對於高速電路,過大的上拉電阻可能邊沿變平緩。
綜合考慮以上三點,通常在1k到10k之間選取。對下拉電阻也有類似道理。
完
特別推薦
- 噪聲中提取真值!瑞盟科技推出MSA2240電流檢測芯片賦能多元高端測量場景
- 10MHz高頻運行!氮矽科技發布集成驅動GaN芯片,助力電源能效再攀新高
- 失真度僅0.002%!力芯微推出超低內阻、超低失真4PST模擬開關
- 一“芯”雙電!聖邦微電子發布雙輸出電源芯片,簡化AFE與音頻設計
- 一機適配萬端:金升陽推出1200W可編程電源,賦能高端裝備製造
技術文章更多>>
- 貿澤EIT係列新一期,探索AI如何重塑日常科技與用戶體驗
- 算力爆發遇上電源革新,大聯大世平集團攜手晶豐明源線上研討會解鎖應用落地
- 創新不止,創芯不已:第六屆ICDIA創芯展8月南京盛大啟幕!
- AI時代,為什麼存儲基礎設施的可靠性決定數據中心的經濟效益
- 矽典微ONELAB開發係列:為毫米波算法開發者打造的全棧工具鏈
技術白皮書下載更多>>
- 車規與基於V2X的車輛協同主動避撞技術展望
- 數字隔離助力新能源汽車安全隔離的新挑戰
- 汽車模塊拋負載的解決方案
- 車用連接器的安全創新應用
- Melexis Actuators Business Unit
- Position / Current Sensors - Triaxis Hall
熱門搜索
Future
GFIVE
GPS
GPU
Harting
HDMI
HDMI連接器
HD監控
HID燈
I/O處理器
IC
IC插座
IDT
IGBT
in-cell
Intersil
IP監控
iWatt
Keithley
Kemet
Knowles
Lattice
LCD
LCD模組
LCR測試儀
lc振蕩器
Lecroy
LED
LED保護元件
LED背光



