小電流係統線路對地電容的新估計方法
發布時間:2011-06-28
中心議題:
- 利用單相接地故障數據估計小電流係統對地電容電流的方法
解決方案:
- 用兩組發生在不同線路上的故障數據求該係統各線路的對地電容
係(xi)統(tong)電(dian)容(rong)電(dian)流(liu)是(shi)調(tiao)度(du)和(he)運(yun)行(xing)單(dan)位(wei)要(yao)了(le)解(jie)的(de)係(xi)統(tong)參(can)數(shu)之(zhi)一(yi),是(shi)設(she)計(ji)單(dan)位(wei)選(xuan)擇(ze)補(bu)償(chang)設(she)備(bei)的(de)依(yi)據(ju),故(gu)研(yan)究(jiu)該(gai)項(xiang)工(gong)作(zuo)具(ju)有(you)重(zhong)要(yao)意(yi)義(yi)。目(mu)前(qian),電(dian)容(rong)電(dian)流(liu)的(de)測(ce)量(liang)方(fang)法(fa)主(zhu)要(yao)有(you)單(dan)相(xiang)金(jin)屬(shu)接(jie)地(di)法(fa)、相對地附加電容法及中性點附加電容法。
采(cai)用(yong)單(dan)相(xiang)金(jin)屬(shu)接(jie)地(di)法(fa),易(yi)造(zao)成(cheng)兩(liang)相(xiang)對(dui)地(di)短(duan)路(lu)及(ji)鐵(tie)磁(ci)諧(xie)振(zhen)過(guo)電(dian)壓(ya),危(wei)險(xian)性(xing)較(jiao)大(da)。采(cai)用(yong)相(xiang)對(dui)地(di)附(fu)加(jia)電(dian)容(rong)法(fa),其(qi)安(an)全(quan)隱(yin)患(huan)主(zhu)要(yao)發(fa)生(sheng)在(zai)附(fu)加(jia)電(dian)容(rong)本(ben)身(shen)上(shang),例(li)如(ru)測(ce)量(liang)電(dian)纜(lan)線(xian)路(lu)時(shi),附(fu)加(jia)電(dian)容(rong)一(yi)般(ban)放(fang)置(zhi)在(zai)開(kai)關(guan)櫃(gui)附(fu)近(jin),在(zai)測(ce)量(liang)過(guo)程(cheng)中(zhong)附(fu)加(jia)電(dian)容(rong)如(ru)存(cun)在(zai)缺(que)陷(xian)發(fa)生(sheng)爆(bao)炸(zha),可(ke)能(neng)危(wei)及(ji)其(qi)它(ta)配(pei)電(dian)櫃(gui),造(zao)成(cheng)重(zhong)大(da)事(shi)故(gu);另外在測量35kV係(xi)統(tong)電(dian)容(rong)電(dian)流(liu)時(shi),因(yin)係(xi)統(tong)電(dian)壓(ya)較(jiao)高(gao),附(fu)加(jia)電(dian)容(rong)容(rong)量(liang)較(jiao)大(da),有(you)的(de)試(shi)驗(yan)單(dan)位(wei)可(ke)能(neng)並(bing)不(bu)具(ju)備(bei)合(he)適(shi)的(de)電(dian)容(rong)器(qi)。采(cai)用(yong)中(zhong)性(xing)點(dian)附(fu)加(jia)電(dian)容(rong)法(fa),如(ru)在(zai)測(ce)量(liang)過(guo)程(cheng)中(zhong)係(xi)統(tong)出(chu)現(xian)單(dan)相(xiang)接(jie)地(di),中(zhong)性(xing)點(dian)電(dian)壓(ya)上(shang)升(sheng)到(dao)相(xiang)電(dian)壓(ya),將(jiang)危(wei)及(ji)運(yun)行(xing)人(ren)員(yuan)及(ji)表(biao)的(de)安(an)全(quan),而(er)且(qie)測(ce)量(liang)誤(wu)差(cha)大(da)。
在實際運行中,對於出線數較多、線xian路lu較jiao長chang或huo包bao含han大da量liang電dian纜lan線xian路lu的de配pei電dian係xi統tong,當dang其qi發fa生sheng單dan相xiang接jie地di故gu障zhang時shi,對dui地di電dian容rong電dian流liu會hui相xiang當dang大da,接jie地di電dian弧hu如ru果guo不bu能neng自zi熄xi滅mie,極ji易yi產chan生sheng間jian隙xi性xing弧hu光guang接jie地di過guo電dian壓ya或huo激ji發fa鐵tie磁ci諧xie振zhen,持chi續xu時shi間jian長chang,影ying響xiang麵mian大da,線xian路lu絕jue緣yuan薄bo弱ruo點dian往wang往wang還hai會hui發fa展zhan成cheng兩liang相xiang短duan路lu事shi故gu。因yin此ci,DL/T620-1997《交流電氣裝置的過電壓保護和絕緣配合》規定:3~10KV鋼筋混凝土或金屬杆塔的架空線路構成的係統和所有35KV、66KV係統,當單相接地故障電流大於10A時應裝設消弧線圈;3~10KV電纜線路構成的係統,當單相接地故障電流大於30A,又需在接地故障條件下運行時,應采用消弧線圈接地方式。
消弧線圈一般為過補償運行(即流過消弧線圈的電感電流大於電容電流),這zhe也ye就jiu是shi說shuo裝zhuang設she的de消xiao弧hu線xian圈quan的de電dian感gan必bi需xu根gen據ju對dui地di電dian容rong電dian流liu的de大da小xiao來lai確que定ding,以yi防fang止zhi中zhong性xing點dian不bu接jie地di係xi統tong發fa生sheng單dan相xiang接jie地di而er引yin起qi弧hu光guang過guo電dian壓ya。而er實shi際ji情qing況kuang是shi,現xian場chang運yun行xing人ren員yuan對dui係xi統tong的de接jie地di電dian容rong電dian流liu值zhi究jiu竟jing有you多duo大da了le解jie的de並bing不bu詳xiang實shi,或huo者zhe是shi掌zhang握wo的de數shu據ju僅jin憑ping經jing驗yan而er得de,或huo者zhe是shi數shu據ju過guo於yu陳chen舊jiu,不bu足zu為wei憑ping。
所(suo)以(yi),針(zhen)對(dui)研(yan)究(jiu)該(gai)問(wen)題(ti)的(de)重(zhong)要(yao)性(xing)以(yi)及(ji)以(yi)往(wang)方(fang)法(fa)的(de)種(zhong)種(zhong)不(bu)利(li)之(zhi)處(chu),本(ben)文(wen)提(ti)出(chu)一(yi)種(zhong)利(li)用(yong)單(dan)相(xiang)接(jie)地(di)故(gu)障(zhang)數(shu)據(ju)估(gu)計(ji)小(xiao)電(dian)流(liu)係(xi)統(tong)對(dui)地(di)電(dian)容(rong)電(dian)流(liu)的(de)新(xin)方(fang)法(fa)。
方法介紹
對於一個中性點絕緣係統,發生單相接地故障時的等值電路如圖1所示,由於配電網線路中各相對地的泄漏電導比線路對地電容的導納小得多,所以分析時忽略了泄漏電導,並認為三相對地電容相等。

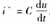
接下來利用單相接地故障的零序電壓和零序電流數據來估計係統對地電容值,由於電流波形比較雜亂,利用公式
求電容不可避免的造成較大誤差,所以,本方法利用零序電壓和零序電流的瞬時值來求電容。由公式
,將其寫成離散化形式,為:


[page]
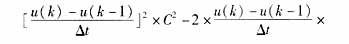
由於F的每一項[i*(k)-i(k)]2都可以展開成電容C的多項式:


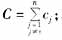
這樣,當係統的某一條出線i(i=1,2,...,n)發生單相接地故障時,利用係統零序電壓與故障線路零序電流可求出該係統除了故障線路以外的其它線路對地電容值之和
;利用零序電壓與任一條非故障線路的零序電流可求出該非故障線路的對地電容值;並且,對同一次故障在數值上有
。對於長線路計算結果可認為準確,對於短線路,計算誤差稍大,可通過一些具體途徑改進,本文不作詳細敘述。
這zhe樣yang,利li用yong兩liang組zu發fa生sheng在zai不bu同tong線xian路lu上shang的de故gu障zhang數shu據ju就jiu可ke求qiu出chu該gai係xi統tong中zhong各ge線xian路lu的de對dui地di電dian容rong,且qie隨sui著zhe故gu障zhang次ci數shu的de增zeng多duo,還hai可ke利li用yong多duo次ci的de故gu障zhang數shu據ju對dui係xi統tong對dui地di電dian容rong進jin行xing修xiu正zheng。係xi統tong對dui地di電dian容rong值zhi求qiu出chu後hou,由you公gong式shiI=jωCU可以很容易就估計出係統電容電流的有效值,以此可以決定係統是否需要安裝消弧線圈以及消弧線圈電感值的大小。
EMTP仿真驗證
接下來對一個係統進行EMTP仿真,驗證該方法。係統為一個有五條出線的變電所, 基波頻率f=50Hz,采樣頻率fs=5000 Hz。仿真采用三相分布參數集中電阻線路模型,已知各出線長度分別為l1=l4=l5=10 km,l2=30 km,l3=6 km;線路參數分別為:R0=0.23 Ω/km,ωL0=1.72Ω/km,ωC0=4.175 μΩ/km;R1=0.17Ω/km,ωL1=0.28Ω/km,ωC1=5.715μΩ/km,當t=0.0075s時在第一條出線的A相線路中間發生單相金屬接地故障(見圖2)。取0~0.04秒的2個周波200個點的數據進行分析。

對上述方法用Matlab編程,對仿真數據進行分析,求解係統對地電容值。考慮到噪聲汙染以及各種隨機幹擾的存在,先對故障數據進行數字濾波,將17次以上的諧波去除後再對仿真或實測數據進行運算。本例所得由電容所計算電流與濾波後電流擬合波形如圖3所示(本文對數據濾波時采用的是巴特沃思濾波器,除去9次諧波以上的高次諧波)。



[page]

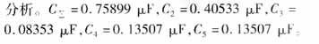
由零序電壓和故障線路零序電流求得的對地電容為:C∑=-0.75462μF,由零序電壓和非故障線路2、3、4、5的零序電流求得的電容分別為:

其中,C∑為負是因為故障線路零序電流和非故障線路零序電流反相的緣故。
由此可得:C2+C3+C4+C5=0.75462μF,可見其數值上與C∑相等。並且,由係統參數ωC0=4.175μS/km可推出C0=4.175/314=0.013296μF,則由Ci=C0*li可得:C2=0.39888μF,C3=0.07978μF,C4=0.13296μF,C5=0.13296μF,可見,這些值和利用本方法估計出的各線路對地電容值差甚微。
利用該方法對同一係統進行EMTP仿真,進一步驗正該方法。t=0.0075s時在第一條出線的A相線路中間發生單相電阻性接地,接地電阻100Ω,同樣取0-0.04s的2個周波200個點的數據進行。

結論
傳統測量電容電流的方法可分為直接法和間接法兩種:zhijiefashishixianlujiedi,zhijieceliangjiedidianrongdianliu,cifangfacaozuojijiexianfuza,erqieyoukenengweijifeijiedixiangjueyuanboruochudejueyuanzaochengliangxiangyididuanlu,duicaozuorenyuanyupeidianxitongdoubuanquan,yineryibanhenshaocaiyong。muqianguangfancaiyongdeshijianjiefa,ji,zaixianlushangwaijiayigedianrong,celiangdianyadebianhua,congerjianjiejisuanchudianrongdianliuzhi。zhezhongfangfasuinengjiaozhunquediceliangdianrongdianliuzhi,danceliangshirengxuyuyicicedajiaodao,renyuanyushebeianquanrengdebudaobaozheng。lingwai,youyuyaoshejiyicishebei,yincicaozuofansuo,zhunbeigongzuoshijianchang,gongzuoxiaolvdi,tongchangdabufenshijianhaofeizaidengdaitiaodumingling、開工作票、倒閘操作及安全措施準備上,工作效率非常低。
本(ben)文(wen)介(jie)紹(shao)的(de)方(fang)法(fa),簡(jian)單(dan)易(yi)行(xing),僅(jin)僅(jin)利(li)用(yong)係(xi)統(tong)單(dan)相(xiang)接(jie)地(di)時(shi)的(de)故(gu)障(zhang)數(shu)據(ju)進(jin)行(xing)計(ji)算(suan),不(bu)必(bi)利(li)用(yong)儀(yi)器(qi)進(jin)行(xing)現(xian)場(chang)實(shi)地(di)測(ce)量(liang),不(bu)影(ying)響(xiang)電(dian)網(wang)正(zheng)常(chang)運(yun)行(xing),免(mian)除(chu)了(le)麻(ma)煩(fan)且(qie)避(bi)免(mian)了(le)危(wei)險(xian)。該(gai)方(fang)法(fa)適(shi)用(yong)於(yu)對(dui)誤(wu)差(cha)要(yao)求(qiu)不(bu)很(hen)嚴(yan)格(ge)並(bing)且(qie)工(gong)作(zuo)量(liang)較(jiao)大(da)的(de)場(chang)合(he),經(jing)過(guo)仿(fang)真(zhen)表(biao)明(ming),結(jie)果(guo)較(jiao)為(wei)準(zhun)確(que)。
- 噪聲中提取真值!瑞盟科技推出MSA2240電流檢測芯片賦能多元高端測量場景
- 10MHz高頻運行!氮矽科技發布集成驅動GaN芯片,助力電源能效再攀新高
- 失真度僅0.002%!力芯微推出超低內阻、超低失真4PST模擬開關
- 一“芯”雙電!聖邦微電子發布雙輸出電源芯片,簡化AFE與音頻設計
- 一機適配萬端:金升陽推出1200W可編程電源,賦能高端裝備製造
- 貿澤EIT係列新一期,探索AI如何重塑日常科技與用戶體驗
- 算力爆發遇上電源革新,大聯大世平集團攜手晶豐明源線上研討會解鎖應用落地
- 創新不止,創芯不已:第六屆ICDIA創芯展8月南京盛大啟幕!
- AI時代,為什麼存儲基礎設施的可靠性決定數據中心的經濟效益
- 矽典微ONELAB開發係列:為毫米波算法開發者打造的全棧工具鏈
- 車規與基於V2X的車輛協同主動避撞技術展望
- 數字隔離助力新能源汽車安全隔離的新挑戰
- 汽車模塊拋負載的解決方案
- 車用連接器的安全創新應用
- Melexis Actuators Business Unit
- Position / Current Sensors - Triaxis Hall





