電路反饋進階知識:解答的很詳細!
發布時間:2019-12-25 責任編輯:wenwei
【導讀】反fan饋kui,就jiu是shi把ba放fang大da電dian路lu的de輸shu出chu量liang的de一yi部bu分fen或huo全quan部bu,通tong過guo反fan饋kui網wang絡luo以yi一yi定ding的de方fang式shi又you引yin回hui到dao放fang大da電dian路lu的de輸shu入ru回hui路lu中zhong去qu,以yi影ying響xiang電dian路lu的de輸shu入ru信xin號hao作zuo用yong的de過guo程cheng。
一、反饋的基本概念
1.1 什麼是反饋?

反fan饋kui,就jiu是shi把ba放fang大da電dian路lu的de輸shu出chu量liang的de一yi部bu分fen或huo全quan部bu,通tong過guo反fan饋kui網wang絡luo以yi一yi定ding的de方fang式shi又you引yin回hui到dao放fang大da電dian路lu的de輸shu入ru回hui路lu中zhong去qu,以yi影ying響xiang電dian路lu的de輸shu入ru信xin號hao作zuo用yong的de過guo程cheng。
1.2 放大電路中引入反饋的作用
fangdadianlujingtaigongzuodianhuisuiwendudebianhuaershangxiabodong,qifangdabeishubuwending,weilewendingfangdadianludejingtaigongzuodian,kecaiyongfenyashigongzuodianwendingdianlu,zaidianluzhongyinruyigezhiliudianliufufankui。
為了提高輸入電阻,降低輸出電阻,可采用射極輸出器,在射極輸出器電路中引入電壓串聯負反饋。
二、反饋的分類、判斷
2.1 反饋的分類
(1)正反饋與負反饋
genjufankuidejixingfenlei,kefenweizhengfankuihefufankui。shifangdadianlujingshuruliangzengdadefankuichengweizhengfankui,shifangdadianlujingshuruliangjianxiaodefankuichengweifufankui。zhengfankuisuirannenggoutigaofangdabeishu,danhuishidianlugongzuobiandebuwending。shijigongzuozhongzhengfankuichangyongyuchanshengzhengxianbozhendang。fufankuisuiranjiangdilefangdadianludefangdabeishu,danshinenggougaishanfangdadianludegexiangxingneng。
(2)直流反饋與交流反饋
根(gen)據(ju)反(fan)饋(kui)的(de)交(jiao)直(zhi)流(liu)性(xing)質(zhi),可(ke)分(fen)為(wei)直(zhi)流(liu)反(fan)饋(kui)和(he)交(jiao)流(liu)反(fan)饋(kui)。如(ru)果(guo)反(fan)饋(kui)信(xin)號(hao)中(zhong)隻(zhi)含(han)直(zhi)流(liu)成(cheng)分(fen),則(ze)稱(cheng)為(wei)直(zhi)流(liu)反(fan)饋(kui),直(zhi)流(liu)負(fu)反(fan)饋(kui)用(yong)於(yu)穩(wen)定(ding)靜(jing)態(tai)工(gong)作(zuo)點(dian),對(dui)放(fang)大(da)電(dian)路(lu)的(de)動(dong)態(tai)性(xing)能(neng)沒(mei)有(you)影(ying)響(xiang)。如(ru)果(guo)反(fan)饋(kui)信(xin)號(hao)中(zhong)隻(zhi)含(han)交(jiao)流(liu)成(cheng)分(fen),則(ze)稱(cheng)為(wei)交(jiao)流(liu)反(fan)饋(kui)。交(jiao)流(liu)負(fu)反(fan)饋(kui)用(yong)於(yu)改(gai)善(shan)放(fang)大(da)電(dian)路(lu)的(de)各(ge)項(xiang)動(dong)態(tai)性(xing)能(neng)。
(3)電壓反饋與電流反饋
genjufankuidejixing,kefenweizhengfankuihefufankui。shifangdadianlujingshuruliangzengdadefankuichengweizhengfankui,shifangdadianlujingshuruliangjianxiaodefankuichengweifufankui。zhengfankuisuirannenggoutigaofangdabeishu,danhuishidianlugongzuobiandebuwending。shijigongzuozhongzhengfankuichangyongyuchanshengzhengxianbozhendang。fufankuisuiranjiangdilefangdadianludefangdabeishu,danshinenggougaishanfangdadianludegexiangxingneng。
(4)串聯反饋與並聯反饋
genjufankuixinhaoyushuruxinhaodeguanxi,kefenweichuanlianfankuihebinglianfankui。fankuixinhaoyushuruxinhaozaifangdadianludeshuruhuiluzhongyidianyadexingshiqiuhe,jifankuixinhaoyushuruxinhaochuanlian,chengweichuanlianfankui。fankuixinhaoyushuruxinhaozaifangdadianludeshuruhuiluzhongyidianliudexingshiqiuhe,jifankuixinhaoyushuruxinhaobinglian,chengweibinglianfankui。
2.2 反饋的判斷
(1)有無反饋的判斷
通過檢查在放大電路的輸出回路與輸入回路之間是否存在相互聯係的反饋通路來判斷電路中有沒有引入反饋。
如下圖,從左到右分別是圖(a)、圖(b)、圖(c)。

圖 (a) 、(c)沒有引入反饋 圖(b) 引入了反饋。
(2)正反饋與負反饋的判斷
采用瞬時極性法判斷,如果反饋信號與原輸入信號極性相同,則是正反饋;如果反饋信號與原輸入信號極性相反,則是負反饋。如下圖,從左到右分別是圖(a)、圖(b)。

圖 (a) 負反饋 圖(b) 正反饋
如下圖,從左到右分別是圖(c)、圖(d)。

圖 (c) 負反饋 圖(d) 負反饋
(3)直流反饋與交流負反饋的判斷
通過反饋是存在於直流通路中還是交流通路中,來判斷電路引入的是直流反饋還是交流反饋。
(4)電壓反饋與電流反饋的判斷
反饋信號與輸出電壓成正比為電壓反饋,反饋信號與輸出電流成正比為電流反饋。將輸出端短路,若反饋不存在,則為電壓反饋。

(5)串聯反饋與並聯負反饋的判斷
反饋信號與輸入信號以電壓的形式相加,即反饋信號與輸入信號串聯,即是串聯反饋;如果反饋信號與輸入信號在放大電路輸入回路中以電流的形式相加,即反饋信號與輸入信號並聯,則是並聯反饋。

三、負反饋放大器的框圖及一般表達式
3.1 負反饋放大器的框圖

3.2 負反饋放大器的一般表達式

四、負反饋對放大器性能的影響
4.1 負反饋對放大倍數的影響
引入負反饋後,放大倍數的穩定性得到了提高。

4.2 負反饋對通頻帶和失真的影響
(1) 展寬通頻帶



(2)減少非線性失真

4.3 負反饋對噪聲的影響


4.4 負反饋對輸入輸出電阻的影響
(1)負反饋對輸入電阻的影響
a.串聯負反饋使輸入電阻增大

b.並聯負反饋使輸入電阻減少

(2)負反饋對輸出電阻的影響
a.電壓負反饋使輸出電阻減少

b.電流負反饋使輸出電阻增大

五、負反饋放大器的四種組態
電壓串聯負反饋

電壓並聯負反饋

電流串聯負反饋

電流並聯負反饋

例1:試判斷下圖各電路中反饋的極性和組態。


例2:在左圖所示放大電路中,引入適當的負反饋,要求達到以下目的:降低放大電路的輸出電阻,提高帶負載能力;提高放大電路的輸入電阻,減少對信號源索取的電流;減小輸出電壓的非線性失真,改善輸出波形。

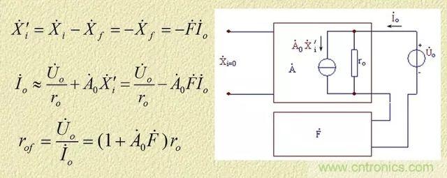
六、深度負反饋對放大電路的近似計算


例3:計算圖中各放大電路的電壓放大倍數。




七、負反饋放大器自激振蕩及消除方法
7.1 產生自激振蕩的原因及條件
(1)自激振蕩產生的原因

此時即使沒有輸入信號,放大電路仍將有一定的輸出信號,說明放大電路產生了自激振蕩。
(2)自激振蕩產生的條件

如圖所示為阻容耦合單級共射放大器的頻率特性,中頻相移180度,在低頻段和高頻段,還將分別產生附加相移90度,三級負反饋放大電路則隻要達到一定的反饋深度即可能產生自激振蕩。

7.2 消除自激振蕩的方法
(1)滯後補償
a.簡單的滯後補償


b.RC滯後補償



(2)超前補償


推薦閱讀:
特別推薦
- 噪聲中提取真值!瑞盟科技推出MSA2240電流檢測芯片賦能多元高端測量場景
- 10MHz高頻運行!氮矽科技發布集成驅動GaN芯片,助力電源能效再攀新高
- 失真度僅0.002%!力芯微推出超低內阻、超低失真4PST模擬開關
- 一“芯”雙電!聖邦微電子發布雙輸出電源芯片,簡化AFE與音頻設計
- 一機適配萬端:金升陽推出1200W可編程電源,賦能高端裝備製造
技術文章更多>>
- 貿澤EIT係列新一期,探索AI如何重塑日常科技與用戶體驗
- 算力爆發遇上電源革新,大聯大世平集團攜手晶豐明源線上研討會解鎖應用落地
- 創新不止,創芯不已:第六屆ICDIA創芯展8月南京盛大啟幕!
- AI時代,為什麼存儲基礎設施的可靠性決定數據中心的經濟效益
- 矽典微ONELAB開發係列:為毫米波算法開發者打造的全棧工具鏈
技術白皮書下載更多>>
- 車規與基於V2X的車輛協同主動避撞技術展望
- 數字隔離助力新能源汽車安全隔離的新挑戰
- 汽車模塊拋負載的解決方案
- 車用連接器的安全創新應用
- Melexis Actuators Business Unit
- Position / Current Sensors - Triaxis Hall
熱門搜索






