一文讀懂電阻式傳感器
發布時間:2017-07-31 責任編輯:wenwei
【導讀】電阻式傳感器與相應的測量電路組成的測力、測壓、稱重、測位移、加速度、扭矩等測量儀表是冶金、電力、交通、石化、商業、生物醫學和國防等部門進行自動稱重、過程檢測和實現生產過程自動化不可缺少的工具之一。
電阻式傳感器
電(dian)阻(zu)式(shi)傳(chuan)感(gan)器(qi)是(shi)利(li)用(yong)一(yi)定(ding)的(de)方(fang)式(shi)將(jiang)被(bei)測(ce)量(liang)的(de)變(bian)化(hua)轉(zhuan)化(hua)為(wei)敏(min)感(gan)元(yuan)件(jian)電(dian)阻(zu)參(can)數(shu)的(de)變(bian)化(hua),再(zai)通(tong)過(guo)電(dian)路(lu)轉(zhuan)變(bian)成(cheng)電(dian)壓(ya)或(huo)電(dian)流(liu)信(xin)號(hao)的(de)輸(shu)出(chu),從(cong)而(er)實(shi)現(xian)非(fei)電(dian)量(liang)的(de)測(ce)量(liang)。
可用於各種機械量和熱工量的檢測,如用來測量力、壓力、位移、應變、速度、加速度、溫度和濕度等。它結構簡單,性能穩定,成本低廉,在許多行業得到了廣泛應用。
由you於yu構gou成cheng電dian阻zu的de材cai料liao及ji種zhong類lei很hen多duo,引yin起qi電dian阻zu變bian化hua的de物wu理li原yuan因yin也ye很hen多duo,這zhe就jiu構gou成cheng了le各ge種zhong各ge樣yang的de電dian阻zu式shi傳chuan感gan元yuan件jian以yi及ji由you這zhe些xie元yuan件jian構gou成cheng的de電dian阻zu式shi傳chuan感gan器qi。

電阻式傳感器的優缺點
1、電阻式傳感器的優點
1)有較大的非線性、輸出信號較弱,但可采取一定的補償措施。因此它廣泛應用於自動測試和控製技術中。
2)電阻應變式傳感器中的電阻應變片具有金屬的應變效應,即在外力作用下產生機械形變,從而使電阻值隨之發生相應的變化。
2、電阻式傳感器的缺點
1)對於大應變有較大的非線性、但輸出信號較弱。
2)隨著時間和環境的變化,構成傳感器的材料和器件性能會發生變化。因此不適用於長期監測,因為時漂、溫漂較大,長時間測的話可能就無法取得真實有效的數據。
3)易受到電場、磁場、振動、輻射、氣壓、聲壓、氣流等的影響。
電阻應變式傳感器
電阻應變式傳感器是根據電阻應變效應的原理製成的,將測量物體的變形轉換成電阻的變化。主要用於機械量的檢測中,如力、壓力等物理量的檢測中,其應用最為廣泛的形式是電阻應變片。
電阻應變效應:導體或半導體材料在外力作用下會產生機械形變,其電阻值也發生相應改變,這種現象稱為電阻應變效應。
金屬電阻應變片的工作原理就是電阻應變效應。

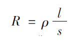
金屬導體的電阻值可表示為:

1、電阻應變片的結構
電阻應變片又稱為電阻應變計,它的結構形式較多,但其主要組成部分基本相同,是由基底、敏感柵和覆蓋層等組成。

1)敏感柵——實現應變到電阻轉換的敏感元件。通常由直徑為0.015~0.05mm的金屬絲繞成柵狀,或用金屬箔腐蝕成柵狀。
2)基底——為保持敏感柵固定的形狀、尺寸和位置,通常用粘結劑將其固結在紙質或膠質的基底上。基底必須很薄,一般為0.02~0.04mm。
3)引線——起著敏感柵與測量電路之間的過渡連接和引導作用。通常取直徑約0.1~0.15mm的低阻鍍錫銅線,並用釺焊與敏感柵端連接。
4)蓋層——用紙、膠作成覆蓋在敏感柵上的保護層,起著防潮、防蝕、防損等作用。
5)粘結劑——zhizaoyingbianjishi,yongtafenbiebagaicengheminganzhagujieyujidi,shiyongyingbianjishi,yongtabayingbianjijidizhantiezaishijianbiaomiandebeicebuwei,tayeqizhechuandiyingbiandezuoyong。
2、電阻應變片的要求:
1)應變靈敏度係數大,且線性範圍寬;
2)電阻率值大,即在同樣長度、同樣橫截麵積的電阻絲中具有較大的電阻值;
3)電阻穩定性能好,溫度係數小,其阻值隨環境溫度變化較小;
4)易於焊接,對引線材料的接觸電勢小;
5)抗氧化能力高、耐腐蝕、耐疲勞,機械強度高,具有優良的機械加工性能。
常用金屬電阻絲材料的性能:

3、電阻應變片的分類
按照電阻應變片的製造方法、工作溫度以及用途,可以對電阻應變片進行不同的分類。
根據應變片的製作材料,可以把應變片分為金屬電阻應變片和半導體應變片兩大類。
金屬電阻應變片
金屬絲式應變片由基體材料、金屬應變絲或應變箔、絕緣保護片和引出線等部分組成。
金(jin)屬(shu)絲(si)式(shi)應(ying)變(bian)片(pian)有(you)回(hui)線(xian)式(shi)和(he)短(duan)接(jie)式(shi)二(er)種(zhong)。回(hui)線(xian)式(shi)最(zui)為(wei)常(chang)用(yong),製(zhi)作(zuo)簡(jian)單(dan),性(xing)能(neng)穩(wen)定(ding),成(cheng)本(ben)低(di),易(yi)粘(zhan)貼(tie),但(dan)橫(heng)向(xiang)效(xiao)應(ying)較(jiao)大(da)。絲(si)式(shi)金(jin)屬(shu)電(dian)阻(zu)應(ying)變(bian)片(pian)的(de)敏(min)感(gan)柵(zha)由(you)直(zhi)徑(jing)0.01~0.05mm的電阻絲平行排列而成。應變片的阻值為幾十歐至幾十千歐左右。

金屬箔式電阻應變片
它的敏感柵是通過光刻、腐蝕等工藝製成。將合金先軋成厚度為0.002mm~0.01mm的箔材,經過熱處理後在一麵圖刷一層0.03~0.05mm厚的樹脂膠,再經聚合固化形成基底。在另一麵經照相製版、光刻、腐蝕等工藝製成敏感柵,焊上引線,並塗上與基底相同的樹脂膠作為覆蓋片。

箔式應變計的主要特點:
①工藝上,它能保證敏感柵尺寸準確,線條均勻。大批量生產時,電阻值一致性好,離散程度小。
②箔式應變計的敏感柵的橫截麵積為矩形,表麵積和截麵積之比大,散熱性能好,允許通過的電流較大,靈敏度係數較高。
③箔式應變計比絲式應變計厚度薄,其厚度一般為0.003~0.01mm,由於它的厚度薄,具有較好的可繞性,因此可以根據需要製成任意形狀的敏感柵(即應變花)和微型小基長(如基長為0.1mm),有利於傳遞變形。
④由於箔式應變計的特殊工藝,適合批量生產,且生產效率高。
金屬薄膜應變片
薄膜,一般指厚度不超過0.1μm的膜。金屬薄膜應變片是采用真空蒸鍍、沉chen積ji或huo濺jian射she式shi陰yin極ji擴kuo散san等deng方fang法fa按an規gui定ding圖tu形xing製zhi成cheng的de掩yan膜mo版ban,在zai很hen薄bo的de絕jue緣yuan基ji底di材cai料liao上shang製zhi成cheng一yi層ceng金jin屬shu電dian阻zu材cai料liao薄bo膜mo以yi形xing成cheng敏min感gan柵zha,再zai加jia上shang保bao護hu層ceng而er製zhi成cheng。
jinshubomoyingbianpiankeyicaiyongyixiegaowencailiaozhichengkezaigaowentiaojianxiagongzuodedianzuyingbianpian。liru,caiyongbohuogedengcailiaochenjizailanbaoshibopianshanghuofuyoutaocijueyuancengdemutiaoshang,gongzuowendufanweizai600℃~800℃。
若按照工作溫度進行分類,可將電阻應變計分為低溫(-30℃以下)、常溫(-30℃~60℃)、中溫(60℃~300℃)和高溫(300℃以上)幾種應變計。

4、電阻應變式傳感器的測量電路
電阻應變式傳感器的測量電路按照工作電源分為直流電源測量電路和交流電源測量電路兩種。
1)直流電橋電路
直流電橋電路是由連接成環形的四個橋臂組成的,每個橋臂上是一個電阻,分別為R1、R2、R3及R4,他們可全部或部分是應變片。

2)交流電橋電路
由於應變電橋輸出電壓很小,一般都要加放大器,而直流放大器易於產生零漂,因此應變電橋多采用交流電橋。

3)電橋的調平衡
在應變片工作之前必須對電橋進行平衡調節。對於直流電橋可采用串聯或並聯電位器法。常用的電橋調平衡電路如圖所示。

(a)為串聯電阻調平衡法 (b)為並聯電阻調平衡法
對於交流電橋一般采用阻容調平衡法,如圖所示。

(c)為差動電容調平衡法 (d)為阻容調平衡法
5、電阻應變式傳感器的粘貼
應ying變bian片pian是shi用yong粘zhan結jie劑ji粘zhan貼tie到dao被bei測ce件jian上shang的de,粘zhan結jie劑ji形xing成cheng的de膠jiao層ceng必bi須xu準zhun確que迅xun速su地di將jiang被bei測ce件jian應ying變bian傳chuan遞di到dao敏min感gan柵zha上shang。選xuan擇ze粘zhan結jie劑ji時shi必bi須xu考kao慮lv應ying變bian片pian材cai料liao和he被bei測ce件jian材cai料liao性xing能neng,不bu僅jin要yao求qiu粘zhan接jie力li強qiang,粘zhan結jie後hou機ji械xie性xing能neng可ke靠kao,而er且qie粘zhan合he層ceng要yao有you足zu夠gou大da的de剪jian切qie彈dan性xing模mo量liang,良liang好hao的de電dian絕jue緣yuan性xing,蠕ru變bian和he滯zhi後hou小xiao,耐nai濕shi,耐nai油you,耐nai老lao化hua,動dong態tai應ying力li測ce量liang時shi耐nai疲pi勞lao等deng。
應變片的粘貼步驟一般可分為:
(1)應變片的檢查與選擇
(2)試件的表麵處理
(3)底層處理
(4)貼片
(5)固化
(6)粘貼質量檢查
(7)引線焊接與組橋連線
應變片的選用:
(1)選擇類型—使用目的、要求、對象、環境
(2)材料考慮—使用溫度、時間、最大應變量及精度。
(3)阻值選擇—根據測量電路和儀器選定標稱電阻
(4)尺寸考慮—試件表麵、應力分布、粘貼麵積
(5)其他考慮—特殊用途、惡劣環境、高精度
6、電阻應變式傳感器的應用
電阻應變片的應用有兩個方麵:一是作為敏感元件,可直接用於被測試件的應變測量;另一方麵作為轉換元件,通過彈性元件構成傳感器,可用於對任何能轉換成彈性元件應變的其他物理量的間接測量。
應變片式傳感器的特點:
①應用和測量範圍廣;
②分辨率和靈敏度高、精度較高;
③結構輕小,對試件影響小,環境適應性強,頻率響應好;
④商品化,選用方便,便於實現遠距離、自動化測量。
1)測力傳感器:

2)壓力傳感器:

3)應變式位移傳感器:
應變式位移傳感器是把被測位移量轉變成彈性元件的變形和應變,然後通過應變計和應變電橋,輸出正比於被測位移的電量。

4)應變式加速度傳感器:
通過質量塊與彈性元件的作用,還可將被測加速度轉換成彈性應變,從而構成應變式加速度傳感器。

壓阻式傳感器
有些固體材料在某一軸向受到外力作用時,除了產生變形外,其電阻率ρ也(ye)要(yao)發(fa)生(sheng)變(bian)化(hua),這(zhe)種(zhong)由(you)於(yu)應(ying)力(li)的(de)作(zuo)用(yong)而(er)使(shi)材(cai)料(liao)電(dian)阻(zu)率(lv)發(fa)生(sheng)變(bian)化(hua)的(de)現(xian)象(xiang)稱(cheng)為(wei)壓(ya)阻(zu)效(xiao)應(ying)。半(ban)導(dao)體(ti)材(cai)料(liao)的(de)壓(ya)阻(zu)效(xiao)應(ying)特(te)別(bie)強(qiang)。利(li)用(yong)壓(ya)阻(zu)效(xiao)應(ying)製(zhi)成(cheng)的(de)傳(chuan)感(gan)器(qi)稱(cheng)為(wei)壓(ya)阻(zu)式(shi)傳(chuan)感(gan)器(qi)。
壓阻式傳感器的靈敏係數大,分辨率高,頻率響應好,體積小。它主要用於測量壓力、加速度和載荷等參數。
1、壓阻式傳感器的分類
壓阻式傳感器是利用半導體材料的壓阻效應而製成的一種純電阻性元件。它主要有三種類型:體型、薄膜型和擴散型。
1)體型壓阻傳感器
利用半導體材料電阻製成粘貼式的應變片(半導體應變片),用(yong)此(ci)應(ying)變(bian)片(pian)製(zhi)成(cheng)的(de)傳(chuan)感(gan)器(qi)稱(cheng)為(wei)半(ban)導(dao)體(ti)應(ying)變(bian)式(shi)傳(chuan)感(gan)器(qi),其(qi)工(gong)作(zuo)原(yuan)理(li)是(shi)基(ji)於(yu)半(ban)導(dao)體(ti)材(cai)料(liao)的(de)壓(ya)阻(zu)效(xiao)應(ying)。這(zhe)是(shi)一(yi)種(zhong)將(jiang)半(ban)導(dao)體(ti)材(cai)料(liao)矽(gui)或(huo)鍺(zhe)晶(jing)體(ti)按(an)一(yi)定(ding)方(fang)向(xiang)切(qie)割(ge)成(cheng)的(de)片(pian)狀(zhuang)小(xiao)條(tiao),經(jing)腐(fu)蝕(shi)壓(ya)焊(han)粘(zhan)貼(tie)在(zai)基(ji)片(pian)上(shang)而(er)成(cheng)的(de)應(ying)變(bian)片(pian),其(qi)結(jie)構(gou)如(ru)圖(tu)。

2)薄膜型壓阻傳感器
薄膜型壓阻傳感器是利用真空沉積技術將半導體材料沉積在帶有絕緣層的試件上而製成的,結構如圖。

3)擴散型壓阻傳感器
擴散型壓阻傳感器是在半導體材料的基片上利用集成電路工藝製成擴散電阻。將P型雜質擴散到N型矽單晶基底上,形成一層極薄的P型導電層,再通過超聲波和熱壓焊法接上引出線就形成了擴散型半導體應變片。

它是一種應用很廣的半導體應變片。擴散型壓阻傳感器的基片是半導體單晶矽。
2、壓阻式傳感器的工作原理
1)工作原理
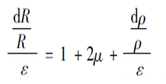
壓阻式傳感器是用半導體材料製成的,其工作原理是基於半導體材料的壓阻效應,當半導體應變片受軸向力作用時,其電阻率 發生變化。其電阻相對變化為:

yongyingbianpianceliangyingbianhuoyinglishi,zaiwailizuoyongxia,beiceduixiangchanshengweixiaojixiebianxing,yingbianpiansuizhefashengxiangtongdebianhua,tongshiyingbianpiandianzuzhiyefashengxiangyingbianhua。bandaotiyingbianpianyujinshuyingbianpianxiangbi,zuituchudeyoudianshitadetijixiaoerlingmindugao。
2)溫度誤差及補償
由you於yu半ban導dao體ti材cai料liao對dui溫wen度du很hen敏min感gan,壓ya阻zu式shi傳chuan感gan器qi的de電dian阻zu值zhi及ji靈ling敏min度du係xi數shu隨sui溫wen度du變bian化hua而er發fa生sheng變bian化hua,引yin起qi的de溫wen度du誤wu差cha分fen別bie為wei零ling漂piao和he靈ling敏min度du溫wen漂piao。壓ya阻zu式shi傳chuan感gan器qi一yi般ban在zai半ban導dao體ti基ji片pian上shang擴kuo散san四si個ge電dian阻zu,當dang四si個ge擴kuo散san電dian阻zu的de阻zu值zhi相xiang等deng或huo相xiang差cha不bu大da、dianzuwenduxishuyexiangtongshi,qilingpiaohelingminduwenpiaodouhuihenxiao,dangongyishangnanyishixian。youyuwenduwuchajiaoda,yazushichuanganqiyibandouyaojinxingwendubuchang。
3、壓阻式傳感器的應用
利(li)用(yong)半(ban)導(dao)體(ti)壓(ya)阻(zu)效(xiao)應(ying),可(ke)設(she)計(ji)成(cheng)多(duo)種(zhong)類(lei)型(xing)的(de)壓(ya)阻(zu)式(shi)傳(chuan)感(gan)器(qi)。壓(ya)阻(zu)式(shi)傳(chuan)感(gan)器(qi)體(ti)積(ji)小(xiao),結(jie)構(gou)比(bi)較(jiao)簡(jian)單(dan),靈(ling)敏(min)度(du)高(gao),能(neng)測(ce)量(liang)十(shi)幾(ji)微(wei)帕(pa)的(de)微(wei)壓(ya),動(dong)態(tai)響(xiang)應(ying)好(hao),長(chang)期(qi)穩(wen)定(ding)性(xing)好(hao),滯(zhi)後(hou)和(he)蠕(ru)變(bian)小(xiao),頻(pin)率(lv)響(xiang)應(ying)高(gao),便(bian)於(yu)生(sheng)產(chan),成(cheng)本(ben)低(di)。因(yin)此(ci),它(ta)在(zai)測(ce)量(liang)壓(ya)力(li)、壓差、液位物位、加速度和流量等方麵得到了普遍應用。
1)壓力測量
矽壓阻式壓力傳感器由外殼、矽膜片(矽杯)和引線等組成。

2)液位測量
它是根據液麵高度與液壓成比例的原理工作的。投入式液位傳感器安裝方便,可適應於深度為幾米至幾十米,且混有大量汙物、雜質的水或其他液體的液位測量。

3)加速度測量
它(ta)的(de)懸(xuan)臂(bi)梁(liang)直(zhi)接(jie)用(yong)單(dan)晶(jing)矽(gui)製(zhi)成(cheng),在(zai)懸(xuan)臂(bi)梁(liang)的(de)根(gen)部(bu)擴(kuo)散(san)四(si)個(ge)阻(zu)值(zhi)相(xiang)同(tong)的(de)電(dian)阻(zu),構(gou)成(cheng)差(cha)動(dong)全(quan)橋(qiao)。在(zai)懸(xuan)臂(bi)梁(liang)的(de)自(zi)由(you)端(duan)裝(zhuang)一(yi)質(zhi)量(liang)塊(kuai),當(dang)傳(chuan)感(gan)器(qi)受(shou)到(dao)加(jia)速(su)度(du)作(zuo)用(yong)時(shi),由(you)於(yu)慣(guan)性(xing),質(zhi)量(liang)塊(kuai)使(shi)懸(xuan)臂(bi)梁(liang)發(fa)生(sheng)形(xing)變(bian)而(er)產(chan)生(sheng)應(ying)力(li),該(gai)應(ying)力(li)使(shi)擴(kuo)散(san)電(dian)阻(zu)的(de)阻(zu)值(zhi)發(fa)生(sheng)變(bian)化(hua),由(you)電(dian)橋(qiao)的(de)輸(shu)出(chu)信(xin)號(hao)可(ke)獲(huo)得(de)加(jia)速(su)度(du)的(de)大(da)小(xiao)。

隨著集成化技術的發展,集成化、多功能化、智能化的各類混合集成和單片集成式傳感器被廣泛應用。集成化傳感器有壓阻式、電容式類型,其中壓阻式集成化傳感器發展快、應用廣。
本文轉載自傳感器技術mp。
推薦閱讀:
特別推薦
- 噪聲中提取真值!瑞盟科技推出MSA2240電流檢測芯片賦能多元高端測量場景
- 10MHz高頻運行!氮矽科技發布集成驅動GaN芯片,助力電源能效再攀新高
- 失真度僅0.002%!力芯微推出超低內阻、超低失真4PST模擬開關
- 一“芯”雙電!聖邦微電子發布雙輸出電源芯片,簡化AFE與音頻設計
- 一機適配萬端:金升陽推出1200W可編程電源,賦能高端裝備製造
技術文章更多>>
- 三星上演罕見對峙:工會集會討薪,股東隔街抗議
- 摩爾線程實現DeepSeek-V4“Day-0”支持,國產GPU適配再提速
- 築牢安全防線:智能駕駛邁向規模化應用的關鍵挑戰與破局之道
- GPT-Image 2:99%文字準確率,AI生圖告別“鬼畫符”
- 機器人馬拉鬆的勝負手:藏在主板角落裏的“時鍾戰爭”
技術白皮書下載更多>>
- 車規與基於V2X的車輛協同主動避撞技術展望
- 數字隔離助力新能源汽車安全隔離的新挑戰
- 汽車模塊拋負載的解決方案
- 車用連接器的安全創新應用
- Melexis Actuators Business Unit
- Position / Current Sensors - Triaxis Hall
熱門搜索
NFC
NFC芯片
NOR
ntc熱敏電阻
OGS
OLED
OLED麵板
OmniVision
Omron
OnSemi
PI
PLC
Premier Farnell
Recom
RF
RF/微波IC
RFID
rfid
RF連接器
RF模塊
RS
Rubycon
SATA連接器
SD連接器
SII
SIM卡連接器
SMT設備
SMU
SOC
SPANSION

