阻抗測量方法在傳感器技術中的應用
發布時間:2011-11-08
中心議題:
- 如何分析阻抗
- 阻抗數據分析
- 基於阻抗特性的傳感器
- 優化電路設計
解決方案:
- 腐蝕分析
實際應用中的電路元件要比理想電阻複雜得多,並且呈現出阻性、容性和感性特性,它們共同決定了阻抗特性。阻抗與電阻的不同主要在於兩個方麵。首先,阻抗是一種交流(AC)特性;qici,tongchangzaimougetedingpinlvxiadingyizukang。ruguozaibutongdepinlvtiaojianxiaceliangzukang,huidedaobutongdezukangzhi。tongguoceliangduogepinlvxiadezukang,cainenghuoquyoujiazhideyuanjianshuju。zhejiushizukangpinpufa(IS)的基礎,也是為許多工業、儀器儀表和汽車傳感器應用打下基礎的基本概念。
電子元件的阻抗可由電阻、電容或電感組成,更一般的情況是三者的組合。可以采用虛阻抗來建立這種模型。電感器具有的阻抗為jωL,電容器具有的阻抗為1/jωC,其中j是虛數單位,ω是信號的角頻率。采用複數運算將這些阻抗分量組合起來。阻抗的虛數部分稱為電抗,總表達式為Z=R+jX,其中X為電抗,Z表示阻抗。當信號的頻率上升時,容抗Xc降低,而感抗XL升高,從而引起總阻抗的變化,阻抗與頻率呈函數關係。純電阻的阻抗不隨頻率變化。
如何分析阻抗
為(wei)了(le)檢(jian)測(ce)元(yuan)件(jian)的(de)阻(zu)抗(kang),在(zai)以(yi)不(bu)同(tong)的(de)頻(pin)率(lv)對(dui)器(qi)件(jian)進(jin)行(xing)掃(sao)描(miao)時(shi),通(tong)常(chang)需(xu)要(yao)測(ce)量(liang)時(shi)域(yu)或(huo)頻(pin)域(yu)的(de)響(xiang)應(ying)信(xin)號(hao)。測(ce)量(liang)頻(pin)域(yu)響(xiang)應(ying)信(xin)號(hao)一(yi)般(ban)采(cai)用(yong)模(mo)擬(ni)信(xin)號(hao)分(fen)析(xi)方(fang)法(fa),例(li)如(ru)交(jiao)流(liu)耦(ou)合(he)電(dian)橋(qiao),但(dan)是(shi)采(cai)用(yong)高(gao)性(xing)能(neng)模(mo)數(shu)轉(zhuan)換(huan)器(qi)(ADC),允許在時域采集數據,然後再轉換到頻域。
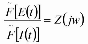
許xu多duo積ji分fen變bian換huan都dou可ke以yi用yong於yu將jiang數shu據ju轉zhuan換huan到dao頻pin域yu,如ru傅fu裏li葉ye分fen析xi。這zhe種zhong方fang法fa就jiu是shi取qu出chu信xin號hao的de一yi係xi列lie時shi域yu信xin號hao表biao示shi,然ran後hou應ying用yong積ji分fen變bian換huan將jiang其qi映ying射she為wei頻pin譜pu。采cai用yong這zhe種zhong方fang法fa可ke以yi給gei出chu任ren意yi兩liang種zhong信xin號hao之zhi間jian關guan係xi的de數shu學xue描miao述shu。在zai阻zu抗kang分fen析xi中zhong感gan興xing趣qu的de是shi激ji勵li電dian流liu(元件的輸入)和電壓響應(元件的輸出)之zhi間jian的de關guan係xi。如ru果guo係xi統tong是shi線xian性xing的de,測ce得de的de時shi域yu電dian壓ya和he電dian流liu的de各ge自zi傅fu裏li葉ye變bian換huan的de比bi值zhi就jiu等deng於yu其qi阻zu抗kang,並bing且qie它ta可ke以yi表biao示shi成cheng一yi個ge複fu數shu。這zhe個ge複fu數shu的de實shi數shu部bu分fen和he虛xu數shu部bu分fen構gou成cheng隨sui後hou數shu據ju分fen析xi的de關guan鍵jian部bu分fen。

其中,E=係統電壓;I=係統電流;t=時域參數;Z(jw)=傅裏葉變換
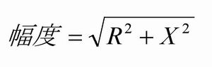
將複數形式轉換成極坐標形式便可以得到在特定頻率下響應信號的幅度和相位與激勵信號的關係。


其中R和Xfenbiebiaoshifushudeshibuhexubu。shangmianjisuandedaodefudubiaoshigaiyuanjianzaitedingpinlvtiaojianxiadefushuzukang。zaisaopindeqingkuangxia,keyijisuanchumeigepinlvdianduiyingdefushuzukang。
阻抗數據分析
常用的方法是將產生的阻抗與頻率的關係曲線作為數據分析的一部分。當頻率在給定的範圍內掃頻時,奈奎斯特(Nyquist)圖是在複數平麵內以傳遞函數的實部和虛部為參數的曲線。如果圖中的x軸表示實部,y軸表示虛部(注意:y軸取負數),就可以得到每個頻率點的阻抗表示。換句話說就是,曲線上的每個點都代表了某個頻率點的阻抗。可以從向量長度|Z|和該向量與x軸之間的夾角?計算出阻抗。圖1為電阻器和電容器並聯時的典型奈奎斯曲線。

圖1:電阻器和電容器並聯時的奈奎斯曲線[page]
盡jin管guan奈nai奎kui斯si曲qu線xian很hen常chang用yong,但dan是shi它ta不bu能neng給gei出chu頻pin率lv信xin息xi,所suo以yi對dui於yu任ren何he特te定ding阻zu抗kang,都dou不bu可ke能neng知zhi道dao采cai用yong的de頻pin率lv值zhi是shi多duo少shao。因yin此ci,奈nai奎kui斯si曲qu線xian通tong常chang要yao采cai用yong其qi它ta曲qu線xian來lai補bu充chong。另ling外wai一yi種zhong常chang用yong的de表biao示shi方fang法fa就jiu是shi波bo特te(Bode)圖。在波特圖中,x軸表示頻率的對數,阻抗的幅度絕對值|Z|和相移都用y軸表示。因此波特圖同時表示了阻抗與頻率和相移與頻率的關係。通常將奈奎斯曲線和波特圖一起使用來分析傳感器元件的傳遞函數。

圖2:表示阻抗與頻率和相角與頻率之間關係的波特圖
基於阻抗特性的傳感器
考慮一個基於阻抗特性的傳感器,在正常條件下其電容、電dian感gan和he電dian阻zu特te性xing的de組zu合he會hui產chan生sheng一yi個ge特te定ding的de阻zu抗kang信xin號hao。如ru果guo傳chuan感gan器qi周zhou圍wei環huan境jing的de變bian化hua引yin起qi上shang述shu特te性xing的de任ren何he變bian化hua,都dou會hui造zao成cheng阻zu抗kang的de改gai變bian。通tong過guo測ce量liang這zhe種zhong阻zu抗kang傳chuan感gan器qi隨sui頻pin率lv變bian化hua的de特te性xing,將jiang會hui得de到dao一yi係xi列lie新xin的de阻zu抗kang特te性xing。
一yi種zhong相xiang當dang簡jian單dan的de方fang法fa就jiu是shi將jiang阻zu抗kang的de測ce量liang值zhi和he預yu測ce值zhi比bi較jiao以yi便bian得de出chu某mou種zhong結jie論lun。這zhe種zhong工gong作zuo原yuan理li的de一yi個ge實shi例li就jiu是shi一yi種zhong采cai用yong渦wo流liu原yuan理li的de金jin屬shu檢jian測ce傳chuan感gan器qi。在zai位wei於yu傳chuan感gan器qi外wai殼ke的de線xian圈quan中zhong產chan生sheng一yi個ge高gao頻pin交jiao流liu信xin號hao。該gai線xian圈quan產chan生sheng的de電dian磁ci場chang在zai導dao電dian靶ba中zhong感gan應ying出chu渦wo流liu。反fan過guo來lai這zhe個ge渦wo流liu與yu該gai傳chuan感gan器qi線xian圈quan相xiang互hu作zuo用yong,所suo以yi改gai變bian了le其qi阻zu抗kang。
celiangsuipinlvbianhuadexianquanzukangjuyouxuduohaochu。yinweicailiaodeshentoulvhuiyingxiangxianquandezukang,suoyiliyongjingyanzukangtexingkedechuyixieyouguanjinshuleixingdejielun。caiyongzhezhongfangfahaikeyiyunxugaizukangtexingchuanganqijiancejuyoubutongshentoulvdejinshu。shentoulvbianhuahaikeyiyongyuceliangjinshuyali,yinweiyalibianhuahuigaibianshentoulv,ershentoulvdebianhuayouhuigaibianzukang。botetuhenaikuisiquxianzaijianzhachuanganqidepinlvxiangyingfangmianshihenyouyongde。celiangdaliangpinlvdiandezukangbiceliangdangepinlvdiandezukangdedaodejieguogengweijingque,yinweizheyouzhuyuquchuzaosheng。haikeyitongguozaimouxietedingtiaojianxiaceliangdianrongfenlianghedianganfenliangdepinlvxiangyingquedingzuijiadegongzuopinlvdian。
將阻抗的測量值和其理想值相比較的方法可適用於許多基於阻抗特性能引起電阻、電容或電感變化原理的傳感器技術。常見的應用範圍包括從采用化學傳感器的氣體檢測、基於電容特性的濕度傳感器、遊戲或食品業中的金屬硬幣或顆粒特征識別,到農業中的土壤監測。
阻抗分析不僅僅包含簡單地將阻抗響應特性與其理想特性相比較。阻抗頻譜法(IS)tongchangyongyubiaozhengxitongyijihuoquyouguanxitongdeyoujiazhixinxi。benwendemudeshijiangxitongcongzongtishangdingyiweiyigeyuanjianhuozheyudianjiyoudianjiechudecailiao。zhezhongjiechukeyishigutiyuguti(在許多化學傳感器的情況下)或者固體與液體(當測量液體中某種成分的濃度時)之間的界麵。采用IS可以得到有關元件本身和元件與電極之間界麵的信息。
IS的原理利用這樣的事實:如ru果guo給gei界jie麵mian施shi加jia很hen小xiao的de電dian位wei,它ta就jiu會hui極ji化hua。界jie麵mian極ji化hua的de方fang式shi與yu當dang施shi加jia電dian位wei反fan轉zhuan時shi極ji化hua改gai變bian的de速su度du相xiang結jie合he,可ke以yi表biao征zheng界jie麵mian的de特te性xing。對dui於yu係xi統tong界jie麵mian,例li如ru吸xi附fu和he反fan應ying速su率lv常chang數shu、擴散係數和電容等信息都可以得到。對於元件本身,有關其介電常數、電導率、電荷均衡遷移率、各成分濃度以及大量生成率和複合率等信息都可以估計出來。
係統或元件的等效電路模型是分析阻抗掃描所產生數據的基礎。這種模型通常是所連接的電阻器、電(dian)容(rong)器(qi)和(he)電(dian)感(gan)器(qi)的(de)組(zu)合(he),以(yi)便(bian)模(mo)擬(ni)該(gai)係(xi)統(tong)的(de)電(dian)特(te)性(xing)。我(wo)們(men)要(yao)找(zhao)的(de)模(mo)型(xing)要(yao)求(qiu)在(zai)不(bu)同(tong)頻(pin)率(lv)下(xia)其(qi)阻(zu)抗(kang)要(yao)與(yu)測(ce)得(de)的(de)阻(zu)抗(kang)特(te)性(xing)相(xiang)匹(pi)配(pei)。在(zai)理(li)想(xiang)情(qing)況(kuang)下(xia),模(mo)型(xing)的(de)元(yuan)件(jian)和(he)互(hu)連(lian)方(fang)式(shi)的(de)選(xuan)擇(ze)要(yao)用(yong)來(lai)表(biao)示(shi)特(te)定(ding)的(de)電(dian)化(hua)學(xue)特(te)性(xing),而(er)且(qie)要(yao)符(fu)合(he)該(gai)過(guo)程(cheng)的(de)物(wu)理(li)特(te)性(xing)。可(ke)以(yi)采(cai)用(yong)文(wen)獻(xian)中(zhong)已(yi)有(you)的(de)模(mo)型(xing),也(ye)可(ke)以(yi)根(gen)據(ju)經(jing)驗(yan)建(jian)立(li)一(yi)種(zhong)新(xin)模(mo)型(xing)。
在zai根gen據ju經jing驗yan建jian立li模mo型xing的de情qing況kuang下xia,要yao在zai經jing驗yan模mo型xing和he測ce量liang數shu據ju之zhi間jian找zhao到dao最zui佳jia匹pi配pei。因yin為wei模mo型xing中zhong的de元yuan件jian不bu一yi定ding總zong是shi符fu合he電dian化hua學xue工gong藝yi的de物wu理li特te性xing,所suo以yi可ke以yi單dan獨du構gou建jian模mo型xing以yi便bian得de到dao最zui佳jia匹pi配pei。通tong過guo逐zhu步bu增zeng大da或huo減jian小xiao元yuan件jian的de阻zu抗kang直zhi至zhi得de到dao最zui佳jia匹pi配pei,便bian可ke以yi建jian立li起qi經jing驗yan模mo型xing。通tong常chang根gen據ju非fei線xian性xing最zui小xiao二er乘cheng法fa擬ni合he(NLLS)原理來完成建模。借助於計算機,利用NLLS算suan法fa先xian初chu步bu估gu計ji模mo型xing參can數shu,然ran後hou逐zhu步bu改gai變bian每mei個ge模mo型xing參can數shu,並bing評ping估gu產chan生sheng的de擬ni合he結jie果guo。采cai用yong軟ruan件jian迭die代dai處chu理li直zhi至zhi找zhao到dao可ke以yi接jie受shou的de最zui佳jia擬ni合he結jie果guo。
shujufenxihedengxiaodianlumoxingdouyingdangfeichangxiaoxindeduidai,erqieyaojinxingjinkenengduodemoxingyanzheng。suirantongguozengjiayuanjianjihuzongkeyijianliyigefeichangheshidemoxing,danshizheyangbingbunengrenweitajiudaibiaolexitongdedianhuaxuegongyi。yibanshuolai,jingyanmoxingyinggaicaiyongjinkenengshaodeyuanjian,erqieyingdangjinkenengcaiyongjiyuxitongdianhuaxuegongyililunjichudewulimoxing。
另ling外wai,通tong常chang可ke以yi建jian立li具ju有you相xiang同tong阻zu抗kang特te性xing的de許xu多duo不bu同tong的de經jing驗yan模mo型xing。雖sui然ran可ke能neng得de到dao一yi個ge很hen好hao的de最zui小xiao二er乘cheng法fa匹pi配pei模mo型xing,但dan仍reng然ran有you可ke能neng得de到dao不bu能neng代dai表biao該gai物wu理li係xi統tong的de不bu恰qia當dang模mo型xing。還hai有you可ke能nengNLLS擬ni合he算suan法fa對dui測ce量liang特te性xing有you部bu分fen遺yi漏lou或huo者zhe沒mei有you收shou斂lian。這zhe是shi因yin為wei很hen多duo算suan法fa都dou試shi圖tu在zai整zheng個ge頻pin譜pu範fan圍wei內nei優you化hua擬ni合he曲qu線xian,所suo以yi有you可ke能neng漏lou掉diao了le頻pin譜pu中zhong某mou些xie特te定ding頻pin率lv點dian上shang不bu好hao的de擬ni合he數shu據ju。
腐蝕分析是采用IS法表征係統特性的常見應用,也是一個很好的實例。金屬的腐蝕(例如鋁和鋼)是shi許xu多duo行xing業ye中zhong的de重zhong大da安an全quan考kao慮lv因yin素su。如ru果guo不bu重zhong視shi的de話hua,它ta會hui導dao致zhi金jin屬shu壽shou命ming過guo早zao結jie束shu。自zi動dong監jian視shi腐fu蝕shi的de能neng力li能neng顯xian著zhu節jie省sheng成cheng本ben,具ju有you安an全quan和he可ke靠kao性xing優you勢shi,而er且qie有you助zhu於yu最zui佳jia化hua預yu防fang性xing地di維wei護hu係xi統tong。
除(chu)了(le)確(que)定(ding)腐(fu)蝕(shi)的(de)程(cheng)度(du),通(tong)過(guo)監(jian)測(ce)腐(fu)蝕(shi)的(de)速(su)率(lv)還(hai)有(you)可(ke)能(neng)預(yu)測(ce)金(jin)屬(shu)疲(pi)勞(lao)。產(chan)生(sheng)金(jin)屬(shu)疲(pi)勞(lao)後(hou),在(zai)小(xiao)裂(lie)縫(feng)出(chu)現(xian)的(de)地(di)方(fang)會(hui)從(cong)有(you)彈(dan)性(xing)變(bian)為(wei)沒(mei)有(you)彈(dan)性(xing)。這(zhe)些(xie)裂(lie)縫(feng)是(shi)新(xin)的(de),但(dan)是(shi)腐(fu)蝕(shi)速(su)率(lv)相(xiang)當(dang)地(di)快(kuai),而(er)且(qie)裂(lie)紋(wen)擴(kuo)展(zhan)的(de)速(su)率(lv)以(yi)及(ji)隨(sui)後(hou)的(de)腐(fu)蝕(shi)代(dai)表(biao)了(le)金(jin)屬(shu)疲(pi)勞(lao)的(de)程(cheng)度(du)。早(zao)期(qi)鑒(jian)定(ding)腐(fu)蝕(shi)的(de)方(fang)法(fa),特(te)別(bie)是(shi)在(zai)很(hen)難(nan)達(da)到(dao)且(qie)無(wu)法(fa)看(kan)到(dao)的(de)位(wei)置(zhi),可(ke)以(yi)防(fang)止(zhi)或(huo)者(zhe)減(jian)慢(man)嚴(yan)重(zhong)腐(fu)蝕(shi)的(de)破(po)壞(huai)。它(ta)還(hai)可(ke)以(yi)用(yong)於(yu)幫(bang)助(zhu)在(zai)現(xian)實(shi)條(tiao)件(jian)下(xia)鑒(jian)定(ding)不(bu)同(tong)的(de)保(bao)護(hu)塗(tu)層(ceng)。
[page]
下麵是根據物理學知識和腐蝕期間發生的電化學工藝過程建立的一種腐蝕過程等效電路模型。常用於腐蝕監視的等效電路用一個電阻器(Rp)和電容器(Cp)相並聯再與一個電阻器Rs相串聯表示。

圖3. 用於腐蝕分析的常用等效電路
在模型A中電阻器Rs表示金屬所在的溶液,而電容Ccbiaoshijinshubiaomiandebaohutucenghuotuliao,zhebiaoshichushitucengdedianrong。jingguoyiduanshijianhou,shuishenrutucengzhongxingchengxindeyetihejinshujiemian。suizhejinshudefushi,tongguorongyeyujinshuzhijiandebaohutucengxingchenglizidaodianlujing。zhekeyiyongRx與Cc並聯模型來表示。另外,有些模型(模型B)還有一個附加的R和C並聯起來再與Rx串聯的電路來表示金屬保護塗層隨著時間變化的分層模型。
金屬所在的溶液的電阻率或電導率通常是已知的或者很容易獲得,所以可以得到Rs。還可以得到Cp的值,因為可以由保護塗層的介電常數(通常由廠商提供)及其覆蓋的麵積計算得到。然後就是求解RXyibianquedingfushidechengdu。tongchangtongguoquxiannihesuanfadedaoceliangzukangtexingshujudezuijianihelaijiejuezhegewenti。botetuyeshihenchangyongdefangfa,tagenjuqizukangpinlvxiangyinghexiangweipinlvxiangyinglaijiancefushichuanganqidetexing。
IS法(fa)不(bu)僅(jin)僅(jin)限(xian)於(yu)腐(fu)蝕(shi)分(fen)析(xi),還(hai)可(ke)以(yi)用(yong)於(yu)表(biao)征(zheng)多(duo)種(zhong)電(dian)化(hua)學(xue)係(xi)統(tong)。例(li)如(ru),它(ta)可(ke)以(yi)用(yong)於(yu)優(you)化(hua)燃(ran)料(liao)電(dian)池(chi)性(xing)能(neng),預(yu)測(ce)電(dian)池(chi)健(jian)康(kang)狀(zhuang)況(kuang),檢(jian)查(zha)液(ye)體(ti)中(zhong)某(mou)種(zhong)成(cheng)分(fen)的(de)濃(nong)度(du)以(yi)便(bian)確(que)定(ding)其(qi)質(zhi)量(liang),還(hai)可(ke)以(yi)表(biao)征(zheng)某(mou)種(zhong)材(cai)料(liao)的(de)電(dian)化(hua)學(xue)性(xing)能(neng)。
優化電路設計
等deng效xiao電dian路lu模mo型xing一yi旦dan確que定ding,就jiu必bi須xu設she計ji電dian子zi數shu據ju采cai集ji係xi統tong來lai完wan成cheng頻pin率lv掃sao描miao和he獲huo取qu數shu據ju。這zhe通tong常chang是shi一yi項xiang既ji複fu雜za又you費fei時shi的de工gong作zuo,需xu要yao不bu可ke或huo缺que的de電dian子zi學xue知zhi識shi以yi便bian優you化hua電dian路lu設she計ji。
設she計ji的de電dian路lu必bi須xu能neng在zai有you用yong的de範fan圍wei內nei以yi要yao求qiu的de分fen辨bian率lv產chan生sheng頻pin率lv掃sao描miao。在zai許xu多duo電dian化hua學xue係xi統tong中zhong必bi須xu避bi免mian采cai集ji到dao的de數shu據ju受shou到dao電dian化hua學xue工gong藝yi本ben身shen的de幹gan擾rao。所suo以yi通tong常chang采cai用yong小xiao的deAC信號,並且還很重要的一點就是不能在係統中引入DC電位差,因為它會導致進一步的電化學反應。然後必須用ADC采集係統對激勵頻率的響應。在有些設計中需要兩個ADC分別用於捕獲激勵信號和響應信號。這是很複雜的,因為需要兩個ADC同步采樣以便檢測出信號之間的相位變化。
AD5933就是一種典型的集成電路芯片,它提供可編程頻率掃描發生器和集成的ADC,該ADC可(ke)以(yi)與(yu)激(ji)勵(li)頻(pin)率(lv)一(yi)起(qi)工(gong)作(zuo)來(lai)獲(huo)取(qu)響(xiang)應(ying)信(xin)號(hao)。另(ling)外(wai),整(zheng)個(ge)係(xi)統(tong)必(bi)須(xu)保(bao)持(chi)線(xian)性(xing)。換(huan)句(ju)話(hua)說(shuo)就(jiu)是(shi)係(xi)統(tong)的(de)總(zong)帶(dai)寬(kuan)必(bi)須(xu)足(zu)夠(gou)而(er)且(qie)信(xin)號(hao)大(da)小(xiao)也(ye)要(yao)足(zu)夠(gou)才(cai)能(neng)得(de)到(dao)好(hao)的(de)測(ce)量(liang)結(jie)果(guo),但(dan)是(shi)信(xin)號(hao)又(you)不(bu)能(neng)太(tai)大(da)以(yi)至(zhi)於(yu)超(chao)過(guo)ADC或(huo)其(qi)它(ta)元(yuan)件(jian)的(de)量(liang)程(cheng)而(er)引(yin)起(qi)失(shi)真(zhen)。因(yin)為(wei)待(dai)測(ce)元(yuan)件(jian)阻(zu)抗(kang)範(fan)圍(wei)通(tong)常(chang)未(wei)知(zhi),所(suo)以(yi)通(tong)常(chang)最(zui)開(kai)始(shi)需(xu)要(yao)做(zuo)一(yi)些(xie)反(fan)複(fu)試(shi)驗(yan)來(lai)優(you)化(hua)係(xi)統(tong)並(bing)且(qie)確(que)保(bao)它(ta)的(de)線(xian)性(xing)特(te)性(xing)。將(jiang)響(xiang)應(ying)信(xin)號(hao)轉(zhuan)換(huan)為(wei)數(shu)字(zi)形(xing)式(shi)後(hou),通(tong)常(chang)將(jiang)數(shu)字(zi)信(xin)號(hao)送(song)入(ru)計(ji)算(suan)機(ji)進(jin)行(xing)下(xia)一(yi)步(bu)的(de)分(fen)析(xi)。
最新的解決方案,例如AD5933,在zai送song給gei計ji算suan機ji進jin行xing處chu理li之zhi前qian提ti取qu了le響xiang應ying信xin號hao的de實shi部bu和he虛xu部bu,在zai芯xin片pian內nei完wan成cheng了le大da量liang的de分fen析xi。這zhe樣yang大da大da減jian輕qing了le計ji算suan機ji的de運yun算suan負fu擔dan,並bing且qie提ti高gao了le數shu據ju采cai集ji的de質zhi量liang,因yin為wei模mo擬ni信xin號hao處chu理li電dian路lu經jing過guo優you化hua與yu其qi它ta的de功gong能neng模mo塊kuai配pei合he工gong作zuo。應ying當dang特te別bie注zhu意yi的de是shi,在zai使shi整zheng個ge係xi統tong保bao持chi線xian性xing的de同tong時shi,模mo擬ni信xin號hao的de測ce量liang結jie果guo要yao經jing過guo驗yan證zheng,否fou則ze盡jin管guan計ji算suan機ji能neng輕qing易yi提ti供gong4位或高於4位的精度,最終結果還是會有偏差。精心的係統設計和驗證以獲得有效的測量是提高最終結果精度的關鍵。
- 噪聲中提取真值!瑞盟科技推出MSA2240電流檢測芯片賦能多元高端測量場景
- 10MHz高頻運行!氮矽科技發布集成驅動GaN芯片,助力電源能效再攀新高
- 失真度僅0.002%!力芯微推出超低內阻、超低失真4PST模擬開關
- 一“芯”雙電!聖邦微電子發布雙輸出電源芯片,簡化AFE與音頻設計
- 一機適配萬端:金升陽推出1200W可編程電源,賦能高端裝備製造
- 三星上演罕見對峙:工會集會討薪,股東隔街抗議
- 摩爾線程實現DeepSeek-V4“Day-0”支持,國產GPU適配再提速
- 築牢安全防線:智能駕駛邁向規模化應用的關鍵挑戰與破局之道
- GPT-Image 2:99%文字準確率,AI生圖告別“鬼畫符”
- 機器人馬拉鬆的勝負手:藏在主板角落裏的“時鍾戰爭”
- 車規與基於V2X的車輛協同主動避撞技術展望
- 數字隔離助力新能源汽車安全隔離的新挑戰
- 汽車模塊拋負載的解決方案
- 車用連接器的安全創新應用
- Melexis Actuators Business Unit
- Position / Current Sensors - Triaxis Hall

