如何優化超低噪聲µModule穩壓器的二階輸出濾波器
發布時間:2025-03-13 來源:ADI公司 責任編輯:lina
【導讀】噪聲敏感器件的功耗不斷提高。醫療超聲成像係統、5G收發器和自動測試設備(ATE)等應用需要在麵積較小的PCB上實現高輸出電流(>5 A)、低噪聲水平和高帶寬。由於對輸出電流的需求較高,以前使用的傳統雙級(降壓+低壓差(LDO)穩壓器)解決方案需要的PCB麵積較大,導致功耗較高,因此不太受歡迎。
問題
能否進一步降低超低噪聲µModule®穩壓器的輸出開關噪聲?
回答
使用二階輸出濾波器可將超低噪聲µModule穩壓器的輸出噪聲降低90%以yi上shang。選xuan擇ze電dian容rong和he電dian感gan元yuan件jian時shi必bi須xu謹jin慎shen,以yi確que保bao控kong製zhi回hui路lu能neng夠gou快kuai速su且qie穩wen定ding地di運yun作zuo。這zhe種zhong設she計ji對dui於yu無wu線xian和he射she頻pin應ying用yong特te別bie有you益yi,因yin為wei快kuai速su瞬shun態tai響xiang應ying可ke有you效xiao縮suo短duan係xi統tong消xiao隱yin時shi間jian並bing提ti升sheng信xin號hao處chu理li效xiao率lv。此ci方fang法fa的de噪zao聲sheng水shui平ping與yuLDO相當,效率堪比開關穩壓器。
簡介
噪聲敏感器件的功耗不斷提高。醫療超聲成像係統、5G收發器和自動測試設備(ATE)等應用需要在麵積較小的PCB上實現高輸出電流(>5 A)、低噪聲水平和高帶寬。由於對輸出電流的需求較高,以前使用的傳統雙級(降壓+低壓差(LDO)穩壓器)解決方案需要的PCB麵積較大,導致功耗較高,因此不太受歡迎。
LTM4702超低噪聲µModule穩壓器采用ADI公司專有的Silent Switcher®技(ji)術(shu),兼(jian)具(ju)超(chao)快(kuai)瞬(shun)態(tai)響(xiang)應(ying)和(he)超(chao)低(di)噪(zao)聲(sheng)特(te)性(xing)。得(de)益(yi)於(yu)此(ci),該(gai)器(qi)件(jian)的(de)效(xiao)率(lv)可(ke)與(yu)同(tong)步(bu)開(kai)關(guan)穩(wen)壓(ya)器(qi)相(xiang)媲(pi)美(mei),是(shi)大(da)電(dian)流(liu)和(he)噪(zao)聲(sheng)敏(min)感(gan)型(xing)應(ying)用(yong)的(de)理(li)想(xiang)選(xuan)擇(ze)。在(zai)許(xu)多(duo)應(ying)用(yong)中(zhong),該(gai)解(jie)決(jue)方(fang)案(an)可(ke)以(yi)省(sheng)去(qu)LDO電路,從而節省約60%的LDO成本、至少4 W的LDO功耗以及2 cm²以上的LDO PCB空間(包括間隙)。
眾所周知,對於某些要求開關頻率紋波非常小的應用,二階LC濾lv波bo器qi可ke以yi降jiang低di輸shu出chu電dian壓ya的de開kai關guan頻pin率lv諧xie波bo。然ran而er,若ruo是shi既ji要yao盡jin量liang減jian小xiao開kai關guan紋wen波bo,又you要yao維wei持chi控kong製zhi環huan路lu穩wen定ding和he其qi高gao帶dai寬kuan,僅jin依yi靠kao這zhe種zhong方fang法fa是shi不bu可ke行xing的de,未wei經jing優you化hua的deLC濾波器會使控製環路變得不穩定,導致輸出振蕩。本文先分析了二階LC濾波器的簡化環路,然後提出了用於指導電容分配和電感計算的直觀設計方法,最後通過LTM4702設計示例驗證了所提出的設計方法。
圖1.電流模式降壓穩壓器以及二階LC及其典型波特圖
二階LC輸出濾波器設計的環路分析
在電流模式降壓穩壓器中,輸出阻抗是控製對象。圖1為二階LC的電路及其典型波特圖。為了在有負載時仍能準確調節直流電壓,需要檢測VOUT遠端節點B。
從VOUT到iLO的轉換函數為:
從轉換函數(公式1)可知,二階LC濾波器會引入頻率為諧振頻率的雙極點。
從圖1中的典型波特圖可以看出,在諧振頻率處存在陡峭的90°相位延遲。為確保穩定性,諧振頻率應比控製環路帶寬高4到5倍,這是為了避免可能導致不穩定的90°相位延遲。此外,為使開關頻率紋波衰減到足夠低的水平,此諧振頻率應設置為開關頻率的1/5到1/4,以便LC濾lv波bo器qi能neng夠gou提ti供gong足zu夠gou的de濾lv波bo效xiao果guo。開kai關guan頻pin率lv下xia的de衰shuai減jian增zeng益yi和he控kong製zhi環huan路lu帶dai寬kuan之zhi間jian存cun在zai此ci消xiao彼bi長chang的de關guan係xi。但dan這zhe種zhong方fang法fa有you助zhu於yu選xuan擇ze諧xie振zhen頻pin率lv,並bing確que定ding合he適shi的deLC值。
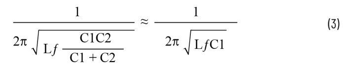
為了保持相似的負載瞬態性能,添加LC濾波器前後的輸出阻抗應該保持一致。換句話說,無論有沒有LC濾波器,輸出電容都應該大致相同。根據以往的經驗,圖1中C2的電容值可以與未使用LC時相似,而C1可以使用小得多的電容,以便C1可以主導諧振頻率位置。由於C1遠小於C2,公式2可以簡化為公式3:
建議C1至少為C2值的十分之一。選定C1之後,就可以使用公式3中的諧振頻率計算出Lf值。通過檢查實際元件的可用性,可以確定合適的C1和Lf值。
元件選擇注意事項
在有效二階LC濾波器設計中,電容和電感元件的選擇至關重要。二階LC濾波器需要在開關頻率下提供足夠大的衰減。超低噪聲µModule穩壓器的開關頻率較高,約為1 MHz至3 MHz,因此二階LC中的電感和電容需具備良好的高頻特性。C2的選擇要求與沒有LC的設計類似,因此這裏不作討論。C1和Lf的選擇標準如下。
►C1電容的選擇標準。
1.C1的自諧振頻率必須高於開關頻率。開關頻率下C1的阻抗是二階LC設計的關鍵。建議使用陶瓷電容,其自諧振頻率可參考其阻抗與頻率的關係曲線來確定。通常,典型的0603或0805尺寸陶瓷電容是理想選擇,其自諧振頻率必須在3 MHz以上。
2.為了承受所需電流,RMS電流額定值應足夠高。假設所有交流紋波都經過C1,那麼陶瓷電容應能處理較大的RMS紋波電流。可參考陶瓷電容的溫升與電流的關係曲線來確定其電流能力。根據經驗來看,對於0603尺寸的電容器,約4 A rms是個不錯的選擇。
►Lf電感的選擇標準
1.對於8A以下的輸出電流,建議使用鐵氧體磁珠,因為它具有良好的高頻特性且尺寸緊湊。鐵氧體磁珠也有助於抑製極高頻率的尖峰1。對於8 A以上的輸出電流,或者需要較大電感,可能很難找到合適的鐵氧體磁珠,因此建議使用傳統的屏蔽電感。
2.選擇RMS電流額定值足夠大的鐵氧體磁珠/電感,例如,對於8 A以下的輸出電流,選擇RMS電流額定值為8 A的電感。建議所選器件的電感值小於µModule器件電感值的10%。
超低噪聲µModule設計示例
圖2為LTM4702的設計示例。該方案兼具超低電磁幹擾(EMI)輻射和超低有效值噪聲特性,開關頻率可在300 kHz至3 MHz範圍內調節。在設計示例中,開關頻率設置為2 MHz,以優化12 VIN至1 VOUT應用的噪聲性能。根據所提出的LC濾波器設計方法,二階LC的諧振頻率設置為400 kHz至500 kHz,是開關頻率的1/5至1/4。
圖2.LTM4702示例電路和電路板照片
目標控製環路帶寬為100 kHz,LC諧振頻率是其4到5倍;C1使用兩個0603 4.7 µF電容;鐵氧體磁珠BLE18PS080SH1用作Lf,其尺寸為0603,如圖2所示;C2仍使用兩個1206 100 µF陶瓷電容;諧振頻率為424 kHz。
噪聲測量對比如圖3所示。在2 MHz開關頻率下,無LC的輸出開關紋波為234 µV,添加0603鐵氧體磁珠後大幅降低至15 µV。
圖3.無LC的開關噪聲(234 µV)與有LC的開關噪聲(15 µV)
為盡可能降低噪聲而添加的二階LC濾波器,能夠將控製環路帶寬維持在100 kHz,並保持快速瞬態響應,恢複時間小於10 µs。這些結果可以通過對比有無LC濾波器的實驗評估來確認。由於恢複時間在10 µs內,消隱時間可以忽略不計,這對於無線和射頻應用是非常不錯的表現。ADI公司的LTM4702幫助係統設計開發者解決了負載瞬態消隱時間挑戰,避免了信號處理效率低下的問題。
圖4的負載瞬態波形驗證了添加二階LC濾波器後,設計具有快速瞬態響應,並且恢複時間在10 µs內,與沒有此濾波器的設計示例相比也毫不遜色。
圖4.負載瞬態結果:無LC與有LC(恢複時間在10 µs內)
結論
如何在支持大電流應用的同時盡量減少噪聲,並確保高效率和穩定性,是一項棘手難題。添加二階LC濾lv波bo器qi可ke以yi顯xian著zhu降jiang低di噪zao聲sheng,但dan如ru果guo優you化hua不bu當dang,可ke能neng會hui導dao致zhi電dian路lu不bu穩wen定ding。為wei了le在zai不bu影ying響xiang穩wen定ding性xing的de前qian提ti下xia盡jin可ke能neng地di降jiang低di噪zao聲sheng,應ying使shi用yong優you化hua的de二er階jieLC濾波器。基於開關頻率、控製環路帶寬和諧振頻率精心選擇所需的電感和電容元件,可以有效降低開關噪聲,同時保持快速瞬態響應和高帶寬特性。
參考文獻
1 Jim Williams.“AN101:盡可能地減少線性穩壓器輸出中的開關穩壓器殘留物”。淩力爾特,2005年7月。
(來源:ADI公司,作者:George (Zhijun) Qian,高級模擬設計工程經理,Jennifer Florence Joseph Benedicto,高級設計評估工程師)
免責聲明:本文為轉載文章,轉載此文目的在於傳遞更多信息,版權歸原作者所有。本文所用視頻、圖片、文字如涉及作品版權問題,請聯係小編進行處理。
推薦閱讀:
開發板上新!ST工業自動化開發板、瑞薩工業千兆網卡開發板等優質方案
- 噪聲中提取真值!瑞盟科技推出MSA2240電流檢測芯片賦能多元高端測量場景
- 10MHz高頻運行!氮矽科技發布集成驅動GaN芯片,助力電源能效再攀新高
- 失真度僅0.002%!力芯微推出超低內阻、超低失真4PST模擬開關
- 一“芯”雙電!聖邦微電子發布雙輸出電源芯片,簡化AFE與音頻設計
- 一機適配萬端:金升陽推出1200W可編程電源,賦能高端裝備製造
- 築基AI4S:摩爾線程全功能GPU加速中國生命科學自主生態
- 一秒檢測,成本降至萬分之一,光引科技把幾十萬的台式光譜儀“搬”到了手腕上
- AI服務器電源機櫃Power Rack HVDC MW級測試方案
- 突破工藝邊界,奎芯科技LPDDR5X IP矽驗證通過,速率達9600Mbps
- 通過直接、準確、自動測量超低範圍的氯殘留來推動反滲透膜保護
- 車規與基於V2X的車輛協同主動避撞技術展望
- 數字隔離助力新能源汽車安全隔離的新挑戰
- 汽車模塊拋負載的解決方案
- 車用連接器的安全創新應用
- Melexis Actuators Business Unit
- Position / Current Sensors - Triaxis Hall



