由DAC諧波頻譜成分重構其傳遞函數
發布時間:2019-12-07 責任編輯:wenwei
【導讀】所有DAC都會表現出一定程度的諧波失真,諧波失真是用來衡量當DAC輸入端采用一個理想的均勻采樣正弦波的數值序列驅動時,其輸出端能在多大程度上再現這個理想的正弦波。由於DAC的瞬態和靜態特性並不理想,因此輸出頻譜將會包含諧波成分。DAC的瞬態輸出特性包括壓擺率限製、非對稱上升和下降時間、有限建立時間。靜態特性與傳遞函數偏離直線的程度有關。
本文將重點討論靜態特性,並闡述一種由輸出頻譜中觀察到的諧波成分導出DAC 傳遞函數的方法。分析中假設,傳遞函數而非瞬態輸出特性是所觀察到的諧波失真的主要來源。此假設在低頻時成立。
DAC傳遞函數
圖1顯示一個理想的DAC傳遞函數,它是一條斜線,y=mx+b. 數字輸入位於x軸,模擬輸出位於y軸。

圖1. 理想的DAC傳遞函數
x軸上的目標範圍是從左邊的最小碼(A)到右邊的最大碼(B)。y軸上的目標範圍是從底部的最小輸出值(C)到接近頂部的最大輸出值(D)。定 義理想傳遞函數的斜率(m)和y軸截距(b)的方程式用邊界值A、B、C、D表示。信號g(t)代表一個無失真的正弦波,由A至B範圍內的數字輸入組成,時間軸向下。信號 u(t)代表模擬輸出,其值在C至D範圍內,時間軸向右。
輸出信號是通過傳遞函數反射的輸入信號。請注意,輸出信號是將g(t)上各點鏈接到u(t)上相應點的結果。圖1顯示在特定時間點 t=tk的傳遞操作例子,該時間點確定輸入信號上的點g(tk)。傳遞函數進而將g(tk)鏈接到輸出信號上的相應點u(tk)。對於理想的線性傳遞函數, u(t)與g(t)成比例關係。請注意,g(tk)對應於x軸上的點xk,它通過傳遞函數反射至y軸上的點yk。借助關於耦合點集(g(t n),u(tn))的已有知識,可以確定傳遞函數上的相關點(x n,y n)。因此,通過輸入信號g(t)上的點與輸出信號u(t) 上的點之間的關係,完全可定義傳遞函數。
對於N位DAC,邊界值A和B取特定值,即 A = 0 且 B = 2N–1。 而為了方便起見,指定邊界值C和D為 C = A 且 D = B。 這樣意味實際DAC 輸出信號的比例和偏移,因而其峰峰值範圍為0至 2N–1。 利用A、B、C、D的這些值,因為斜率 m = 1 且截距 b = 0。所以理想傳遞函數可簡化為 y=x。
到目前為止,討論的重點還是理想的DAC傳遞函數,但現在我們有了可以處理失真DAC傳遞函數f(x)的工具,如圖2所示。需要注意的主要 特點是:傳遞函數不再是直線y=x,而是一個形狀函數f(x);圖中隨意以平滑弧形來表示。f(x)對輸出函數u(t)的影響也同樣重要。理想輸入 g(t)通過傳遞函數f(x)反射,產生失真輸出u(t)。與現成DAC的傳遞函數相比,圖中所示的弧形傳遞函數較為誇張,僅為加強說明效果而已。 現代DAC的傳遞函數與理想的直線幾乎沒有偏差,但即使最微小的偏差也會導致輸出頻譜中出現諧波雜散。

圖2. 失真的DAC傳遞函數
能否成功重構DAC傳遞函數,取決於是否能通過已知的g(t)和u(t)確定 各點(xk,f(xk))。這一過程分為兩步:首先采用一個代表理想采樣正弦 波的數值序列驅動DAC輸入,利用頻譜分析儀測量DAC輸出,並記錄 基波信號和盡可能多諧波成分的幅值;然後將測得的諧波幅值轉換 為特定形狀的傳遞函數。如果操作得當,將g(t)代入f(x)仿真u(t)將產 生與測量結果相同的諧波失真值。
第一步:測量DAC諧波
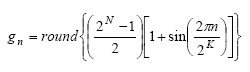
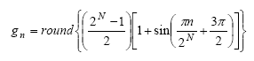
第一步需要一個輸入序列,用來代表一個以等距時間間隔采樣的 理想正弦波周期。目標是重構DAC傳遞函數,因此從0到2N–1的每個 DAC碼必須在輸入信號中至少出現一次。輸入序列需要2N以上的采 樣點才能以等距間隔使用每個DAC碼,實際上至少需要2N+3個采樣 才能保證每個碼都出現。下式可產生2K DAC碼的理想正弦序列(K≥ N+3)。函數round{x}將x舍入為最近的整數。

where n=0,1,2,3, ... 2K–1
此方程式假設DAC將標準二進製格式的數字輸入字解碼為0至2N–1 範圍內的無符號整數。對於偏移二進製或二進製補碼DAC,必須調 整gn以表示負值。
數值序列(gn)以采樣速率f s重複提供給DAC,因此DAC輸出頻譜含有 頻率f0=f s/2k的基波信號。諧波出現在2f0、3f0、4f0和f0的其它整數倍。 由於DAC輸出頻譜具有采樣性質,因此這些諧波的幅度受sin(x)/x響 應的限製。不過,f0與fs相比微不足道,因此sin(x)/x響應實際上是平 坦的,可忽略不計。例如,對於一個8位DAC,K≥11且f0≤fs/2048,100次 諧波的sin(x)/x將不超過0.39%(0.034 dB)。
為了準確重構傳遞函數f(x),需要根據諧波數(h)集盡可能記錄更多諧 波的幅值。這些整數從h=1(基波頻率)至h=H,其中H表示取測量幅 值的最高諧波數。例如,對於10次諧波的測量,H=10,該諧波數集為 h={1, 2, 3, .. 10}。
然後,將各測量諧波的幅值(M)與其諧波數關聯。例如,M1是1次諧波 (基波)的幅值,M2是2次諧波的幅值,依此類推至MH。諧波幅值通常 用相對於基波幅值的分貝數(dBc)來衡量。dBc轉換為線性單位的公 式如下:
其中D表示測得的諧波幅值,單位為dBc。例如,如果3次諧波的幅值 為–40 dBc,則線性幅值M3=10–40/20或0.01。M1始終等於1,因為根據 定義,基波的幅值為0 dBc。
第二步:重構DAC傳遞函數
該過程的第二步涉及到將諧波測量結果與傳遞函數相關。f(x)上的點 取決於g(t)和u(t)上對應點之間的關係,因此首先必須將頻域中的諧 波幅值轉換到時域。請注意,組成g(t)的DAC碼與g(t)正弦形式的相關 時間點一一對應。因此,構成g(t)的DAC碼與時域相關。此外,u(t)通 過f(x)與g(t)相關,而g(t)是一個時域函數,因此u(t)也必須表示為時域 函數。這樣就能將g(t)中的各時間點tk鏈接到u(t)中的相關時間點,從 而由g(t)和u(t)確定f(x)。
將諧波幅值轉換到時域非常困難,因為f(x)必須明確與g(t)中的各可 能DAC碼(0至2N–1)相關。g(t)是一個理想正弦波,因此確保唯一性 的唯一方法是將範圍限製在該正弦波單調增加的位置,如圖3加粗 部分所示。如果沒有這一限製條件,f(x)上的一個點可能會映射到g(t) 上的兩個點,從而導致不明確。
為演示這種不定性,請想象將區間T向下移動。現在,f(x)上的點(xk, f(xk))可以與g(t)上的兩個點相關,這是不可接受的。將範圍T限製在 圖中所示位置,將不存在不定性。g(t)為正弦波,因此所需範圍T對應 於½周期,其初始相位偏移為3π/2弧度。

圖3. f(x)與g(t)之間的關係
g(t)的範圍受T限製意味著u(t)也具有類似的範圍限製。因此,將所記錄的諧波幅值轉換到時域時,必須確保將u(t)限製在與g(t)相同的範圍T,如圖4所示。

圖4. g(t)和u(t)的時域範圍
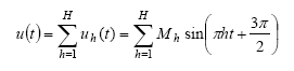
請注意,實際的時間範圍T無關緊要,因為f(x)僅在g(t)和u(t)二者的幅 值之間起轉換作用。為簡化分析,將基波頻率(f0)歸一化為1。因此,2 次諧波的頻率為2,3次諧波的頻率為3,如此類推。所以,諧波頻率 與諧波數(h)相等:fh=h。這一便捷關係可簡化從諧波測量結果Mh創 建u(t)的數學計算。
正弦波的一般時域表達式為:
其中β為峰值振幅,θ為初始相位偏移。
用h代替f,並用Mh代替β,可以獲得各諧波uh(t)的時域表達式。不過 應記住,g(t)偏 移3π/2弧度。此外,g(t)與u(t)之間通過f(x)關聯意味著 g(t)和u(t)在相位上是對準的。用3π/2代替θ可提供所需的對準。下式 中,請注意0≤t<1且π取代了2π,目的是將基波限製在範圍T所表示的 半個周期:

利用各諧波uh(t)的時域表達式,便可以重構複合輸出u(t),表示為基 波和諧波信號的和:

如前所述,我們的目標是將g(t)與u(t)相關以重構DAC傳遞函數f(x)。此 外,g(t)必須恰好由2N個樣本組成,以便與f(x)上的點一一對應。因此, g(t)的樣本計算公式為:

(n=0,1,2,3 .. 2N–1)
g(t)由2N個樣本組成,因此由包括2N個采樣的u(t)采樣值集重構f(x)似 乎是合理的。然而,事實卻是至少需要2N+3個采樣才能為較小的Mh 值提供適當的精度。這種情況下,u(t)各采樣點的計算公式應如下:

(n=0,1,2,3 .. 2N+3–1)
請注意,這將導致u(t)所含的采樣數多於g(t),u(t)的多個樣本可能與 f(x)和g(t)上的一個點對應,從而使u(t)和g(t)到f(x)的映射關係複雜化。 因此,必須對特定的樣本組求平均值,以便提供到f(x)的合理映射。 下麵的偽代碼反映了所需的映射關係,其中假設使用一個N位DAC, g(t)有2N個點,u(t)有2N+3個點。陣列DacXfr含有2N個元素,初始值均為0。執行該代碼後,陣列DacXfr的元素包含歸一化的DAC傳遞函數。
n = 0
FOR i = 0 TO 2N–1
AvgCnt = 0
WHILE i = g[n]
AvgCnt = AvgCnt + 1
DacXfr[i] = DacXfr[i] + u[n]
n = n + 1
IF n >= 2N+3
EXIT WHILE
END IF
END WHILE
IF AvgCnt = 0
EXIT (fail because array, g[ ], is missing a DAC code)
END IF
DacXfr[i] = (DacXfr[i]/AvgCnt)/2N
END FOR
驗證
為驗證本文所述的方法,使用一台頻譜分析儀來測量一個14位DAC 的輸出;該DAC由一個代表理想正弦波的輸入序列驅動。記錄了前 14次諧波的幅值(2次到15次,單位dBc),並利用這些值重構DAC傳 遞函數f(x)。然後,將理想正弦輸入序列g(t)代入重構的DAC傳遞函數 f(x)進行模擬,產生一個輸出序列。一個FFT將u(t)轉換為頻域等效值 U(ω)。從U(ω)提取諧波幅值,並將其與頻譜分析儀的測量結果相比較, 如表1所示。請注意,與7次諧波相關的最大誤差僅為0.065 dB。
Table 1

由於比例關係,重構傳遞函數的圖形呈現為一條直線(y=x)。事實上, 該傳遞函數與y=x的偏差足以產生表1所示的諧波成分。為幫助理解, 圖5僅顯示了該傳遞函數與理想直線的偏差。垂直軸的單位為LSB。

圖5. DAC傳遞函數的殘差
推薦閱讀:
特別推薦
- 噪聲中提取真值!瑞盟科技推出MSA2240電流檢測芯片賦能多元高端測量場景
- 10MHz高頻運行!氮矽科技發布集成驅動GaN芯片,助力電源能效再攀新高
- 失真度僅0.002%!力芯微推出超低內阻、超低失真4PST模擬開關
- 一“芯”雙電!聖邦微電子發布雙輸出電源芯片,簡化AFE與音頻設計
- 一機適配萬端:金升陽推出1200W可編程電源,賦能高端裝備製造
技術文章更多>>
- 築基AI4S:摩爾線程全功能GPU加速中國生命科學自主生態
- 一秒檢測,成本降至萬分之一,光引科技把幾十萬的台式光譜儀“搬”到了手腕上
- AI服務器電源機櫃Power Rack HVDC MW級測試方案
- 突破工藝邊界,奎芯科技LPDDR5X IP矽驗證通過,速率達9600Mbps
- 通過直接、準確、自動測量超低範圍的氯殘留來推動反滲透膜保護
技術白皮書下載更多>>
- 車規與基於V2X的車輛協同主動避撞技術展望
- 數字隔離助力新能源汽車安全隔離的新挑戰
- 汽車模塊拋負載的解決方案
- 車用連接器的安全創新應用
- Melexis Actuators Business Unit
- Position / Current Sensors - Triaxis Hall
熱門搜索
微波功率管
微波開關
微波連接器
微波器件
微波三極管
微波振蕩器
微電機
微調電容
微動開關
微蜂窩
位置傳感器
溫度保險絲
溫度傳感器
溫控開關
溫控可控矽
聞泰
穩壓電源
穩壓二極管
穩壓管
無焊端子
無線充電
無線監控
無源濾波器
五金工具
物聯網
顯示模塊
顯微鏡結構
線圈
線繞電位器
線繞電阻



