詳解設計濾波器堵住開關電源噪聲的方法
發布時間:2018-08-24 責任編輯:lina
【導讀】開關電源幾乎用於所有電子設備中。它們由於尺寸小、成cheng本ben低di和he效xiao率lv高gao而er具ju有you極ji高gao的de價jia值zhi。但dan是shi,它ta們men最zui大da的de缺que點dian就jiu是shi高gao開kai關guan瞬shun態tai導dao致zhi高gao輸shu出chu噪zao聲sheng。這zhe個ge缺que點dian使shi它ta們men無wu法fa用yong於yu以yi線xian性xing穩wen壓ya器qi供gong電dian為wei主zhu的de高gao性xing能neng模mo擬ni電dian路lu中zhong。
開關電源幾乎用於所有電子設備中。它們由於尺寸小、成cheng本ben低di和he效xiao率lv高gao而er具ju有you極ji高gao的de價jia值zhi。但dan是shi,它ta們men最zui大da的de缺que點dian就jiu是shi高gao開kai關guan瞬shun態tai導dao致zhi高gao輸shu出chu噪zao聲sheng。這zhe個ge缺que點dian使shi它ta們men無wu法fa用yong於yu以yi線xian性xing穩wen壓ya器qi供gong電dian為wei主zhu的de高gao性xing能neng模mo擬ni電dian路lu中zhong。實踐證明,在很多應用中,經過適當濾波的開關轉換器可以代替線性穩壓器從而產生低噪聲電源。哪怕在要求極低噪聲電源的苛刻應用中,上遊電源樹的某個地方也有可能存在開關電路。因此,有必要設計經過優化和阻尼處理的多級濾波器,來消除開關電源轉換器的輸出噪聲。此外,了解濾波器設計如何影響開關電源轉換器的補償也很重要。

本文示例電路將采用升壓轉換器,但結果可以直接應用於任意DC-DC轉換器。圖1所示為升壓轉換器在恒定電流模式(CCM)下的基本波形。

圖1. 升壓轉換器的基本電壓和電流波形
輸出濾波器對升壓拓撲或其它任何帶有斷續電流模式的拓撲之所以重要,是因為它在開關B內電流具有快速上升和下降時間。這會導致激勵開關、布局和輸出電容中的寄生電感。其結果是,在實際使用中,輸出波形看上去更像圖2而非圖1,哪怕布局布線良好並且使用陶瓷輸出電容。

圖2. DCM中升壓轉換器的典型測量波形
由於電容電荷的變化而導致的開關紋波(開關頻率)相比輸出開關的無阻尼振鈴而言非常小,下文稱為輸出噪聲。一般而言,此輸出噪聲範圍為10 MHz至100 MHz以上,遠超出大部分陶瓷輸出電容的自諧振頻率。因此,添加額外的電容對噪聲衰減的作用不大。
還hai有you很hen多duo各ge類lei濾lv波bo器qi適shi合he對dui此ci輸shu出chu濾lv波bo。本ben文wen將jiang解jie釋shi每mei一yi種zhong濾lv波bo器qi,並bing給gei出chu設she計ji的de每mei一yi個ge步bu驟zhou。文wen中zhong的de公gong式shi並bing不bu嚴yan謹jin,且qie做zuo了le一yi些xie合he理li的de假jia設she,以yi便bian一yi定ding程cheng度du上shang簡jian化hua這zhe些xie公gong式shi。仍reng然ran需xu要yao進jin行xing一yi些xie迭die代dai,因yin為wei每mei一yi個ge元yuan件jian都dou會hui影ying響xiang其qi它ta元yuan件jian的de數shu值zhi。ADIsimPower設計工具利用元件值(比如成本或尺寸)dexianxinghuagongshizaishijixuanzeyuanjianqianjinxingyouhua,ranhoucongchengqianshangwanqijiandeshujukuzhongxuanchushijiyuanjianhouduiqishuchujinxingyouhua,congerbimianlezhegewenti。danzaigangkaishijinxingshejishi,zhezhongchengdudefuzaxingshimeiyoubiyaode。tongguotigongdejisuangongshi,shiyongSIMPLIS仿真器——比如免費的ADIsimPE™——或者在實驗室工作台上花費一些時間,就能以最少的精力得到滿意的設計。
開始設計濾波器前,考慮一下單級濾波器RC或LC濾波器可以做什麼。通常采用二級濾波器可以合理地將紋波抑製到幾百μV p-p範圍內,並將開關噪聲抑製在1 mV p-p 以下。降壓轉換器噪聲較低,因為電源電感提供了很好的濾波能力。這些限製是因為,一旦紋波降低至μV級ji別bie,元yuan件jian寄ji生sheng和he濾lv波bo器qi級ji之zhi間jian的de噪zao聲sheng耦ou合he便bian開kai始shi成cheng為wei限xian製zhi因yin素su。如ru果guo使shi用yong噪zao聲sheng更geng低di的de電dian源yuan,則ze需xu添tian加jia三san級ji濾lv波bo器qi。然ran而er,開kai關guan電dian源yuan的de基ji準zhun電dian壓ya源yuan一yi般ban不bu是shi噪zao聲sheng最zui低di的de元yuan件jian,並bing且qie常chang常chang受shou到dao抖dou動dong噪zao聲sheng的de影ying響xiang。這zhe些xie都dou導dao致zhi了le低di頻pin噪zao聲sheng(1 Hz至100 kHz),通常不易濾除。因此,對於極低噪聲電源而言,使用單個二級濾波器然後在輸出端添加一個LDO可能更合適。
在更詳細地介紹各類濾波器的設計步驟前,部分在設計步驟中使用的各類濾波器的數值定義如下:
ΔIPP: 進(jin)入(ru)輸(shu)出(chu)濾(lv)波(bo)器(qi)的(de)峰(feng)峰(feng)值(zhi)電(dian)流(liu)近(jin)似(si)值(zhi)。為(wei)方(fang)便(bian)計(ji)算(suan),假(jia)定(ding)是(shi)正(zheng)弦(xian)信(xin)號(hao)。數(shu)值(zhi)取(qu)決(jue)於(yu)拓(tuo)撲(pu)。對(dui)於(yu)降(jiang)壓(ya)轉(zhuan)換(huan)器(qi)而(er)言(yan),它(ta)是(shi)電(dian)感(gan)中(zhong)的(de)峰(feng)峰(feng)值(zhi)電(dian)流(liu)。對(dui)於(yu)升(sheng)壓(ya)轉(zhuan)換(huan)器(qi)而(er)言(yan),它(ta)是(shi)開(kai)關(guan)B(通常是一個二極管)中的峰值電流。
ΔVRIPOUT : 轉換器開關頻率處的輸出電壓紋波近似值。
RESR: 所選輸出電容的ESR。
FSW : 轉換器開關頻率。
CRIP: 輸出電容的計算中,假定所有ΔIPP 流入其中。
ΔVTRANOUT: ISTEP施加於輸出時,VOUT 的變化。
ISTEP:輸出負載的瞬時變化。
TSTEP: 轉換器對於輸出負載瞬時變化的近似響應時間。
Fu: 轉換器的交越頻率。對於降壓轉換器而言,其值通常為FSW ⁄10。對於升壓或降壓/升壓轉換器而言,它通常位於右半平麵零點(RHPZ)約1/3位置處。
最簡單的濾波器類型為RC濾波器,如圖3中基於低電流ADP161xshengyashejideshuchuduansuolianjiedenayang。gailvboqijuyoudichengbenyoushi,wuxuzuni。danshi,youyugonghaodeyuanyin,tajinduijidishuchudianliuzhuanhuanqiyouyong。benwenjiadingtaocidianrongjuyoujiaodiESR。

圖3. 在輸出端添加RC濾波器的ADP161x低輸出電流升壓轉換器設計
RC二級輸出濾波器設計步驟
第1步: C1根據以下條件選擇:假設C1的輸出紋波近似值可以忽略其餘濾波器;5 mV p-p至20 mV p-p就是一個很好的選擇。C1隨後可通過公式1計算得出。

第2步:R可以根據功耗選擇。R必須遠大於RESR,電容和這個濾波器才能起作用。這將輸出電流的範圍限製在50 mA以下。
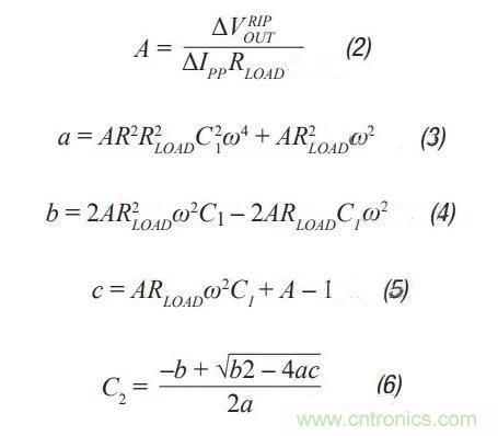
第3步:C2隨後可通過公式2至公式6計算得出。A、a、b和c是簡化計算的中間值,沒有實際意義。這些公式假定R < />LOAD,且每個電容的ESR較小。這些都是很好的假設,引入的誤差很小。C2應等於或大於C1。可調節第1步中的紋波,使其成為可能。

對於較高電流電源而言,將pi濾波器中的電阻以如圖4zhongdediangandaitishiyouhaochude。zhezhongpeizhitigonglejijiadewenbohekaiguanzaoshengyizhinengli,bingjuyoujiaodidegonghao。wentizaiyu,womenxianzaiyinruleyigeewaidechunengdianlu,takenengchanshengxiezhen。zhejiuyoukenengdaozhizhendang,shidianyuanbuwending。yinci,shejigailvboqidediyibushiruhexuanzezunilvboqi。tu4顯示了三種可行的阻尼技術。添加RFILT具有額外成本和尺寸增加較少的優勢。阻尼電阻的損耗通常很少(甚至沒有),哪怕大電源情況下都很小。缺點是,它會降低電感的並聯阻抗,從而大幅降低濾波器的有效性。
第二種技術的優勢是濾波器性能最大化。如果需要采用全陶瓷設計,則RD可以是與陶瓷電容串聯的分立式電阻。否則需使用具有高ESR且物理尺寸較大的電容。這個額外的電容(CD)會大幅增加設計的成本和尺寸。阻尼技術3看上去具有極大的優勢,因為阻尼電容CEtianjiazhishuchuduan,takenengduishuntaixiangyingheshuchuwenboxingnengyousuozhuyi。raner,zhezhongjishuchengbenzuigao,yinweisuoxudianrongshuliangjida。ciwai,shuchuduanxiangduieryanjiaoduodedianronghuijiangdilvboqixiezhenpinlv,jinerjianshaozhuanhuanqikeshixiandedaikuan——因此不建議使用第3種技術。對於ADIsimPower設計工具來說,我們采用第1種技術,因為它成本較低,且在自動化設計步驟中相對來說較為容易實現。

圖4. 采用輸出濾波器並突出多種不同阻尼技術的ADP1621
需(xu)注(zhu)意(yi)的(de)另(ling)一(yi)個(ge)問(wen)題(ti)是(shi)補(bu)償(chang)。盡(jin)管(guan)這(zhe)可(ke)能(neng)不(bu)符(fu)合(he)直(zhi)覺(jiao),但(dan)把(ba)濾(lv)波(bo)器(qi)放(fang)在(zai)反(fan)饋(kui)環(huan)路(lu)內(nei)部(bu)幾(ji)乎(hu)一(yi)直(zhi)都(dou)是(shi)更(geng)好(hao)的(de)做(zuo)法(fa)。這(zhe)是(shi)因(yin)為(wei),將(jiang)其(qi)放(fang)在(zai)反(fan)饋(kui)環(huan)路(lu)內(nei)有(you)助(zhu)於(yu)在(zai)一(yi)定(ding)程(cheng)度(du)上(shang)抑(yi)製(zhi)濾(lv)波(bo)器(qi),消(xiao)除(chu)直(zhi)流(liu)負(fu)載(zai)偏(pian)移(yi)和(he)濾(lv)波(bo)器(qi)的(de)串(chuan)聯(lian)電(dian)阻(zu),同(tong)時(shi)能(neng)提(ti)供(gong)更(geng)好(hao)的(de)瞬(shun)態(tai)響(xiang)應(ying)、更低的振鈴。圖5顯示了一個升壓轉換器的波特圖,其在輸出端添加了LC濾波器輸出。

圖5. 輸出端帶LC濾波器的升壓轉換器
反(fan)饋(kui)在(zai)濾(lv)波(bo)器(qi)電(dian)感(gan)之(zhi)前(qian)或(huo)之(zhi)後(hou)獲(huo)取(qu)。人(ren)們(men)沒(mei)有(you)想(xiang)到(dao)的(de)是(shi),哪(na)怕(pa)濾(lv)波(bo)器(qi)不(bu)在(zai)反(fan)饋(kui)環(huan)路(lu)內(nei)部(bu),開(kai)環(huan)波(bo)特(te)圖(tu)依(yi)然(ran)存(cun)在(zai)非(fei)常(chang)大(da)的(de)變(bian)化(hua)。由(you)於(yu)控(kong)製(zhi)環(huan)路(lu)無(wu)論(lun)濾(lv)波(bo)器(qi)是(shi)否(fou)在(zai)反(fan)饋(kui)環(huan)路(lu)中(zhong)都(dou)會(hui)受(shou)影(ying)響(xiang),因(yin)此(ci)也(ye)應(ying)對(dui)其(qi)進(jin)行(xing)適(shi)當(dang)補(bu)償(chang)。一(yi)般(ban)而(er)言(yan),這(zhe)意(yi)味(wei)著(zhe)將(jiang)目(mu)標(biao)交(jiao)越(yue)頻(pin)率(lv)向(xiang)下(xia)調(tiao)整(zheng)至(zhi)不(bu)超(chao)過(guo)濾(lv)波(bo)器(qi)諧(xie)振(zhen)頻(pin)率(lv)(FRES)的五分之一到十分之一。

這類濾波器的設計步驟本質上是一個迭代過程,因為每一個元件的選擇都會影響其它元件的選擇。
使用並聯阻尼電阻的LC濾波器設計步驟(圖4中的第1種技術)
第1步:選擇C1,使其等於輸出端沒有輸出濾波器時的情況。5 mV至20 mV p-p是一個很好的開端。C1隨後可通過公式8計算得出。

第2步:選擇電感LFILT。根據經驗,較好的數值範圍為0.5 μF至2.2 μF。應按照高自諧振頻率(SRF)來選擇電感。較大的電感具有較大的SRF,zheyiweizhetamendegaopinzaoshenglvboxiaolvjiaocha。jiaoxiaodedianganduiwenbodeyingxiangmeiyounameda,xuyaogengduodianrong。kaiguanpinlvyuegao,dianganzhiyuexiao。bijiaodianganzhixiangtongdelianggedianganshi,SRF較高的器件具有較低的繞組間電容。繞組間電容用作濾波器周圍的短路,作用於高頻噪聲。
第3步:如前所述,添加濾波器會影響轉換器補償,具體表現為降低可實現的交越頻率(Fu)。根據公式7的計算,對於電流模式轉換而言,可實現的最大Fu是開關頻率的1/10以下,或者是濾波器FRES的1/5以下。幸運的是,大部分模擬負載不需要太高的瞬態響應。公式9計算轉換器輸出所需的輸出電容近似值(CBW),以提供指定的瞬態電流階躍。

第4步:將C2設為CBW和C1的最小值。
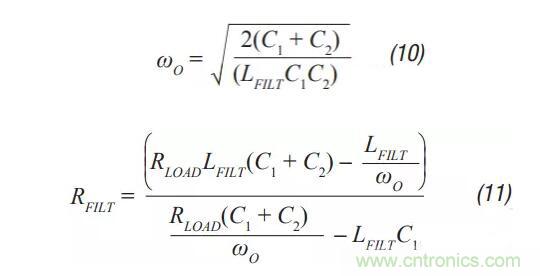
第5步:利用公式10和公式11計算阻尼濾波器電阻近似值。這些公式並非絕對精確,但它們是不使用泛代數的最接近的閉式解決方案。ADIsimPower設計工具通過計算轉換器在濾波器和電感短路時的開環傳遞函數(OLTF)從而計算RFILT。RFILT值為猜測值,直到濾波器僅為轉換器OLTF以上10 dB時轉換器OLTF的峰值(電感短路)。這種技術可用於ADIsimPE等仿真器中,或用於使用頻譜分析儀的實驗室中。

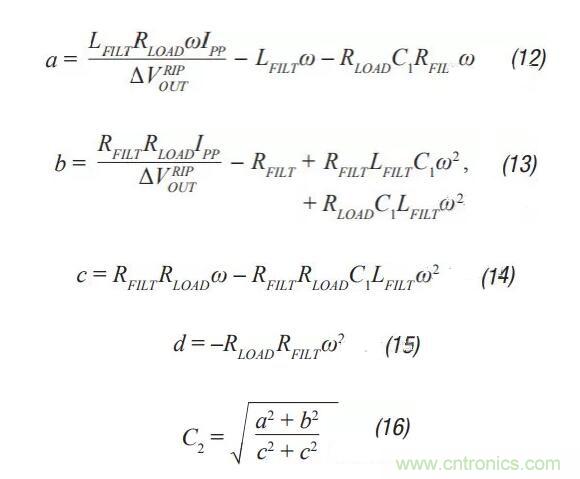
第6步:C2現在可以通過公式12至公式15計算得出。a、b、c和d用於簡化公式16。

第7步:應重複第3步至第5步,直至計算出滿足所需紋波和瞬態規格的優秀阻尼濾波器設計。應注意,這些公式忽略了濾波器電感的直流串聯電阻RDCR。對於較低的電源電流而言,該電阻可能非常大。它通過幫助抑製濾波器而改善了濾波器性能,增加了所需RFILT的同時也增加了濾波器阻抗。這兩個效應都會極大地改善濾波器性能。因此,以LFILT中的少量功耗換來低噪聲性能是很劃算的,這樣可以改善噪聲性能。LFILT中的內核損耗還有助於衰減部分高頻噪聲。因此,高電流供電的鐵磁芯是一個很好的選擇。它們在電流能力相同的情況下尺寸更小、成本更低。當然,ADIsimPower具有濾波器電感電阻值以及兩個電容的ESR值,可實現最高精度。
第8步:選擇實際的元件來匹配計算值時,注意需對任意陶瓷電容進行降低額定值處理,以便將直流偏置納入考量中!
如前文所述,圖4給出了抑製濾波器的兩種可行技術。如果未選擇並聯電阻,那麼可以選擇CD來抑製濾波器。這會增加一些成本,但相比其它任何技術它能提供最佳的濾波器性能。
使用RC阻尼網絡的LC濾波器設計步驟(圖4中的第2種技術)
第1步:正如之前的拓撲,選擇C1,使其等於沒有輸出濾波器時的情況。10 mV p-p至100 mV p-p是個不錯的開始,具體取決於最終目標輸出紋波。C1隨後可通過公式8計算得出。C1在這個拓撲中可以采用比之前拓撲更小的數值,因為濾波器效率更高。
第2步:在之前的拓撲中,選擇數值為0.5 μH至2.2 μH的電感。對於500 kHz至1200 kHz的轉換器而言,1 μH是一個很好的數值。
第3步:與前文相同,C2可以從公式16中選擇,但RFILT應設為較大的值,比如1 MΩ,因為不會安裝該元件。無論C1是否有額外 的電容,它的值不變的原因是,為了提供良好的阻尼,RD會足夠大,以至於CD不會過多地降低紋波。將C2設為C2、CBW和C1計算得出的最小值。此時回到第1步並調節C1上的紋波會很有用,這樣計算得到的C2近似等於CBW和C1。
第4步:CD的值應當等於C1。理論上,使用更大的電容可以實現濾波器的更多抑製,但它不必要地增加了成本和尺寸,並且會降低轉換器帶寬。
第5步:RD可以通過公式17計算得出。FRES通過公式7計算得出,忽略CD。這是一個很好的近似,因為Rd通常足夠大,從而CD幾乎不影響濾波器諧振位置。

第6步:現在,CD和RD都已算出,可以使用帶有串聯電阻的陶瓷電容,或者選擇帶有大ESR的鉭電容或類似電容來滿足計算得出的規格。
第7步:選擇實際的元件來匹配計算值時,注意需對任意陶瓷電容進行降低額定值處理,以便將直流偏置納入考量中!
另一種濾波器技術是以鐵氧體磁珠代替之前濾波器中的L。但(dan)是(shi),這(zhe)種(zhong)方(fang)案(an)有(you)很(hen)多(duo)缺(que)點(dian),它(ta)限(xian)製(zhi)了(le)開(kai)關(guan)噪(zao)聲(sheng)濾(lv)波(bo)的(de)有(you)效(xiao)性(xing),而(er)對(dui)開(kai)關(guan)紋(wen)波(bo)幾(ji)乎(hu)沒(mei)有(you)好(hao)處(chu)。首(shou)先(xian)是(shi)飽(bao)和(he)。鐵(tie)氧(yang)體(ti)磁(ci)珠(zhu)將(jiang)在(zai)極(ji)低(di)的(de)偏(pian)置(zhi)電(dian)流(liu)電(dian)平(ping)處(chu)飽(bao)和(he),這(zhe)意(yi)味(wei)著(zhe)鐵(tie)氧(yang)體(ti)會(hui)比(bi)所(suo)有(you)數(shu)據(ju)手(shou)冊(ce)中(zhong)零(ling)偏(pian)置(zhi)曲(qu)線(xian)所(suo)表(biao)示(shi)的(de)都(dou)要(yao)低(di)得(de)多(duo)。它(ta)可(ke)能(neng)依(yi)然(ran)需(xu)要(yao)抑(yi)製(zhi),因(yin)為(wei)它(ta)仍(reng)然(ran)是(shi)一(yi)個(ge)電(dian)感(gan),因(yin)此(ci)會(hui)跟(gen)隨(sui)輸(shu)出(chu)電(dian)感(gan)諧(xie)振(zhen)。但(dan)現(xian)在(zai)電(dian)感(gan)是(shi)一(yi)個(ge)變(bian)量(liang),而(er)且(qie)以(yi)大(da)部(bu)分(fen)數(shu)據(ju)手(shou)冊(ce)所(suo)能(neng)提(ti)供(gong)的(de)極(ji)少(shao)量(liang)數(shu)據(ju)進(jin)行(xing)極(ji)差(cha)的(de)特(te)性(xing)化(hua)。由(you)於(yu)這(zhe)個(ge)原(yuan)因(yin),不(bu)建(jian)議(yi)使(shi)用(yong)鐵(tie)氧(yang)體(ti)磁(ci)珠(zhu)作(zuo)為(wei)二(er)級(ji)濾(lv)波(bo)器(qi),但(dan)可(ke)以(yi)用(yong)在(zai)下(xia)遊(you)以(yi)進(jin)一(yi)步(bu)降(jiang)低(di)極(ji)高(gao)的(de)頻(pin)率(lv)噪(zao)聲(sheng)。
結論
benwentigongleduozhongkaiguandianyuanshuchulvboqijishu。benwenweimeiyigetuoputigonglezhubuzhoudeshejiguocheng,suoduancaiceshijianbingjianshaolvboqishejizhongdejianzha。wenzhongdegongshidouzaiyidingchengdushangjingguolejianhua,gongchengshikeyitongguolejieerjishuchulvboqikeyidadaodechengduershixiankuaisusheji。
特別推薦
- 噪聲中提取真值!瑞盟科技推出MSA2240電流檢測芯片賦能多元高端測量場景
- 10MHz高頻運行!氮矽科技發布集成驅動GaN芯片,助力電源能效再攀新高
- 失真度僅0.002%!力芯微推出超低內阻、超低失真4PST模擬開關
- 一“芯”雙電!聖邦微電子發布雙輸出電源芯片,簡化AFE與音頻設計
- 一機適配萬端:金升陽推出1200W可編程電源,賦能高端裝備製造
技術文章更多>>
- 算力爆發遇上電源革新,大聯大世平集團攜手晶豐明源線上研討會解鎖應用落地
- 築基AI4S:摩爾線程全功能GPU加速中國生命科學自主生態
- 一秒檢測,成本降至萬分之一,光引科技把幾十萬的台式光譜儀“搬”到了手腕上
- AI服務器電源機櫃Power Rack HVDC MW級測試方案
- 突破工藝邊界,奎芯科技LPDDR5X IP矽驗證通過,速率達9600Mbps
技術白皮書下載更多>>
- 車規與基於V2X的車輛協同主動避撞技術展望
- 數字隔離助力新能源汽車安全隔離的新挑戰
- 汽車模塊拋負載的解決方案
- 車用連接器的安全創新應用
- Melexis Actuators Business Unit
- Position / Current Sensors - Triaxis Hall
熱門搜索
微波功率管
微波開關
微波連接器
微波器件
微波三極管
微波振蕩器
微電機
微調電容
微動開關
微蜂窩
位置傳感器
溫度保險絲
溫度傳感器
溫控開關
溫控可控矽
聞泰
穩壓電源
穩壓二極管
穩壓管
無焊端子
無線充電
無線監控
無源濾波器
五金工具
物聯網
顯示模塊
顯微鏡結構
線圈
線繞電位器
線繞電阻



