超前滯後零極點頻率補償器原理及應用
發布時間:2018-03-19 來源:Dennis Feucht 責任編輯:wenwei
【導讀】lingjidianbuchangqichangyongyuxiuzhengfankuifangdaqihuiludefuduhexiangwei。zhepianwenzhangchaochulejiaokeshubiaozhundejieshichengdu,benwenzhuyaojieshaolewuyuanbuchangqiheyouyuanbuchangqideyuanliheyingyongchangjing,yekaolvlegongchengshizaishiyongbuchangqishejidianlushixuyaozhuyidedifang,shenzhihaishejilebuchangqishejisuocaiyong晶體管的細節。
零極點補償器(Pole-zero compensator)changyongyuxiuzhengfankuifangdaqihuiludefuduhexiangwei。zhepianwenzhangchaochulejiaokeshubiaozhundejieshichengdu,benwenkaolvlegongchengshizaishiyongbuchangqishejidianlushixuyaozhuyidedifang,shenzhihaishejilebuchangqishejisuocaiyongjingtiguandexijie。
無源補償器
零極點補償器可以是超前-滯後或滯後-超前補償器。它們經常出現在電路和控製理論教科書中。最常見的無源電路補償器有三個器件:兩個電阻和一個電容。圖1所示的電路放置在放大器內方便的位置,尤其是在反饋回路中,以提供額外的相位或高頻幅度“加重”。

圖1:典型的無源電路補償器。
該電路本質上是個RC分頻器,增加了與C並聯的電阻R1。R1、C組合的阻抗為:

那麼,傳遞函數就是分壓器公式:

第一個因子是準靜態(0 + Hz)增益,即沒有C的分壓器。動態或頻率相關因子在ωz =–1/R1C處有一個零點;在ωp =–1/(R1 || R2)C處有一個極點。
當使用波特(Bode)或頻率響應圖時,使用頻率ω的大小(即其絕對值),負號被丟棄。
但是,請記住,波特圖上的極點和零點頻率不是正極點和零點——通常不是,但如果是的話,它們在圖示上仍然是正的。
由於並聯電阻的阻值比R1低,所以它們也具有較低的時間常數和較高頻率。極點頻率比零點高。
隨著頻率從低值開始增加,零點開始在低於ωz約十分之一的地方產生正向(超前)相位,它以45o/dec的線性增加,直到ωz為+ 45°。然後再高十倍,達到+90o;其在ωz的每一側都有十倍的相位影響。
類似,極點在ωp周圍有±10倍的相位相等範圍,但在ωp的每一側以–45o/dec線性地貢獻負(滯後)相位。在ωp,極點的相位貢獻是–45o。(極點或零點相位線性近似的最大誤差約為±6o。)
如果ωp > ωz超過二十倍,則極點與零點之間不存在相位的相互作用,可以實現從零點開始的完整的+ 90°相位。
零點相位超前位於回路增益幅度||GH||=1附近,位於回路的橫向或單位增益或交叉頻率fT處。
對於||GH||< 1,回路沒有足夠的反饋幅度(與正弦波幅度相同)來維持振蕩。
反饋電路中的常見問題是相位滯後或延遲過大,以及回路周圍的相移(回路增益GH)太接近-180°(-π,以弧度表示)。回路中添加補償器以加大正相位。這增加了相位裕度,即給定頻率與-180°(回路振蕩處)之間的回路相位差。
因此,一般的反饋設計目標是在fT處將回路相位保持在-180°以上,以實現正相位裕度。
理想情況下,補償器隻應貢獻零點而沒有極點,但實際的模擬電路總是產生不少於零點的極點。(在係統級,通過並聯電路、有方法可以規避這種情況,例如在PID補償器中。而在柏拉圖式的理想DSP世界中,可以無極點地編程零點,但不能實時實現!)
超前-滯後補償器有一個不需要的極點伴隨著所需的零點。使用該電路進行補償設計的挑戰是將零點放置在需要額外(正)相位的位置,同時將極點放置在對回路動態性能無關宏旨的較高頻率處,高於fT十倍以上是不錯的選擇。
為分離極點和零點,必須通過使R2 < < R1來分開時間常數。然而,這也使得分頻器準靜態增益 < < 1。是利是弊,取決於回路。對於由準靜態回路增益太大導致振蕩(或循環過度)的回路,GH0不僅會產生零點增加相位,而且由分頻器引起的GH0的減小會使波特幅度曲線向下。因幅度隨頻率下降,fT經由移動到圖2中左側(如圖2所示)而降低——下降到相位延遲不那麼大且回路更穩定的位置。

圖2:使用補償器後的波特圖變化。
另一方麵,如果回路的極點太多,但又必須保持回路增益以滿足精度(準靜態誤差)要求,則超前-滯後補償器不是合適的補救措施。 零點可以用來消除不需要的極點,但頻率更高的補償器極點仍存在。
實際上,補償器隻是將回路極點轉移到更高頻率,盡管不超過十倍。 這有時太過微不足道。
因此,當額外的零點和減小的準靜態增益都有利於控製時,最好使用超前-滯後補償器。
雙無源和有源補償器
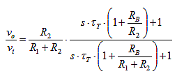
接著反饋回路的零極點補償器繼續講,並提出了一些教科書中通常看不到的方法。 雙(dual)RC超前-滯後補償器是RL超前-滯後補償器,如下所示,其傳遞函數為:

不采用並聯-R極點,雙重補償器采用串聯-R極點、時間常數τp=L/(R1+R2);而零點時間常數為τz = L/(R2)。極點的串聯-R大於零點的,在時間常數的分母中,極點頻率較大:對於RC超前-滯後電路,ωp>ωz。

圖3:雙重補償器電路圖。
用電容來實現電路通常比用電感更合適,但有個有趣的例外:即當電感由晶體管和電阻合成時,如圖4所示。

圖4:電感由晶體管和電阻合成的補償器及其高頻等效電路。
在fβ(β(s)開始滾降)和fT(β(s)=1)之間,是晶體管的高頻(hf)區域,其中基極阻抗在發射極旋轉+ 90°。
在該hf區域中的基極電阻RB采用如右側所示的等效電路(並聯RL),其中電感值取決於BJT的速度(由fT表示),並在表述L的公式中用作τT,其中τT = 1/ωT = 1/2 x π x fT。
該等效電路可方便地用於在高頻區補償的超前-滯後補償器。它與L被RB分流的無源版本不同。
當為傳遞函數求解該hf等效電路時:

該電路有一個零點和一個極點,極點/零點頻率之比為:

通過R1>>R2分開極點和零點。(接近或在同一頻率上的極點和零點是雙重點(doublet))。其對準靜態增益產生的效果與對無源電路的相同。RB影響極點和零點的位置,並在頻率上移動極點和零點。極點和零點被限製在高頻區域,或者當回轉(gyration)停止在該區域之外時,L“消失”。在fβ以下,僅為RB/(β0+1)。
該主題的一個變化如下所示,采用了並聯L、R2,而非串聯。

圖5:變化後的補償器電路。
RL超前-滯後補償器的傳遞函數為:

它與RC補償器在形式上的類似處在於都具有並聯-R極點,不同處在於在原點(origin)有零點。零點和極點頻率分別為ωz=–1/(L/R1)和ωp=–L/[R1||R2];其中零點頻率是零點增益達到一時的頻率。利用了相同的一般考慮。

圖6:有源補償器及其高頻等效電路。
滯後-超前補償器通過安置ωp<ωz以降低低頻下的回路增益,然後當fT接近以-1雙對數斜率穿越fT的平穩過渡時,將幅度響應從零點展開(flare out)。相同的有源器件電感合成可用於合成有源滯後-超前電路。
推薦閱讀:
特別推薦
- 噪聲中提取真值!瑞盟科技推出MSA2240電流檢測芯片賦能多元高端測量場景
- 10MHz高頻運行!氮矽科技發布集成驅動GaN芯片,助力電源能效再攀新高
- 失真度僅0.002%!力芯微推出超低內阻、超低失真4PST模擬開關
- 一“芯”雙電!聖邦微電子發布雙輸出電源芯片,簡化AFE與音頻設計
- 一機適配萬端:金升陽推出1200W可編程電源,賦能高端裝備製造
技術文章更多>>
- 貿澤EIT係列新一期,探索AI如何重塑日常科技與用戶體驗
- 算力爆發遇上電源革新,大聯大世平集團攜手晶豐明源線上研討會解鎖應用落地
- 創新不止,創芯不已:第六屆ICDIA創芯展8月南京盛大啟幕!
- AI時代,為什麼存儲基礎設施的可靠性決定數據中心的經濟效益
- 矽典微ONELAB開發係列:為毫米波算法開發者打造的全棧工具鏈
技術白皮書下載更多>>
- 車規與基於V2X的車輛協同主動避撞技術展望
- 數字隔離助力新能源汽車安全隔離的新挑戰
- 汽車模塊拋負載的解決方案
- 車用連接器的安全創新應用
- Melexis Actuators Business Unit
- Position / Current Sensors - Triaxis Hall
熱門搜索
微波功率管
微波開關
微波連接器
微波器件
微波三極管
微波振蕩器
微電機
微調電容
微動開關
微蜂窩
位置傳感器
溫度保險絲
溫度傳感器
溫控開關
溫控可控矽
聞泰
穩壓電源
穩壓二極管
穩壓管
無焊端子
無線充電
無線監控
無源濾波器
五金工具
物聯網
顯示模塊
顯微鏡結構
線圈
線繞電位器
線繞電阻




