改進型移相全橋ZVS DC-DC變換器的特點應用及控製電路設計
發布時間:2021-11-15 責任編輯:lina
【導讀】容易看出改進型的電路拓撲與基本型電路的主要差別在於副邊整流電路,該整流電路被稱為倍流整流器(Current-Doubler Rectifier,CDR),是(shi)目(mu)前(qian)應(ying)用(yong)的(de)熱(re)點(dian)之(zhi)一(yi)。下(xia)麵(mian)首(shou)先(xian)介(jie)紹(shao)一(yi)下(xia)該(gai)整(zheng)流(liu)電(dian)路(lu)。與(yu)全(quan)波(bo)整(zheng)流(liu)相(xiang)比(bi),倍(bei)流(liu)整(zheng)流(liu)器(qi)的(de)高(gao)頻(pin)變(bian)壓(ya)器(qi)副(fu)邊(bian)繞(rao)組(zu)僅(jin)需(xu)一(yi)個(ge)單(dan)一(yi)繞(rao)組(zu),不(bu)用(yong)中(zhong)心(xin)抽(chou)頭(tou)。
1、引言
2、改進型移相全橋ZVS DC-DC變換器主電路
改進型移相全橋ZVS DC-DC變換器主電路結構和各點波形對照如下圖2-1(a)和(b)所示:


容易看出改進型的電路拓撲與基本型電路的主要差別在於副邊整流電路,該整流電路被稱為倍流整流器(Current-Doubler Rectifier,CDR),是(shi)目(mu)前(qian)應(ying)用(yong)的(de)熱(re)點(dian)之(zhi)一(yi)。下(xia)麵(mian)首(shou)先(xian)介(jie)紹(shao)一(yi)下(xia)該(gai)整(zheng)流(liu)電(dian)路(lu)。與(yu)全(quan)波(bo)整(zheng)流(liu)相(xiang)比(bi),倍(bei)流(liu)整(zheng)流(liu)器(qi)的(de)高(gao)頻(pin)變(bian)壓(ya)器(qi)副(fu)邊(bian)繞(rao)組(zu)僅(jin)需(xu)一(yi)個(ge)單(dan)一(yi)繞(rao)組(zu),不(bu)用(yong)中(zhong)心(xin)抽(chou)頭(tou)。與橋式整流相比,倍流整流器使用的二極管數量少一半。所以說,倍流整流器是結合全波整流和橋式整流兩者優點的新型整流器。當然,倍流整流器要多使用一個輸出小濾波電感。但此電感的工作頻率及輸送電流均比全波整流器的要小一半,因此可做得較小,另外雙電感也更適合於分布式功率耗散的要求。
以下我們來研究一下改變整流電路後變換器主電路的工作狀況有什麼不同。
由(you)於(yu)電(dian)路(lu)工(gong)作(zuo)狀(zhuang)態(tai)在(zai)一(yi)個(ge)周(zhou)期(qi)內(nei)可(ke)以(yi)分(fen)為(wei)兩(liang)個(ge)完(wan)全(quan)一(yi)樣(yang)的(de)過(guo)程(cheng),所(suo)以(yi)以(yi)下(xia)僅(jin)僅(jin)分(fen)析(xi)半(ban)個(ge)周(zhou)期(qi)的(de)情(qing)況(kuang),而(er)這(zhe)半(ban)個(ge)周(zhou)期(qi)又(you)可(ke)分(fen)為(wei)以(yi)下(xia)三(san)種(zhong)開(kai)關(guan)模(mo)態(tai)(對照上圖2-1所示)。
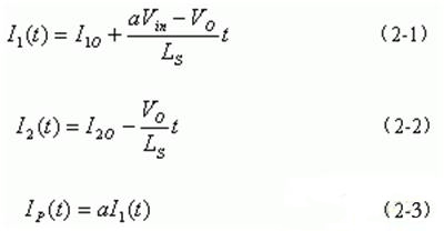
(1) 開關模態 1: t0 < t < t1 其中t1=DTs/2
此時Q1和Q4同時導通,變壓器副邊電感L1和整流管DS2 導通, 原邊能量向負載端傳遞。此模態的等效電路如下圖2-2:
其中,a為變壓器變比,Vin是直流母線電壓,I1和I2分別是電感L1和 L2電流(L1=L2=Ls),此時有如下等式成立:

當Q4關斷時該模態過程結束。
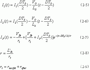
(2)開關模態 2 : t1 < t < t2 其中t2≤Ts/2
在t1時刻關斷Q4 ,此時副邊電感L1中儲存的能量給Q4電容(或並聯電容)充電同時將Q3兩端電容電荷放掉。為了實現軟開關,Q4關斷和Q3開通之間至少要存在一死區時間Δt1, 使得在Q3開通前D3首先導通,且有等式:
![]()
成立。其中Ceff 是開關管漏源兩端等效電容,Ip1為 t1時刻變壓器原邊流過電流。當D3導通後,變壓器副邊兩個二極管DS1 和DS2同時導通,電路工作在續流狀態。此時等效電路如下圖2-3所示:

此時有如下電路方程成立:

其中D為脈衝占空比,fS為電路工作頻率,L‘ik為主邊變壓器漏感(或與外接電感的串聯值),rt是變壓器原邊等效電阻,τ是原邊等效電流衰減時間常數,Vfp是反並聯二極管導通壓降。
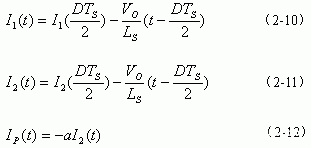
(3)開關模態3: t2 < t < t3 其中t3=Ts/2
處於該模態時,電路原邊導通情況與以上的模態2一致。此時由於換流過程結束,DS2關斷。所以等效電路如下圖2-4所示:

此時有電路方程如下:

注意這時I1,I2與模態2相同,但是DS1中將流過全部的負載電流。當Q1關斷時該模態結束。此時副邊電感L2中儲存的能量同時給開關管Q1和Q2 漏源端電容充電和放電。
Q1關斷後,D2 和D3將導通,這時候就可以給Q2和Q3以開通觸發信號了,當電流反向後,Q2,Q3導通,能量再次從原邊傳遞到副邊,於是Q2,Q3都是零電壓開通。
由於對稱性,剩下的半個周期的工作狀況與以上完全相同。
由此可以得到負載端輸出電壓:
注意它與一般的全波整流電路之間的1/2倍的關係。
由工作原理可以得到如下結論:
(1)超前臂開關管和滯後臂開關管的ZVS都利用了次級輸出濾波電感的能量來實現,因此串聯在原邊的電感值可以大大減小(甚至可以不需要串聯電感,隻用變壓器的原邊漏感)。
(2)軟開關實現時能量由副邊電感和原邊電感共同提供,因此可以在較寬的負載範圍內實現ZVS。
(3)超前臂開關管和滯後臂開關管實現軟開關ZVS的條件沒有基本型電路苛刻,並且由於副邊電感的影響,它們之間的軟開關實現條件的差異較之基本型電路大大減小。
3、變換器控製電路設計
該控製係統通過采集原邊母線電流、副邊側輸出電壓來構成兩個控製閉環:電流內環和電壓外環,原理框圖如下圖3-1所示。UCC3895是美國TI公司生產的一種高性能電流/電壓移相PWM控製器。它是UC3875(79)的改進型;它最適合於移相全橋電路,同時配合零電壓開關工作以實現在高頻時的局部軟開關性能。它除了具有UC3875(79)的功能外,最大的改進是增加了自適應死區設置,以適應負載變化時不同的準諧振軟開關要求。同時由於它采用了BCDMOS工藝,使得它的功耗更小,工作頻率更高。
從原理框圖可以清楚的看出:原邊母線電流通過電流互感器隔離采集得到,該信號再通過濾波以及斜坡補償電路後得到電流控製信號;而輸出電壓信號經過TL431調節後經過光耦隔離,再與設定電壓參考值比較得到電壓控製信號。電流和電壓控製信號輸入移相PWM控製器UCC3895後經由芯片內部比較器以及脈衝產生電路得到四路PWM控製信號,但是有一點必須注意,那就是UCC3895的(de)驅(qu)動(dong)能(neng)力(li)很(hen)弱(ruo),所(suo)以(yi)必(bi)須(xu)將(jiang)這(zhe)些(xie)控(kong)製(zhi)信(xin)號(hao)加(jia)以(yi)功(gong)率(lv)放(fang)大(da)並(bing)隔(ge)離(li),然(ran)後(hou)才(cai)能(neng)驅(qu)動(dong)主(zhu)電(dian)路(lu)的(de)兩(liang)個(ge)橋(qiao)臂(bi)中(zhong)的(de)開(kai)關(guan)管(guan)。其(qi)中(zhong),采(cai)用(yong)母(mu)線(xian)電(dian)流(liu)的(de)好(hao)處(chu)是(shi)它(ta)能(neng)反(fan)映(ying)同(tong)一(yi)橋(qiao)臂(bi)上(shang)下(xia)開(kai)關(guan)管(guan)的(de)貫(guan)通(tong)情(qing)況(kuang),從(cong)而(er)為(wei)開(kai)關(guan)管(guan)的(de)保(bao)護(hu)電(dian)路(lu)提(ti)供(gong)一(yi)定(ding)的(de)依(yi)據(ju)。另(ling)外(wai),該(gai)方(fang)案(an)成(cheng)功(gong)與(yu)否(fou)的(de)關(guan)鍵(jian)就(jiu)是(shi)斜(xie)坡(po)補(bu)償(chang)電(dian)路(lu)以(yi)及(ji)隔(ge)離(li)驅(qu)動(dong)電(dian)路(lu)。

4、實用電路分析
圖4-1所示為實際采用的主電路圖,其中濾波和EMI部分主要簡單考慮了串模和共模幹擾的處理。整流橋最大流過電流10A,並加一保險絲防止大的事故出現。R1和R2組成直流母線電壓檢測分壓器,得到的電壓信號經過控製和邏輯電路後,一路直接給母線軟起動電路的固體繼電器SSR,另外一路給控製芯片的軟起動控製電路SS(Soft Start)部分來控製UCC3895的軟起動,並且這兩路軟起動之間的延遲時間是可通過電路參數調節的。C5和C6都是電解電容,其值2200uF。CS是母線電流互感器,通過檢測母線電流信號,再與芯片內部振蕩器輸出的Ct端電壓信號通過一定比例的疊加,可以得到斜坡補償的電流信號;同時該電流檢測電路還能起到逐個脈衝(Pulse by Pulse)的過流保護功能,並可以防止同一橋臂上下管同時導通。Ch是高頻無感電容,大小為0.033uF, 由於電路的工作頻率較高,所以在電路的設計中將它盡可能的靠近電流互感器和地連接。Q1-Q4 為主開關管,圖中其並聯二極管是其內部等效表示,電容可以是外接電容。Ls是諧振電感,其值10uH,Tr是主變壓器,變比為1:1, DS1,DS2, Lf1, Lf2組成倍流整流器的副邊。C7, C8是電解電容,它們的大小皆為2200uF, C9為高頻無感電容大小為1uF 。

250V直流電壓輸入時(其中負載電阻為10.7Ω,電路工作頻率均為100KHz。):軟開捅時開關管G、E兩端電壓(波形1)和C、E兩端電壓(波形2)波形
由以上兩圖(a)和(b)可以看出:在開關管C、E兩端電壓降為零(反並聯二極管在此之前導通)之後100-200ns柵極驅動電壓才上升到柵平台值(6V左右),此時開關管才開始導通,所以它們是零電壓開通的。同時注意:超chao前qian橋qiao臂bi和he滯zhi後hou橋qiao臂bi的de軟ruan開kai通tong有you一yi定ding差cha別bie,具ju體ti說shuo來lai就jiu是shi超chao前qian臂bi比bi較jiao容rong易yi實shi現xian軟ruan開kai通tong一yi些xie,所suo以yi在zai相xiang同tong條tiao件jian下xia它ta的de軟ruan開kai通tong效xiao果guo較jiao為wei明ming顯xian。
5、結語
該電路設計方案是切實可行的,它結合了電流模式控製、移相PWM控製、倍流整流器電路、最新驅動芯片以及專門設計的開關器件的一些優點:
(1)從cong實shi驗yan波bo形xing來lai看kan,變bian換huan器qi的de超chao前qian與yu滯zhi後hou橋qiao臂bi開kai關guan器qi件jian均jun能neng很hen好hao的de實shi現xian零ling電dian壓ya軟ruan開kai關guan,並bing且qie零ling電dian壓ya軟ruan開kai關guan的de實shi現xian條tiao件jian以yi及ji兩liang個ge橋qiao臂bi軟ruan開kai關guan的de差cha異yi也ye比bi基ji本ben型xing電dian路lu小xiao。除chu此ci之zhi外wai,采cai用yong倍bei流liu整zheng流liu器qi電dian路lu後hou,變bian換huan器qi的de設she計ji也ye更geng加jia簡jian單dan化hua:比如主變壓器的副邊隻需要單一繞組,而不是像全波整流那樣需要引入中心抽頭;而且副邊電感量的大幅減小也使得電感的設計更加方便。
(2)采用電流模式控製能帶來一係列的好處。比如在防止變壓器磁芯飽和方麵、能夠很簡單的提供逐脈衝限流控製以及保證倍流整流器副邊電感電流的平衡方麵,它都有著電壓模式控製無法比擬的優點。
(3) 高速大電流驅動芯片使得驅動電路的設計更加簡單可靠。
免責聲明:本文為轉載文章,轉載此文目的在於傳遞更多信息,版權歸原作者所有。本文所用視頻、圖片、文字如涉及作品版權問題,請電話或者郵箱聯係小編進行侵刪。
推薦閱讀:
- 噪聲中提取真值!瑞盟科技推出MSA2240電流檢測芯片賦能多元高端測量場景
- 10MHz高頻運行!氮矽科技發布集成驅動GaN芯片,助力電源能效再攀新高
- 失真度僅0.002%!力芯微推出超低內阻、超低失真4PST模擬開關
- 一“芯”雙電!聖邦微電子發布雙輸出電源芯片,簡化AFE與音頻設計
- 一機適配萬端:金升陽推出1200W可編程電源,賦能高端裝備製造
- 築基AI4S:摩爾線程全功能GPU加速中國生命科學自主生態
- 一秒檢測,成本降至萬分之一,光引科技把幾十萬的台式光譜儀“搬”到了手腕上
- AI服務器電源機櫃Power Rack HVDC MW級測試方案
- 突破工藝邊界,奎芯科技LPDDR5X IP矽驗證通過,速率達9600Mbps
- 通過直接、準確、自動測量超低範圍的氯殘留來推動反滲透膜保護
- 車規與基於V2X的車輛協同主動避撞技術展望
- 數字隔離助力新能源汽車安全隔離的新挑戰
- 汽車模塊拋負載的解決方案
- 車用連接器的安全創新應用
- Melexis Actuators Business Unit
- Position / Current Sensors - Triaxis Hall



