使用LCC補償方案的無線電能傳輸
發布時間:2021-03-03 來源:卓晴 責任編輯:wenwei
【導讀】在(zai)無(wu)線(xian)磁(ci)共(gong)振(zhen)電(dian)能(neng)傳(chuan)輸(shu)係(xi)統(tong)中(zhong),由(you)於(yu)發(fa)送(song)線(xian)圈(quan)與(yu)接(jie)收(shou)線(xian)圈(quan)之(zhi)間(jian)往(wang)往(wang)具(ju)有(you)很(hen)大(da)的(de)間(jian)隔(ge),或(huo)者(zhe)沒(mei)有(you)對(dui)齊(qi),使(shi)得(de)兩(liang)個(ge)線(xian)圈(quan)之(zhi)間(jian)互(hu)感(gan)係(xi)數(shu)往(wang)往(wang)很(hen)低(di)。通(tong)常(chang)情(qing)況(kuang)下(xia)都(dou)小(xiao)於(yu)0.3。這種情況在 全國大學生智能車節能組[1] 比賽中情況會更糟。由於車模行駛到發送線圈上,依靠簡單的光電或者磁場定位,車模上的接收線圈往往很難對準發送線圈的中心。
1.設計背景
在(zai)無(wu)線(xian)磁(ci)共(gong)振(zhen)電(dian)能(neng)傳(chuan)輸(shu)係(xi)統(tong)中(zhong),由(you)於(yu)發(fa)送(song)線(xian)圈(quan)與(yu)接(jie)收(shou)線(xian)圈(quan)之(zhi)間(jian)往(wang)往(wang)具(ju)有(you)很(hen)大(da)的(de)間(jian)隔(ge),或(huo)者(zhe)沒(mei)有(you)對(dui)齊(qi),使(shi)得(de)兩(liang)個(ge)線(xian)圈(quan)之(zhi)間(jian)互(hu)感(gan)係(xi)數(shu)往(wang)往(wang)很(hen)低(di)。通(tong)常(chang)情(qing)況(kuang)下(xia)都(dou)小(xiao)於(yu)0.3。這種情況在 全國大學生智能車節能組[1] 比賽中情況會更糟。由於車模行駛到發送線圈上,依靠簡單的光電或者磁場定位,車模上的接收線圈往往很難對準發送線圈的中心。
為wei了le避bi免mian線xian圈quan漏lou磁ci造zao成cheng的de電dian感gan對dui於yu電dian能neng傳chuan輸shu的de阻zu礙ai,往wang往wang需xu要yao對dui發fa送song和he接jie收shou線xian圈quan使shi用yong電dian容rong進jin行xing補bu償chang。在zai前qian幾ji天tian測ce試shi了le簡jian單dan的de電dian容rong串chuan聯lian補bu償chang,可ke以yi獲huo得de50W傳輸功率,效率在75% zuoyou。chuanlianbuchangdianlusuiranshejijiandan,danshiduiyufasongxitongcunzaibuwendingqingkuang。tebieshidangfuzaichuxianjiaodabodongshi,huiyinqifasongxianquanzhongdedianliuchuxianhendadebodong。
為了適應負載的波動,往往采用LCC電路補償形式。它可以在了負載變化的情況下,維持發送線圈中的電流恒定,從而提高了係統的穩定性。
2.LCC補償方案
LCC電路補償是指在原來的發送線圈上增加三個補償器件,它們組成一個T型的電路網絡:
● T型左邊支路:串聯補償電感Lp
● T型右邊支路:串聯補償電容Cps
● T型下邊支路:並聯補償電容Cpp
發送和接收線圈采取對稱的LCC補償方案。

采用LCC進行補充的無線發送和接收電路
3.對稱T型補償電路
相比原來串聯補償,隻有一個補償電容參數,在設計時隻需要考慮到電路諧振頻率便可以求出補償電容的參數。
采用LCC補償方案,每邊補償網絡的參數變成了三個參數:Lp,Cps,Cpp。這使得電路設計變得複雜。
為了簡化設計,往往以下麵對稱T型網絡為基礎來設計電路。在負載Z0與電源Ui之間,使用了兩個jX(電感)和一個-jX(電容)組成了一個T型補償網絡。其中三個器件在工作頻率下對應的電抗幅值均相同。因此這個電路在設計過程中隻有一個參數X,因此設計過程簡單。

對稱梯形電路結構
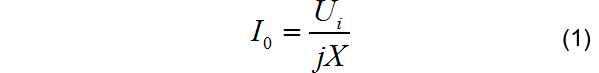
這個電路最重要的一個特性,就是負載Z0的工作電流I0是一個恒定值:
它與負載Z0沒有關係。如果負載Z0就是對應的發送線圈中對應副邊的反射電阻,這也說明發送線圈中的電流I0不會隨著負載的變化而改變,這使得係統保持穩定。
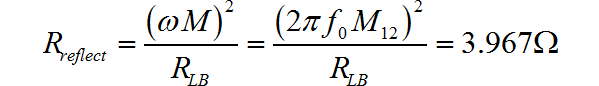
如果接收線圈已經進行很好的電容補償,對應線圈的負載假設為RL,那麼通過發送和接收線圈的耦合,在發送線圈所對應的反射電阻:

因此,無論實際負載RL的變化,還是發送和接收線圈之間的互感M的變化,反映在發送線圈中都是改變了對應的反射阻抗的大小。
02 LCC補償網絡參數設計
根據在 無線充電係統在輸出部分采用LCC拓撲結構綜述研究[2] 中的方案設計LCC的網絡參數。

發送和接收線圈
發送和接收線圈參數:
● 電感量:29微亨;
● 互感量:在相距3厘米時,互感量為9.5微亨;
1.設計條件
(1)輸出負載
假設電阻負載RL=10Ω。經過全橋整流之後,根據 全橋整流等效負載阻抗是多少?[3] 討論,整流全橋之前的阻抗大約是:
假設工作頻率:f0=95kHz。
原邊的反射電阻:

假設輸出功率:
。
(2)輸入功率
工作電壓:
。
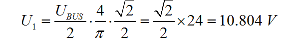
對應的基波的有效值:


方波以及對應的基波峰值
假設原邊到負載之間的效率為:
。
因此電源在反射上的功率為:
流經反射電阻的電流:


原邊LCC補償結構
2.計算結果
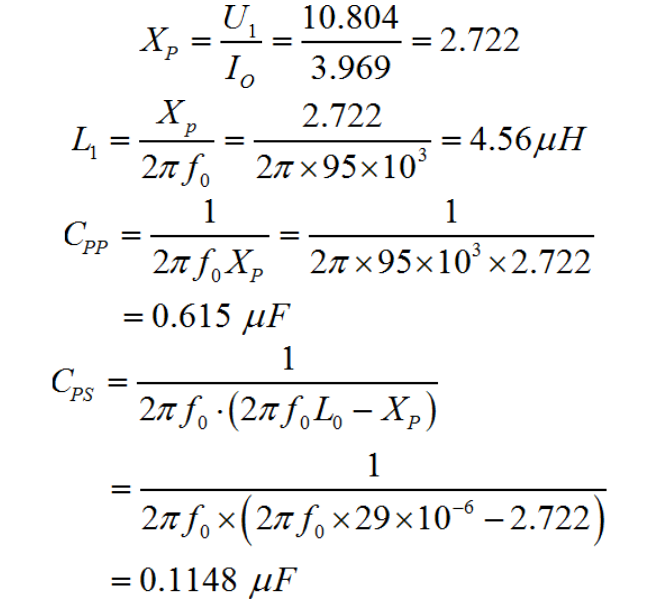
根據前麵計算出的I0的大小,可以分分別求出LCC補償器件的參數:

經過計算之後的LCC補償參數:

3.誤差影響分析
在實際實驗中,由於相關的電感L1,電容Cpp,Cps與設計參數會有相應的差別,主要原因包括:
● 隻能通過規格的電感、電容通過串並聯製作。所以它們隻能取與設計相近的數值;
● 滿足ZVS(Zero Voltage Switch)條件:逆變器需要呈現感性條件。
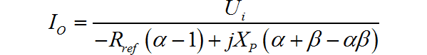
在 Applying LCC compenstation Network to Dynamic Wireless Charging System[4]給出了網絡參數偏離實際對稱狀態下的表達式。以LCC補償下支路Xp為基礎,左手偏離比率定義為
;右手偏離比率定義為:
,那麼流經耦合線圈的電流表達式為:

從公式中可以看到,當α,β等於1時,流經耦合線圈的電流是一個常量:
。
下圖顯示了U1=300V,Xp=12歐姆,Rref=8Ω的情況下,不同的α,β對於電流的影響。

α,β對於耦合線圈電流的影響
4.製作LCC補償網絡
(1)製作電感Lp
主要製作的電感電感量:Lp=4.56uH

最初的電感骨架
環形骨架參數:
α,β尺寸:32mm×20mm×11mm
α,β匝數:N1=42
α,β電感:L1=203.6uH;
根據Lp要求,需要製作的匝數為:

利用Litz線繞製6匝電感,測量電感:L=5.895uH。

繞製的6匝電感
(2)製作Cpp,Cps
使用0.22uF的電容通過串並聯製作Cpp,Cps。

製作的電容
● 兩個電容串聯製作Cps。Cps=0.11uH。
● 三個電容並聯製作Cpp。Cpp=0.66uH。
(3)補償網絡模塊
利用 粘貼銅箔簡易實驗電路製作[5] 製作LCC補償網絡電路。

製作的LCC補償模塊
LCC網絡參數:
○ Lp=5.901uH
○ Cpp=650.2nF
○ Cps=104.8nF

連接在一起的耦合實驗品台

發送線圈的LCC補償網絡(左)接收線圈的全橋整流(右)
03 實驗測試
1.空載測試
將接收線圈移開,隻測量發送線圈在空載下工作情況。

發送線圈在空載下測量
下麵顯示了在不同的工作頻率下,發送電路的工作電流變化情況。可以看到在設計的工作頻率點95kHz左右,係統工作電流最小,隻有60mA左右。

不同頻率下的空載電流
ruguoshijiandandechuanlianbuchang,zaifasongxianquankongzaishi,gongzuodianliuzehuidadaozuida。cishixitongdegonghaoyezuida,zhexiediangonglvdouxiaohaozaiqudongdianluhegongzuoxianquanshang。
經過LCC補償,情況則相反,在空載下,係統的工作電流自動達到最小。因此不需要係統進行額外的電流控製。
2.帶載實驗
將接收線圈與發送線圈對齊,並在全橋整流之後連接兩個50W30歐姆的水泥電阻並聯,負載電阻為15歐姆。

15歐姆的負載
下麵給出了不同頻率下,係統的輸入功率、輸出功率以及電能轉換效率:

不同頻率下的轉換效率與功率
可以看出,在設計工作頻率95kHz時,係統的轉換效率達到最高。但在105kHz時,係統的輸出功率達到最高。
3.滿載實驗
根據前麵設計係統滿載工作條件。在負載為10歐姆(由三個50W,30歐姆的水泥電阻並聯),驅動橋電壓為24V時,輸出功率應該50W左右。下麵是測量的結果:
● 電源工作電壓:: Vbus=24V
● 整流橋輸出電壓:Vout=22.11V,輸出功率:48.89W
● 電源電流Ibus=2.66A,係統輸入功率:64.32W
● 係統效率:76.0%
由測試結果可以看出,係統工作條件基本達到了設計要求。
下圖顯示了工作一段時間之後,LCC補償電路和接收電路溫度分布情況。可以看到串聯補償電感Lp有很大的溫度升高,它損耗了一定功率。在輸出電路中,全橋整流溫度也升高。

穩態溫度分布圖
4.線圈中的電流
前麵設計LCC補償電路參數,依據的原理是對稱T型電路會使得發送線圈的電流保持恒定。下麵使用電流鉗分別測量在電路滿載和空載下,發送線圈的電流大小。

測量線圈中的電流
下圖是係統在空載時,發送線圈中的電流波形(青色)。

線圈驅動電壓與線圈中的電流
下圖顯示了係統工作在滿載時,發送線圈中的電流波形(青色)。對比空載和滿載,可以看到發送線圈中的電流幅值基本上保持恒定。

線圈驅動電壓與線圈中的電流
對比上麵測量結果,可以看到線圈中的電流基本上保持恒定的數值。
結論
本文討論了基於對稱T型網絡設計LCC補償網絡參數問題。並對半橋驅動電壓24V情況下,在10歐電阻負載上輸出50W的條件進行設計LCC參數通過實驗測試,驗證了:
● 係統功率輸出達到了48.89W;
● 傳輸效率在76%;
工作在95kHz下,係統空載電流為60mA,無需主控電路任何控製,便可以適應接收負載發生劇烈變化的情況。
為了進一步提高係統的效率,需要對LCC中串聯電感Lp的製作進行優化。采用高頻,抗飽和磁環製作,減少補償電路的損耗。
參考資料
[1]全國大學生智能車節能組: https://zhuoqing.blog.csdn.net/article/details/110253008
[2]無線充電係統在輸出部分采用LCC拓撲結構綜述研究: https://zhuoqing.blog.csdn.net/article/details/113770750
[3]全橋整流等效負載阻抗是多少?: https://zhuoqing.blog.csdn.net/article/details/113777100
[4]Applying LCC compenstation Network to Dynamic Wireless Charging System: https://ieeexplore.ieee.org/stamp/stamp.jsp?tp=&arnumber=7405298
[5]粘貼銅箔簡易實驗電路製作: https://zhuoqing.blog.csdn.net/article/details/112150112
免責聲明:本文為轉載文章,轉載此文目的在於傳遞更多信息,版權歸原作者所有。本文所用視頻、圖片、文字如涉及作品版權問題,請聯係小編進行處理。
推薦閱讀:
特別推薦
- 噪聲中提取真值!瑞盟科技推出MSA2240電流檢測芯片賦能多元高端測量場景
- 10MHz高頻運行!氮矽科技發布集成驅動GaN芯片,助力電源能效再攀新高
- 失真度僅0.002%!力芯微推出超低內阻、超低失真4PST模擬開關
- 一“芯”雙電!聖邦微電子發布雙輸出電源芯片,簡化AFE與音頻設計
- 一機適配萬端:金升陽推出1200W可編程電源,賦能高端裝備製造
技術文章更多>>
- 築基AI4S:摩爾線程全功能GPU加速中國生命科學自主生態
- 一秒檢測,成本降至萬分之一,光引科技把幾十萬的台式光譜儀“搬”到了手腕上
- AI服務器電源機櫃Power Rack HVDC MW級測試方案
- 突破工藝邊界,奎芯科技LPDDR5X IP矽驗證通過,速率達9600Mbps
- 通過直接、準確、自動測量超低範圍的氯殘留來推動反滲透膜保護
技術白皮書下載更多>>
- 車規與基於V2X的車輛協同主動避撞技術展望
- 數字隔離助力新能源汽車安全隔離的新挑戰
- 汽車模塊拋負載的解決方案
- 車用連接器的安全創新應用
- Melexis Actuators Business Unit
- Position / Current Sensors - Triaxis Hall
熱門搜索
微波功率管
微波開關
微波連接器
微波器件
微波三極管
微波振蕩器
微電機
微調電容
微動開關
微蜂窩
位置傳感器
溫度保險絲
溫度傳感器
溫控開關
溫控可控矽
聞泰
穩壓電源
穩壓二極管
穩壓管
無焊端子
無線充電
無線監控
無源濾波器
五金工具
物聯網
顯示模塊
顯微鏡結構
線圈
線繞電位器
線繞電阻






