如何將總諧波失真降至10%以下
發布時間:2020-08-13 來源:Ankur Verma 責任編輯:wenwei
【導讀】LED 照明領域普遍關注的問題一直是如何將總諧波失真 (THD) 保持在 10% yixia。dianyuanbudankezuoweifeixianxingfuzai,erqiehaikeyinchuyitiaobaohanxiebodeshizhenboxing。zhexiexiebokenenghuiduiqitadianzixitongdegongzuozaochengganrao。yinci,celiangzhexiexiebodezongtiyingxiangfeichangzhongyao。zongxieboshizhenkeweiwomentigongxinhao w.r.t. 基波分量中諧波含量的相關信息。更高的 THD 就意味著出現在輸入電源端的失真越大或電源質量越低。
因此,我不得不使用 15 W 射燈(絕緣)設計來測試一個設計方法,該設計方案采用針對 7 個串聯 LED 配置的 TPS92314 器件,可通過 150 ~ 265V AC 輸入提供 3.1V 正向電壓和 0.7A 額定電流。按照下列指示,我在 240V 的 AC 輸入電壓下實現了 8.7% 的 THD。
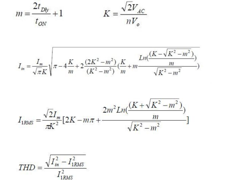
在進行實際實施之前,請查閱應用手冊,了解完成該測試所需的兩個重要方程式。
在本例中,k 等於 1.68,我們可通過上述方程繪製出當 k = 1.68 時 THD 與“m”的關係曲線圖。

從下圖中我們可以看到,當 k 增大時(在 m<k 的一個具體“m”值下),THD 也會增大。

因此,重新看一下“m”和“k”的定義,我們就會發現,增大匝數比(n = Np/Ns)及轉換器延遲時間,可降低 THD。除這兩個參數外,EMI 濾波器設計也可對 THD 的改善起到非常重要的作用。用來降低總諧波失真的三個設計注意事項包括:
1. 增加變壓器匝數比 (n = Np/Ns) 可增大反射電壓。這會提高成本和開關 FET 的電壓應力。在本特例中,我們將匝數比調成近似於 10,以保持反射電壓約為 174V。FET 額定值必須高於過衝電壓、(LED 最大電壓+ 輸出二極管壓降)× 匝數比加上峰值 AC 輸入電壓的總和。計算結果將近 640V [= 50 V + (20 + 0.5) * 10 + 1.414 * 265]。我使用的是 700V 額定 FET 以及約為 16pF 的低漏源極電容。
2. 增加轉換器延遲時間可降低 THD。我將電阻器從計算的 5.6k 變為 6.2k。延遲時間取決於變壓器的初級線圈電感以及 FET 的漏源極電容。所得延遲時間約為 280ns。
3. 在輸入端添加 EMI 濾波器。在本例中,將帶有 275V AC、68nF 電容器的 80mH 共模線圈添加至輸入端,並在該橋接之後添加一個包含 1mH 鼓電感器和兩個 400V、33nF 電容器的 π 濾波器。這可幫助我們實現 2.15 kHz 的差分濾波器轉角頻率。在線路阻抗穩定網絡和頻譜分析儀的幫助下,我在查看傳導 EMI 曲線後,在多次迭代中計算這些值。在最初沒有任何線路濾波器的情況下,峰值在 100 kHz(轉換器開關頻率)下約為 85dBuV。該頻譜已經超出了 CISPR 15 B 類標準的限值,直到頻率為 1MHz 時才降至限值以內。因此不得不采用 EMI 濾波器。我逐步增加共模線圈值,並觀察其對 THD 性能的影響(將電容器增大到一定程度後會降低 PF 性能)。最後,該值達到了 80mH 和 68nF 左右,而截止頻率則為 2.15 kHz,衰減超過 30dB,使 100 kHz 下的峰值降至 55.78dBuV。這樣,頻譜不僅下降了,而且它還使燈光達到了 CISPR 15 標準(符合準峰值和平均限值兩種要求)。進行這一改變後,THD 改善至大約 9 ~ 10%。與共模線圈相關的漏電感幫我實現了差分濾波器。


通過進行上述改變,我才得以在 240V 的輸入電壓下實現 8.5% 的 THD 以及 0.98 的 PF,輸出電壓為 21.8V。在相同設計中的輸出端(18.8V 輸出)使用六個 LED,我們在 240V 電壓下實現了 9% 的 THD。通過 EE1685 磁芯(匝數 180)實現了 80mH 的 EMI 濾波器。主變壓器的初級電感為 2mH,峰值主電流約為 0.5A。
本次測試使用的 LED 驅動器是 TPS92314,這款一次側控製離線 LED 驅動器主要用於低成本照明應用(少量外部元件)。它具有恒定導通時間架構,無需複雜的補償技術就可實現自然功率因數校正。此外,諧振穀值開關也可減少 EMI,提高係統效率。其它優異的特性還包括逐周期一次側電流限製、VCC 過壓保護及欠壓鎖定、輸出 LED 過壓保護以及控製器關閉等。
基於TI TPS92314 的完整原理圖如下。

推薦閱讀:
特別推薦
- 噪聲中提取真值!瑞盟科技推出MSA2240電流檢測芯片賦能多元高端測量場景
- 10MHz高頻運行!氮矽科技發布集成驅動GaN芯片,助力電源能效再攀新高
- 失真度僅0.002%!力芯微推出超低內阻、超低失真4PST模擬開關
- 一“芯”雙電!聖邦微電子發布雙輸出電源芯片,簡化AFE與音頻設計
- 一機適配萬端:金升陽推出1200W可編程電源,賦能高端裝備製造
技術文章更多>>
- 貿澤EIT係列新一期,探索AI如何重塑日常科技與用戶體驗
- 算力爆發遇上電源革新,大聯大世平集團攜手晶豐明源線上研討會解鎖應用落地
- 創新不止,創芯不已:第六屆ICDIA創芯展8月南京盛大啟幕!
- AI時代,為什麼存儲基礎設施的可靠性決定數據中心的經濟效益
- 築基AI4S:摩爾線程全功能GPU加速中國生命科學自主生態
技術白皮書下載更多>>
- 車規與基於V2X的車輛協同主動避撞技術展望
- 數字隔離助力新能源汽車安全隔離的新挑戰
- 汽車模塊拋負載的解決方案
- 車用連接器的安全創新應用
- Melexis Actuators Business Unit
- Position / Current Sensors - Triaxis Hall
熱門搜索
微波功率管
微波開關
微波連接器
微波器件
微波三極管
微波振蕩器
微電機
微調電容
微動開關
微蜂窩
位置傳感器
溫度保險絲
溫度傳感器
溫控開關
溫控可控矽
聞泰
穩壓電源
穩壓二極管
穩壓管
無焊端子
無線充電
無線監控
無源濾波器
五金工具
物聯網
顯示模塊
顯微鏡結構
線圈
線繞電位器
線繞電阻


