為單極負電源增加高效的正供電軌
發布時間:2020-06-28 來源:Victor Khasiev 責任編輯:wenwei
【導讀】有時候您需要正電源,但大部分可用的供電軌(或僅有的可用供電軌)提供的都是負電源。事實上,負到正電壓轉換已用於汽車電子,以及各種音頻放大器、工業和測試設備的偏置電路中。雖然在許多係統中是電源通過相對於地的負供電軌分配,但這些係統中的邏輯板、ADC、DAC、傳感器和類似器件仍然需要一個或多個正供電軌。本文介紹一種簡單高效且組件數量少的電路,用於從負供電軌生成正電壓。
電路描述和電驅動係統功能
圖1顯示將負電壓高效轉化為正電壓的完整解決方案。這種特定的解決方案使用升壓拓撲。電驅動係統包括開關MOSFET、底部Q1、頂部Q2、電感L1和輸入/輸出濾波器。同步高效升壓控製器IC通過改變電驅動係統中開關MOSFET的狀態來調節輸出電壓。為了描述這種電路,將係統接地(SYS_GND)用作極性參考,得到一個相對於SYS_GND為負的輸入供電軌(–VIN)和一個相對於SYS_GND為正的輸出供電軌(+VOUT)。
轉換器的工作方式如下。如果晶體管Q1開啟,電流從SYS_GND流向負供電軌。晶體管Q2關閉,電感L1將電能存儲在其磁場中。在開關周期的剩餘時間裏,Q1關閉,Q2開啟,電流開始從SYS_GND流向+VOUT供電軌,將L1電能釋放給負載。

圖1.負正轉換器電氣原理圖,VIN為–6 V至–18 V(峰值為–24 V),6 A時VOUT為+12 V。
電驅動係統組件選擇的基本表達
圖2所示的開關行為拓撲關係圖描述了負正轉換器的行為。在開關周期的首個區間,在占空比定義的時長內,底部開關BSW短路,頂部開關TSW斷開。電感電壓L等於–VIN。在此區間內,電感L中的電流增加,在電感兩端生成電壓極性匹配–VIN。與此同時,輸出濾波器電容放電,為係統負載提供電流。

圖2.負到正轉換器拓撲關係圖。
在周期的第二個區間,兩個開關切換,BSW斷開,TSW短路。電感L的極性改變,電感開始向負載和輸出濾波電容器COUT提供(在周期的第一個區間內儲存的)電流。在這段周期內,電感的電流相應降低。電感的伏秒平衡定義轉換器在連續導通模式下的占空比D。
計算時序和組件應力
以下是描述時序和電驅動係統組件應力的公式。
占空比決定開關的開/關時間
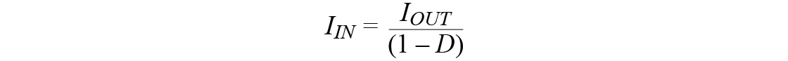
輸入電流IOUT的平均值就是輸入電流
電感電流的峰值
開關MOSFET上的電壓應力
通過底部MOSFET的平均電流
通過頂部MOSFET的平均電流
這些表達公式可以幫助您理解拓撲的功能,並初步選擇電驅動係統組件。關於最終選擇和詳細的設計,請使用LTspice®建模和模擬工具。1
轉換器控製描述和功能
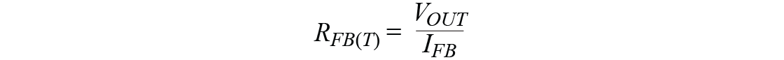
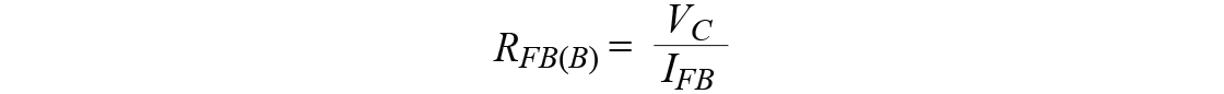
輸出電壓檢測和控製電壓的電平轉換通過由PNP晶體管Q3和Q4形成的電流鏡管控。反饋電流IFB在此電路中為1 mA)決定反饋回路中的電阻值。
其中VC為誤差放大器的基準電壓。
其中RFB(T)為輸出電壓檢測電阻。
圖1所(suo)示(shi)的(de)反(fan)饋(kui)電(dian)路(lu)是(shi)一(yi)種(zhong)低(di)成(cheng)本(ben)解(jie)決(jue)方(fang)案(an),但(dan)分(fen)立(li)式(shi)晶(jing)體(ti)管(guan)的(de)容(rong)差(cha)可(ke)能(neng)會(hui)受(shou)基(ji)極(ji)發(fa)射(she)極(ji)電(dian)壓(ya)和(he)溫(wen)度(du)變(bian)化(hua)差(cha)值(zhi)影(ying)響(xiang)。為(wei)了(le)提(ti)高(gao)精(jing)度(du),可(ke)以(yi)使(shi)用(yong)配(pei)對(dui)的(de)晶(jing)體(ti)管(guan)。
轉換器電驅動係統由LTC7804升壓控製器管控。之所以選擇該芯片,是因為它支持同步整流,易於實現,可以提供高開關頻率操作(如果需要小尺寸電感)和低靜態電流,因而具有高效率。
測試結果和拓撲限製
此解決方案經過了仔細測試和驗證。圖3顯示在各種負載電流下都能保持高效率,達到96%。注意,隨著輸入電壓絕對值減小,輸入電流和電感電流增大。在某個點,電感電流可能會超過電感的最大電流或飽和電流。從圖4的降額曲線可以明顯看出。在–9 V到–18 V範圍內,最大負載電流為6 A,輸入電壓絕對值低於–9 V時,該值更小。圖6解決方案電路板的熱性能見圖5。

圖3.在自然對流冷卻情況下,VIN為–12 V和–18 V時的效率曲線。

圖4.輸入電壓絕對值低於–9 V時的輸出電流降額曲線。

圖5.在自然對流冷卻、沒有空氣流動的情況下,VIN為–12 V,VOUT為+12 V,電流為6 A時,轉換器的熱圖像。

圖6.轉換器照片。
結論
本(ben)文(wen)介(jie)紹(shao)一(yi)種(zhong)非(fei)常(chang)高(gao)效(xiao)且(qie)相(xiang)對(dui)簡(jian)單(dan)的(de)完(wan)整(zheng)解(jie)決(jue)方(fang)案(an)設(she)計(ji),通(tong)過(guo)使(shi)用(yong)升(sheng)壓(ya)控(kong)製(zhi)器(qi)可(ke)以(yi)為(wei)單(dan)極(ji)性(xing)負(fu)電(dian)源(yuan)添(tian)加(jia)正(zheng)電(dian)軌(gui)。文(wen)中(zhong)提(ti)供(gong)了(le)電(dian)氣(qi)原(yuan)理(li)圖(tu),以(yi)及(ji)時(shi)序(xu)、gonglvzhuanhuanzujianhedianqiyinglifangmiandejisuan。ceshishujuzhengshigaixitongjubeigaoxiaolvhechusederexingneng。ciwai,cijiejuefangancaiyongshengyatuopu,yinershejirenyuankeyixuanzeshiyongyurenzhengdeshengyakongzhiqi,congerjieshengkaifashijianhechengben。erzhengshishengyakongzhiqishiyongyufuzhengdianyazhuanhuanqiyeyushizhetashiheweilaideshengyayingyong。
推薦閱讀:
特別推薦
- 噪聲中提取真值!瑞盟科技推出MSA2240電流檢測芯片賦能多元高端測量場景
- 10MHz高頻運行!氮矽科技發布集成驅動GaN芯片,助力電源能效再攀新高
- 失真度僅0.002%!力芯微推出超低內阻、超低失真4PST模擬開關
- 一“芯”雙電!聖邦微電子發布雙輸出電源芯片,簡化AFE與音頻設計
- 一機適配萬端:金升陽推出1200W可編程電源,賦能高端裝備製造
技術文章更多>>
- 算力爆發遇上電源革新,大聯大世平集團攜手晶豐明源線上研討會解鎖應用落地
- 築基AI4S:摩爾線程全功能GPU加速中國生命科學自主生態
- 一秒檢測,成本降至萬分之一,光引科技把幾十萬的台式光譜儀“搬”到了手腕上
- AI服務器電源機櫃Power Rack HVDC MW級測試方案
- 突破工藝邊界,奎芯科技LPDDR5X IP矽驗證通過,速率達9600Mbps
技術白皮書下載更多>>
- 車規與基於V2X的車輛協同主動避撞技術展望
- 數字隔離助力新能源汽車安全隔離的新挑戰
- 汽車模塊拋負載的解決方案
- 車用連接器的安全創新應用
- Melexis Actuators Business Unit
- Position / Current Sensors - Triaxis Hall
熱門搜索
微波功率管
微波開關
微波連接器
微波器件
微波三極管
微波振蕩器
微電機
微調電容
微動開關
微蜂窩
位置傳感器
溫度保險絲
溫度傳感器
溫控開關
溫控可控矽
聞泰
穩壓電源
穩壓二極管
穩壓管
無焊端子
無線充電
無線監控
無源濾波器
五金工具
物聯網
顯示模塊
顯微鏡結構
線圈
線繞電位器
線繞電阻



