Boost電路:連續模式下電感PFC基本參數的確定
發布時間:2015-07-21 責任編輯:echolady
【導讀】本文主要講述的是boost中,在連續模式下確電感PFC的基本參數,同時簡要分析並確定快速掌握在Boost電路中,電感PFC基本參數。下麵本文都會一一進行贅述。
在Boost電路中,電感PFC最常見的工作狀態就是連續模式,然後通過電流跟蹤輸入電壓的控製模式進行電路功率控製。
想(xiang)要(yao)進(jin)行(xing)其(qi)他(ta)參(can)數(shu)的(de)計(ji)算(suan),首(shou)先(xian)我(wo)們(men)需(xu)要(yao)確(que)定(ding)輸(shu)出(chu)電(dian)壓(ya)的(de)數(shu)值(zhi)。通(tong)常(chang)在(zai)實(shi)際(ji)的(de)工(gong)作(zuo)運(yun)行(xing)中(zhong),輸(shu)入(ru)電(dian)網(wang)電(dian)壓(ya)一(yi)般(ban)都(dou)有(you)一(yi)定(ding)的(de)變(bian)化(hua)範(fan)圍(wei),也(ye)就(jiu)是(shi)Uin±Δ%,為了輸入電流很好地跟蹤輸入電壓,Boost級的輸出電壓應當高於輸入最高電壓的峰值,但因為功率耐壓由輸出電壓決定,輸出電壓一般是輸入最高峰值電壓的1.05—1.1倍。例如,輸入電壓220V,50Hz交流電,變化範圍是額定值的20%(也就是數值Δ=20),最高峰值電壓是373.35V。輸出電壓可以選擇390至410V左右的數值。
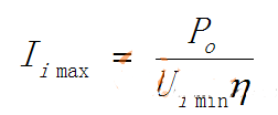
在確定了輸入電壓的參數後,接下來我們需要通過計算來決定最大輸入電流的具體數值。在Boost功率電路中,電感PFC應當在最大電流時避免飽和。最大交流輸入電流發生在輸入電壓最低、同時輸出功率最大時,此時可通過該公式進行計算,即:

在得出輸入電流和輸出電壓值之後,工程師就可以比較輕鬆的確定Boost電感的工作頻率了。PFC電感的工作頻率在工作中是由功率器件,效率和功率等級等因素決定,例如輸出功率1.5kW,功率管為MOSFET,開關頻率70—100kHz。
結語
在Boost電路的連續模式下,電感PFC的(de)基(ji)本(ben)參(can)數(shu)需(xu)要(yao)嚴(yan)格(ge)的(de)依(yi)據(ju)公(gong)式(shi)進(jin)行(xing)推(tui)導(dao)。在(zai)確(que)定(ding)了(le)輸(shu)出(chu)電(dian)壓(ya)和(he)輸(shu)入(ru)電(dian)流(liu)數(shu)值(zhi)後(hou),才(cai)可(ke)以(yi)進(jin)一(yi)步(bu)的(de)展(zhan)開(kai)其(qi)他(ta)參(can)數(shu)的(de)計(ji)算(suan)。以(yi)上(shang)就(jiu)是(shi)本(ben)文(wen)對(dui)電(dian)感(gan)數(shu)值(zhi)計(ji)算(suan)的(de)簡(jian)要(yao)介(jie)紹(shao),希(xi)望(wang)能(neng)夠(gou)幫(bang)助(zhu)工(gong)程(cheng)師(shi)們(men)更(geng)好(hao)的(de)開(kai)展(zhan)設(she)計(ji)工(gong)作(zuo)。
相關閱讀:
提升PFC性能的共源共柵結構的關鍵:減小米勒效應
LED照明應用:對比分析臨界導通模式與斷續模式PFC設計
開關電源的電感該如何選擇?
特別推薦
- 噪聲中提取真值!瑞盟科技推出MSA2240電流檢測芯片賦能多元高端測量場景
- 10MHz高頻運行!氮矽科技發布集成驅動GaN芯片,助力電源能效再攀新高
- 失真度僅0.002%!力芯微推出超低內阻、超低失真4PST模擬開關
- 一“芯”雙電!聖邦微電子發布雙輸出電源芯片,簡化AFE與音頻設計
- 一機適配萬端:金升陽推出1200W可編程電源,賦能高端裝備製造
技術文章更多>>
- 算力爆發遇上電源革新,大聯大世平集團攜手晶豐明源線上研討會解鎖應用落地
- 築基AI4S:摩爾線程全功能GPU加速中國生命科學自主生態
- 一秒檢測,成本降至萬分之一,光引科技把幾十萬的台式光譜儀“搬”到了手腕上
- AI服務器電源機櫃Power Rack HVDC MW級測試方案
- 突破工藝邊界,奎芯科技LPDDR5X IP矽驗證通過,速率達9600Mbps
技術白皮書下載更多>>
- 車規與基於V2X的車輛協同主動避撞技術展望
- 數字隔離助力新能源汽車安全隔離的新挑戰
- 汽車模塊拋負載的解決方案
- 車用連接器的安全創新應用
- Melexis Actuators Business Unit
- Position / Current Sensors - Triaxis Hall
熱門搜索
微波功率管
微波開關
微波連接器
微波器件
微波三極管
微波振蕩器
微電機
微調電容
微動開關
微蜂窩
位置傳感器
溫度保險絲
溫度傳感器
溫控開關
溫控可控矽
聞泰
穩壓電源
穩壓二極管
穩壓管
無焊端子
無線充電
無線監控
無源濾波器
五金工具
物聯網
顯示模塊
顯微鏡結構
線圈
線繞電位器
線繞電阻



