實現靈活的數字電源管理,需具備向後兼容性
發布時間:2015-01-15 責任編輯:xueqi
【導讀】本(ben)文(wen)通(tong)過(guo)計(ji)算(suan)可(ke)以(yi)驗(yan)證(zheng)這(zhe)種(zhong)重(zhong)新(xin)配(pei)置(zhi)反(fan)饋(kui)網(wang)絡(luo)以(yi)調(tiao)整(zheng)輸(shu)出(chu)電(dian)壓(ya)的(de)方(fang)法(fa),並(bing)為(wei)其(qi)它(ta)使(shi)用(yong)數(shu)字(zi)基(ji)準(zhun)電(dian)壓(ya)的(de)數(shu)字(zi)電(dian)源(yuan)控(kong)製(zhi)器(qi),向(xiang)後(hou)兼(jian)容(rong)模(mo)擬(ni)控(kong)製(zhi)器(qi)提(ti)供(gong)思(si)路(lu),增(zeng)強(qiang)了(le)數(shu)字(zi)電(dian)源(yuan)解(jie)決(jue)方(fang)案(an)的(de)靈(ling)活(huo)性(xing)。
最近超大規模集成技術的發展擴寬了數字控製應用範圍,尤其是在電源電子元件方麵的應用。數字控製IC具有多種優勢,比如裸片尺寸更小、無源元件數量更少、成本更低。另外,數字控製可利用電源管理總線(PMBus)來完成係統配置;高級控製算法能改善性能;可編程性則可實現應用優化。隨著數字電源管理的進一步普及並代替大量模擬控製器,它必須保持現有功能的向後兼容性,從而使數字電源模塊和模擬電源模塊均可在同一個係統中工作。
模mo擬ni電dian源yuan模mo塊kuai中zhong一yi般ban使shi用yong輸shu出chu電dian壓ya調tiao整zheng,這zhe樣yang最zui終zhong用yong戶hu可ke以yi通tong過guo外wai部bu電dian阻zu更geng改gai電dian源yuan模mo塊kuai的de輸shu出chu電dian壓ya。它ta具ju有you增zeng強qiang的de靈ling活huo性xing,允yun許xu將jiang某mou些xie經jing過guo選xuan擇ze的de標biao準zhun模mo塊kuai用yong到dao幾ji乎hu所suo有you應ying用yong中zhong,而er無wu論lun電dian壓ya要yao求qiu如ru何he。 圖1顯示AGF600-48S30模擬電源模塊中調整輸出電壓的典型配置。
輸出電壓可通過改變連接電源模塊正輸出端或接地端的電阻來進行調節通過連接外部電阻RUP並使RDOWN浮空,可以向上調整輸出電壓(高於標稱輸出電壓),或者通過連接外部電阻RDOWN並使RUP短路(電阻值為零)向下調整(低於標稱輸出電壓)。

圖1:調整AGF600-48S30 DC-DC轉換器的輸出電壓
在模擬解決方案中,RUP和RDOWN可改變誤差放大器的基準電壓。 誤wu差cha放fang大da器qi利li用yong電dian阻zu分fen壓ya器qi感gan測ce輸shu出chu電dian壓ya,分fen壓ya器qi通tong過guo負fu反fan饋kui連lian接jie誤wu差cha放fang大da器qi的de反fan相xiang輸shu入ru端duan。誤wu差cha放fang大da器qi的de輸shu出chu電dian壓ya控kong製zhi驅qu動dong信xin號hao的de占zhan空kong比bi,進jin而er設she置zhi輸shu出chu電dian壓ya。因yin此ci,輸shu出chu電dian壓ya隨sui基ji準zhun電dian壓ya的de變bian化hua而er改gai變bian,而erRUP或RDOWN可以改變基準電壓,進而向上或向下調整輸出電壓。
圖2顯示兩種廣泛用於模擬電源模塊中的調壓方式。圖2(a)中的模擬控製器引腳允許外部電阻 RDOWN降低誤差放大器同相輸入端的電壓,從而降低輸出電壓。外部電阻RUP與電阻分壓器串聯連接,可降低施加在誤差放大器反相輸入端的電壓,從而增加輸出電壓。圖2(b)中(zhong)的(de)模(mo)擬(ni)控(kong)製(zhi)器(qi)不(bu)提(ti)供(gong)針(zhen)對(dui)內(nei)部(bu)基(ji)準(zhun)電(dian)壓(ya)的(de)訪(fang)問(wen),但(dan)可(ke)以(yi)加(jia)入(ru)一(yi)個(ge)外(wai)部(bu)誤(wu)差(cha)放(fang)大(da)器(qi)和(he)基(ji)準(zhun)電(dian)壓(ya)源(yuan),以(yi)便(bian)對(dui)輸(shu)出(chu)電(dian)壓(ya)進(jin)行(xing)調(tiao)整(zheng)。外(wai)部(bu)放(fang)大(da)器(qi)輸(shu)出(chu)端(duan)與(yu)內(nei)部(bu)放(fang)大(da)器(qi)輸(shu)出(chu)端(duan)相(xiang)連(lian),有(you)效(xiao)地(di)旁(pang)路(lu)了(le)內(nei)部(bu)誤(wu)差(cha)放(fang)大(da)器(qi)。然(ran)後(hou),基(ji)準(zhun)電(dian)壓(ya)可(ke)采(cai)用(yong)之(zhi)前(qian)的(de)相(xiang)同(tong)電(dian)路(lu)進(jin)行(xing)配(pei)置(zhi),從(cong)而(er)以(yi)同(tong)樣(yang)的(de)方(fang)式(shi)對(dui)兩(liang)個(ge)電(dian)源(yuan)模(mo)塊(kuai)進(jin)行(xing)調(tiao)整(zheng)。
圖2:利用(a)帶有可配置內部基準電壓的模擬控製器或者
(b)帶有固定內部基準電壓的模擬控製器調整模擬電源模塊的輸出電壓
(b)帶有固定內部基準電壓的模擬控製器調整模擬電源模塊的輸出電壓
該器件非常適合高密度DC-DC電源轉換,具有6個可編程脈衝寬度調製(PWM)輸出,可控製大部分高效電源拓撲。另外,該器件還能控製同步整流(SR),並集成6個模數轉換器(ADC),能夠采樣模擬輸入電壓、輸入電流、輸出電壓、輸出電流、溫wen度du以yi及ji其qi它ta參can數shu。轉zhuan換huan為wei數shu據ju後hou,將jiang這zhe些xie信xin號hao發fa送song至zhi數shu字zi內nei核he模mo塊kuai進jin行xing處chu理li。該gai器qi件jian采cai用yong靈ling活huo的de狀zhuang態tai機ji架jia構gou,以yi硬ying件jian實shi現xian全quan部bu功gong能neng,提ti供gong穩wen定ding可ke靠kao的de解jie決jue方fang案an,但dan無wu法fa通tong過guo編bian程cheng實shi現xian設she計ji以yi外wai的de功gong能neng。器qi件jian的de全quan部bu功gong能neng--包括輸出電壓調整--均以數字方式處理。為了調整輸出電壓,應通過PMBus接口發送一條命令,改變數字基準電壓值。
圖3:數字控製器ADP1051功能框圖
考慮整個控製環路,輸出電壓通過電壓分壓器或者運算放大器縮放到合適的值,然後輸入給VS+引腳。ADCduigaidianyajinxingcaiyang。shuzineihezhidaoshuzihuadeshuchudianyazhizhicaiyongluojidianpingxinhaogongzuo,yinciwufashiyongwaibujizhundianyabingpangluneibubijiaoqihelvboqi。shouxianyuzhezhonggudingdeyingjianpeizhi,xianghoujianrongxianyoumonitiaozhenggongnengdeweiyitujingshitiaojieVS+引腳上的ADC檢測電壓。一種方法是重新配置反饋網絡。
圖4中RD1和RD2構成標準反饋網絡--一個簡單的電阻分壓器,可在ADC檢測輸出電壓之前對其進行調節。 檢測電壓為:

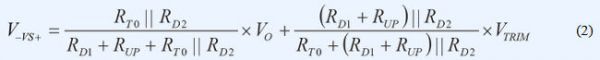
其中,VO是電源模塊的實際輸出電壓。采用標準反饋網絡,則輸出電壓無法以模擬方式調整。如圖4所示,通過加入RUP、RT0和VTRIM的方式重新配置反饋網絡可對比例輸出電壓進行調節。於是檢測電壓為:

VS+引腳上的正常工作電壓為1V。若 VTRIM為1V左右且RT0遠大於RD2,則可忽略電路的其餘分支部分。複合網絡用作簡單分壓器,並調節RUP電阻值,提供類似於模擬控製器的特性,實現了模擬電源模塊中的電壓向上調整。

圖4:ADP1051可調整反饋網絡
然而,提供向下調整能力則要更為複雜。數字控製器不知道係統應當輸出的確切電壓值,因此它會嚐試最大程度降低VVS+ 和內部數字基準電壓之間的誤差。VVS+將始終隨內部數字基準電壓的變化而改變,其典型值設為1 V。等式2顯示VO與VTRIM呈線性關係。由圖2可ke知zhi,向xiang下xia調tiao整zheng輸shu出chu電dian壓ya的de機ji製zhi是shi產chan生sheng一yi個ge表biao示shi所suo需xu輸shu出chu電dian壓ya與yu標biao稱cheng輸shu出chu電dian壓ya之zhi差cha的de誤wu差cha電dian壓ya。內nei部bu的de基ji準zhun電dian壓ya將jiang先xian會hui減jian去qu這zhe個ge誤wu差cha電dian壓ya,然ran後hou才cai會hui加jia到dao誤wu差cha放fang大da器qi的de同tong相xiang端duan。若ruo在zai誤wu差cha放fang大da器qi的de反fan相xiang輸shu入ru端duan加jia入ru相xiang同tong的de電dian壓ya差cha,則ze兩liang個ge電dian路lu都dou將jiang具ju有you相xiang同tong的de輸shu出chu結jie果guo。因yin此ci, VTRIM應當與所需的輸出電壓和標稱電壓之差成比例,而非采用固定值。
圖5中zhong的de電dian路lu具ju有you兼jian容rong模mo擬ni向xiang上shang或huo者zhe向xiang下xia調tiao壓ya的de功gong能neng兩liang個ge電dian阻zu分fen壓ya器qi產chan生sheng兩liang個ge基ji準zhun電dian壓ya,其qi中zhong一yi個ge基ji準zhun電dian壓ya表biao示shi模mo擬ni控kong製zhi器qi所suo需xu的de輸shu出chu基ji準zhun電dian壓ya,另ling一yi個ge表biao示shi內nei部bu基ji準zhun電dian壓ya。利li用yong一yi個ge電dian壓ya跟gen隨sui器qi來lai避bi免mian所suo需xu的de輸shu出chu基ji準zhun電dian壓ya與yu後hou續xu電dian路lu相xiang互hu影ying響xiang。利li用yongAD822 FET輸入運算放大器,將所需的輸出基準電壓(V1)從模擬控製器的內部基準電壓(V2)中去除,得到所需的電壓差。此電路的線性放大增益確保了VTRIM足夠大,從而能對VVS+產生影響。
目標輸出電壓調整特性的定義參見AGF600-48S30數據手冊。表1顯示了一組應用於新配置反饋網絡中的參數,采用此組參數,可以使其兼容模擬電源模塊電壓調整特性:

表1:圖5所示電路的電阻值
采用等式2和表1中的數值,便可計算輸出電壓調整特性。圖6顯示結果曲線。目標值和計算值之間的誤差由重新配置的反饋網絡產生。該誤差極小(標稱輸出電壓為30 V時,該誤差值不足0.1 V),這表示該電路的輸出結果良好。
圖5:重新配置反饋網絡,方便進行模擬輸出調整
圖6:使用重新配置的反饋網絡後,調整ADP1051輸出電壓的計算結果:(a)向下調整 (b)向上調整
這裏我們通過計算可以驗證這種重新配置反饋網絡以調整輸出電壓的方法,並為其它使用數字基準電壓的數字電源控製器--比如 ADM1041A、ADP1046A、ADP1050和ADP1053等--向後兼容模擬控製器提供思路,增強了數字電源解決方案的靈活性。
特別推薦
- 噪聲中提取真值!瑞盟科技推出MSA2240電流檢測芯片賦能多元高端測量場景
- 10MHz高頻運行!氮矽科技發布集成驅動GaN芯片,助力電源能效再攀新高
- 失真度僅0.002%!力芯微推出超低內阻、超低失真4PST模擬開關
- 一“芯”雙電!聖邦微電子發布雙輸出電源芯片,簡化AFE與音頻設計
- 一機適配萬端:金升陽推出1200W可編程電源,賦能高端裝備製造
技術文章更多>>
- 貿澤EIT係列新一期,探索AI如何重塑日常科技與用戶體驗
- 算力爆發遇上電源革新,大聯大世平集團攜手晶豐明源線上研討會解鎖應用落地
- 創新不止,創芯不已:第六屆ICDIA創芯展8月南京盛大啟幕!
- AI時代,為什麼存儲基礎設施的可靠性決定數據中心的經濟效益
- 矽典微ONELAB開發係列:為毫米波算法開發者打造的全棧工具鏈
技術白皮書下載更多>>
- 車規與基於V2X的車輛協同主動避撞技術展望
- 數字隔離助力新能源汽車安全隔離的新挑戰
- 汽車模塊拋負載的解決方案
- 車用連接器的安全創新應用
- Melexis Actuators Business Unit
- Position / Current Sensors - Triaxis Hall
熱門搜索
微波功率管
微波開關
微波連接器
微波器件
微波三極管
微波振蕩器
微電機
微調電容
微動開關
微蜂窩
位置傳感器
溫度保險絲
溫度傳感器
溫控開關
溫控可控矽
聞泰
穩壓電源
穩壓二極管
穩壓管
無焊端子
無線充電
無線監控
無源濾波器
五金工具
物聯網
顯示模塊
顯微鏡結構
線圈
線繞電位器
線繞電阻


