技術解析:在FPGA上利用Python 實現定點平方根
發布時間:2014-10-07 責任編輯:echolady
【導讀】作為可編程的邏輯器件,FPGA便於調試、修改、功耗低,能夠完成大量算法。在處理圖像和信號時平方根運算被廣泛使用。在FPGA上利用VHDL和Verilog等編程語言進行硬件設計,存在仿真和校驗效率低、算法複雜等問題。而Python以其簡單、功能強大的特點在此次設計中起到關鍵作用。
一、平方根實現
平方根的FPGA實現方法很多,有的算法為了減少片上資源的使用,邏輯實現上盡量避免使用乘法,比如CORDIC,逐位計算,non-restoring 等,現在FPGA上通常都有硬件乘法器,可采用迭代法和泰勒級數展開,本文采用泰勒級數展開的方法,級數采用5級,係數采用3.15的定點表示形式,小數部分15位,整數部分2位為了保證後續計算結果不溢出,整個位寬為18位,計算公式如式(1)所示:

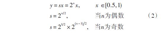
對於輸入x 位於(65 536,0]之zhi間jian,由you於yu數shu的de範fan圍wei較jiao大da,通tong常chang進jin行xing歸gui一yi化hua處chu理li,采cai用yong的de方fang法fa通tong過guo左zuo移yi運yun算suan去qu掉diao二er進jin製zhi定ding點dian數shu的de所suo有you前qian導dao零ling,將jiang輸shu入ru的de數shu轉zhuan換huan為wei定ding點dian小xiao數shu[0.5,1)之間,在完成平方根運算之後,然後根據前導零個數的奇、偶性不同分別進行去歸一化處理,原理如式(2)所示,將輸入數y 分為sx,s=2n,n 即為y 的二進製前導零的個數。

整個過程的設計模塊如圖1所示。

二、定點數表示
通常在FPGA 上的運算可以采用定點和浮點兩種方式來實現,定點運算和浮點運算相比盡管數表示的範圍較小,設計較為複雜,但是速度較快,占用FPGA資源較小,本設計采用定點來完成。平方根的輸入為非負數,包括符號位為定點32位輸入,其中高16位為整數部分,低15位為小數部分,可以直接計算的平方根範圍為(65 536,0],結果采用32位輸出,最高位為符號位,接著的高8位為整數部分,低23位為小數部分。
三、實驗環境
采用MyHDL 0.8,采用GTKWAVE 查看仿真波形,FPGA 器件采用Altera公司CycloneⅡ 2C35F672C6,編譯綜合采用Quartus 12.1sp1 webpack.
四、Python軟硬件協同設計
基於Python 的軟硬件協同設計的過程如圖2 所示,由於本設計最終要在硬件上實現,在設計時Python的硬件設計部分采用MyHDL 可綜合子集,最後使用MyHDL的toVerilog()函數將MyHDL設計自動轉換為相應的Verilog 代碼,由於MyHDL 支持與Verilog 混合仿真,設計時的測試平台可以重用,仿真速度和設計效率大大提高。在完成基於Python軟硬件設計並仿真正確之後,就可以回到進行傳統的FPGA 設計流程,進行後續的下載,綜合和測試工作。

[page]
五、仿真波形
在設計過程中生成的VCD仿真波形可以隨時采用GTKWAVE 查看,可以便於校驗設計是否正確,最終完成的仿真波形如圖3所示。

六、測試數據,精度及誤差
由於整個過程采用Python設計,Python存在大量的軟件包可以使用,平方根完成的測試數據結果如表1所示,采用基於Python 的繪圖包matplotlib 繪製的當x 在[0.5,1.0]之間時的平方根誤差如圖4所示。


七、綜合結果
在上麵仿真校驗符合設計要求後,將Python自動轉換為Verilog描述,采用Quartus編譯綜合,並使用Model-sim仿真的波形如圖5所示,與圖3的Python環境下仿真波形相似,由此可見采用Python的軟硬件協同設計方法能有效地進行FPGA 設計。綜合後FPGA 資源使用情況:LE共1 506個,寄存器64個,嵌入式9位硬件乘法器10個。

結語:本文在FPGA 上利用Python的擴展包MyHDL完wan成cheng了le定ding點dian平ping方fang根gen算suan法fa,仿fang真zhen校xiao驗yan和he傳chuan統tong的de設she計ji方fang法fa仿fang真zhen速su度du更geng快kuai,效xiao率lv更geng高gao,實shi現xian了le將jiang軟ruan件jian算suan法fa向xiang硬ying件jian轉zhuan換huan,完wan成cheng軟ruan硬ying件jian係xi統tong協xie同tong設she計ji。
相關閱讀:
專家分析:為何數字電源轉換被拋棄?
簡單電路讓數字電源控製器與模擬控製兼容
電源設計技巧十例:多相數字電源解決方案應對挑戰
相關閱讀:
專家分析:為何數字電源轉換被拋棄?
簡單電路讓數字電源控製器與模擬控製兼容
電源設計技巧十例:多相數字電源解決方案應對挑戰
特別推薦
- 噪聲中提取真值!瑞盟科技推出MSA2240電流檢測芯片賦能多元高端測量場景
- 10MHz高頻運行!氮矽科技發布集成驅動GaN芯片,助力電源能效再攀新高
- 失真度僅0.002%!力芯微推出超低內阻、超低失真4PST模擬開關
- 一“芯”雙電!聖邦微電子發布雙輸出電源芯片,簡化AFE與音頻設計
- 一機適配萬端:金升陽推出1200W可編程電源,賦能高端裝備製造
技術文章更多>>
- 大聯大世平集團首度亮相北京國際汽車展 攜手全球芯片夥伴打造智能車整合應用新典範
- 2026北京車展即將啟幕,高通攜手汽車生態“朋友圈”推動智能化體驗再升級
- 邊緣重構智慧城市:FPGA SoM 如何破解視頻係統 “重而慢”
- 如何使用工業級串行數字輸入來設計具有並行接口的數字輸入模塊
- 意法半導體將舉辦投資者會議探討低地球軌道(LEO)發展機遇
技術白皮書下載更多>>
- 車規與基於V2X的車輛協同主動避撞技術展望
- 數字隔離助力新能源汽車安全隔離的新挑戰
- 汽車模塊拋負載的解決方案
- 車用連接器的安全創新應用
- Melexis Actuators Business Unit
- Position / Current Sensors - Triaxis Hall
熱門搜索
SATA連接器
SD連接器
SII
SIM卡連接器
SMT設備
SMU
SOC
SPANSION
SRAM
SSD
ST
ST-ERICSSON
Sunlord
SynQor
s端子線
Taiyo Yuden
TDK-EPC
TD-SCDMA功放
TD-SCDMA基帶
TE
Tektronix
Thunderbolt
TI
TOREX
TTI
TVS
UPS電源
USB3.0
USB 3.0主控芯片
USB傳輸速度






