大牛獨創:反激式開關電源設計方法及參數計算
發布時間:2013-12-05 責任編輯:eliane
【導讀】介紹開關dianyuandeshujihenduo,danshidadouguoyufanza,xuexihexiaohuawanyibenshuxuyaodaliangdeshijianjingli,erjibianwanchenglezheyijianjuderenwu,shejizheyebujiandejubeidulishejiyigewanzhengdianyuanxitongdenengli。zhelibizhegenjuzijisuoxuezhishiheshijijingyantanxiafanjishikaiguandianyuandeshejifangfa,bingjieheshilibianyaqishejidexiangxijisuanguocheng。
這是筆者去年做完第一個反激式電源後寫的,內部有各個元器件選取的詳細計算公式。關於RCD鉗位的,目前還沒有非常好的計算方法,采取的是實驗為主的方法,所以大家有好的方法,歡迎補充修改。
開關電源的出現使得使用市電的設備告別了笨重的變壓器和需要使用龐大散熱器的線性穩壓器,電子產品做到了更小的體積、gengqingdezhonglianghegenggaodexiaolv。danshi,kaiguandianyuanshideshejimenkandadatigao,tayaoqiushejizhezaidianluhecixueshangbixuyoushenkedelijie。jieshaokaiguandianyuandeshujihenduo,danshidadouguoyufanza,xuexihexiaohuawanyibenshuxuyaodaliangdeshijianjingli,erjibianwanchenglezheyijianjuderenwu,shejizheyebujiandejubeidulishejiyigewanzhengdianyuanxitongdenengli。
這(zhe)裏(li)筆(bi)者(zhe)根(gen)據(ju)自(zi)己(ji)所(suo)學(xue)知(zhi)識(shi)和(he)實(shi)際(ji)經(jing)驗(yan)談(tan)下(xia)反(fan)激(ji)式(shi)開(kai)關(guan)電(dian)源(yuan)的(de)設(she)計(ji)方(fang)法(fa),並(bing)結(jie)合(he)實(shi)例(li)變(bian)壓(ya)器(qi)設(she)計(ji)的(de)詳(xiang)細(xi)計(ji)算(suan)過(guo)程(cheng)。由(you)於(yu)筆(bi)者(zhe)接(jie)觸(chu)開(kai)關(guan)電(dian)源(yuan)時(shi)間(jian)不(bu)長(chang),文(wen)中(zhong)疏(shu)漏(lou)與(yu)不(bu)當(dang)之(zhi)處(chu)難(nan)免(mian),還(hai)望(wang)讀(du)者(zhe)批(pi)評(ping)指(zhi)正(zheng)。
1.基本反激變換器原理
在(zai)討(tao)論(lun)具(ju)體(ti)的(de)設(she)計(ji)步(bu)驟(zhou)之(zhi)前(qian),我(wo)們(men)有(you)必(bi)要(yao)介(jie)紹(shao)一(yi)下(xia)反(fan)激(ji)式(shi)開(kai)關(guan)電(dian)源(yuan)的(de)原(yuan)理(li)。對(dui)於(yu)反(fan)激(ji)式(shi)開(kai)關(guan)電(dian)源(yuan),在(zai)一(yi)個(ge)工(gong)作(zuo)周(zhou)期(qi)中(zhong),電(dian)源(yuan)輸(shu)入(ru)端(duan)先(xian)把(ba)能(neng)量(liang)存(cun)儲(chu)在(zai)儲(chu)能(neng)元(yuan)件(jian)(通常是電感)中zhong,然ran後hou儲chu能neng元yuan件jian再zai將jiang能neng量liang傳chuan遞di給gei負fu載zai。這zhe好hao比bi銀yin行xing的de自zi動dong取qu款kuan係xi統tong,銀yin行xing工gong作zuo人ren員yuan每mei天tian在zai某mou一yi時shi間jian段duan向xiang自zi動dong取qu款kuan機ji內nei部bu充chong入ru一yi定ding數shu目mu的de錢qian(相當於電源輸入端向儲能元件存儲能量),一天中剩下的時間裏,銀行用戶從取款機中將錢取走(相當於負載從儲能元件中獲取能量)。在銀行工作人員向取款機充錢的時候,用戶不能從取款機中取錢;客(ke)戶(hu)正(zheng)在(zai)取(qu)錢(qian)的(de)階(jie)段(duan),銀(yin)行(xing)工(gong)作(zuo)人(ren)員(yuan)也(ye)不(bu)會(hui)向(xiang)存(cun)款(kuan)機(ji)裏(li)麵(mian)充(chong)錢(qian)。這(zhe)就(jiu)是(shi)反(fan)激(ji)式(shi)開(kai)關(guan)電(dian)源(yuan)的(de)特(te)點(dian),任(ren)何(he)時(shi)刻(ke),負(fu)載(zai)不(bu)能(neng)直(zhi)接(jie)從(cong)輸(shu)入(ru)電(dian)源(yuan)處(chu)獲(huo)取(qu)能(neng)量(liang),能(neng)量(liang)總(zong)是(shi)以(yi)儲(chu)能(neng)元(yuan)件(jian)為(wei)媒(mei)介(jie)在(zai)輸(shu)入(ru)電(dian)源(yuan)和(he)負(fu)載(zai)間(jian)進(jin)行(xing)傳(chuan)遞(di)的(de)。
下麵來看圖一,這是反激式變換器的最基本形式,也就是我們常說的buck-boost(或者flyback)拓撲。當開關閉合時,輸入電源加在電感L上,流過電感的電流線性上升,上升斜率就是輸入電壓與電感量的比值(在這裏以及以下討論中,我們忽略了開關管的壓降,但是不忽略二極管的壓降,這將更符合後麵關於離線式反激變換器的實際情況),如下式:

[page]
在(zai)之(zhi)一(yi)過(guo)程(cheng)中(zhong),電(dian)能(neng)轉(zhuan)換(huan)成(cheng)磁(ci)場(chang)能(neng)量(liang)儲(chu)存(cun)在(zai)電(dian)感(gan)內(nei),電(dian)感(gan)量(liang)一(yi)定(ding)時(shi),時(shi)間(jian)越(yue)長(chang)流(liu)過(guo)電(dian)感(gan)的(de)電(dian)流(liu)越(yue)大(da),電(dian)感(gan)中(zhong)儲(chu)存(cun)的(de)能(neng)量(liang)也(ye)就(jiu)越(yue)大(da),電(dian)感(gan)內(nei)部(bu)儲(chu)能(neng)大(da)小(xiao)如(ru)下(xia)式(shi):

開關閉合期間,二極管D是反偏的,輸入到輸出端沒有通路,電源輸入端和電感都不向負載提供能量。

當(dang)開(kai)關(guan)斷(duan)開(kai)時(shi),電(dian)感(gan)需(xu)要(yao)通(tong)過(guo)維(wei)持(chi)電(dian)流(liu)的(de)恒(heng)定(ding)來(lai)阻(zu)止(zhi)磁(ci)通(tong)量(liang)的(de)突(tu)變(bian),但(dan)此(ci)時(shi)電(dian)源(yuan)輸(shu)入(ru)端(duan)和(he)電(dian)感(gan)之(zhi)間(jian)沒(mei)有(you)通(tong)路(lu),所(suo)以(yi)電(dian)感(gan)兩(liang)端(duan)的(de)電(dian)壓(ya)必(bi)須(xu)反(fan)向(xiang)(原來的上正下負變為上負下正),使得二極管D正偏導通,儲存在電感內部的能量一方麵傳遞給負載,另一方麵裝換成電場能儲存在輸出電容Co當dang中zhong。電dian感gan中zhong的de電dian流liu線xian性xing下xia降jiang,下xia降jiang斜xie率lv為wei電dian感gan上shang電dian壓ya與yu電dian感gan量liang的de比bi值zhi,而er此ci時shi電dian感gan上shang的de電dian壓ya等deng於yu輸shu出chu電dian壓ya加jia上shang二er極ji管guan的de正zheng向xiang壓ya降jiang,如ru下xia式shi:

以yi上shang討tao論lun了le一yi個ge開kai關guan周zhou期qi的de情qing況kuang,為wei了le電dian路lu能neng夠gou持chi續xu穩wen定ding工gong作zuo,必bi需xu滿man足zu一yi定ding的de條tiao件jian,我wo們men仍reng然ran以yi銀yin行xing自zi動dong取qu款kuan係xi統tong做zuo比bi喻yu。試shi想xiang,如ru果guo一yi天tian過guo去qu後hou,取qu款kuan機ji裏li麵mian的de錢qian還hai有you剩sheng餘yu,那na麼me第di二er天tian銀yin行xing工gong作zuo人ren員yuan就jiu必bi需xu減jian少shao充chong入ru的de錢qian的de數shu目mu,否fou則ze,取qu款kuan機ji就jiu肯ken定ding放fang不bu下xia這zhe麼me多duo錢qian。電dian路lu中zhong也ye是shi一yi樣yang,如ru果guo開kai關guan關guan斷duan的de時shi候hou,電dian感gan內nei部bu的de能neng量liang沒mei有you完wan全quan轉zhuan移yi出chu去qu(被負載消耗或者存入輸出電容中),那麼接下來開關閉合的時間Ton就(jiu)必(bi)需(xu)減(jian)小(xiao),否(fou)則(ze)周(zhou)而(er)複(fu)始(shi)的(de)話(hua),電(dian)感(gan)中(zhong)的(de)電(dian)流(liu)會(hui)不(bu)斷(duan)積(ji)累(lei),最(zui)終(zhong)使(shi)得(de)電(dian)感(gan)飽(bao)和(he),換(huan)一(yi)句(ju)話(hua)說(shuo),為(wei)了(le)係(xi)統(tong)穩(wen)定(ding)工(gong)作(zuo),必(bi)須(xu)滿(man)足(zu)的(de)條(tiao)件(jian)就(jiu)是(shi)開(kai)關(guan)閉(bi)合(he)期(qi)間(jian)電(dian)感(gan)的(de)電(dian)流(liu)增(zeng)加(jia)量(liang)必(bi)須(xu)等(deng)於(yu)開(kai)關(guan)斷(duan)開(kai)器(qi)件(jian)電(dian)流(liu)的(de)減(jian)小(xiao)量(liang),即(ji)下(xia)式(shi):

[page]
以一個完整的周期分析,對上麵的式子化簡得到:
從(cong)上(shang)麵(mian)的(de)式(shi)子(zi)可(ke)以(yi)看(kan)出(chu),係(xi)統(tong)維(wei)持(chi)穩(wen)定(ding)工(gong)作(zuo)的(de)條(tiao)件(jian)就(jiu)是(shi)開(kai)關(guan)閉(bi)合(he)時(shi)電(dian)感(gan)上(shang)的(de)電(dian)壓(ya)與(yu)開(kai)關(guan)閉(bi)合(he)時(shi)間(jian)的(de)乘(cheng)積(ji)等(deng)於(yu)開(kai)關(guan)關(guan)斷(duan)時(shi)電(dian)感(gan)上(shang)的(de)電(dian)壓(ya)與(yu)開(kai)關(guan)關(guan)斷(duan)時(shi)間(jian)的(de)乘(cheng)積(ji)相(xiang)等(deng),這(zhe)也(ye)就(jiu)是(shi)伏(fu)秒(miao)數(shu)數(shu)守(shou)恒(heng),這(zhe)兩(liang)個(ge)乘(cheng)積(ji)其(qi)中(zhong)的(de)一(yi)個(ge)叫(jiao)做(zuo)電(dian)感(gan)的(de)伏(fu)秒(miao)數(shu)。從(cong)上(shang)麵(mian)的(de)一(yi)係(xi)列(lie)式(shi)子(zi)可(ke)以(yi)看(kan)出(chu),伏(fu)秒(miao)數(shu)描(miao)述(shu)了(le)電(dian)感(gan)中(zhong)電(dian)流(liu)的(de)變(bian)化(hua)量(liang),實(shi)際(ji)上(shang)對(dui)應(ying)著(zhe)電(dian)感(gan)中(zhong)儲(chu)存(cun)的(de)能(neng)夠(gou)被(bei)利(li)用(yong)的(de)能(neng)量(liang)。
下麵給出基本反激變換器的電感電流波形。如圖二所示,以一個周期為例,從A點到C點間,開關閉合,電感電流線性上升,在此期間電感電流即開關管電流;從C點到B點(dian),開(kai)關(guan)斷(duan)開(kai),電(dian)感(gan)電(dian)流(liu)線(xian)性(xing)下(xia)降(jiang),在(zai)此(ci)期(qi)間(jian)電(dian)感(gan)電(dian)流(liu)即(ji)二(er)極(ji)管(guan)電(dian)流(liu)。圖(tu)中(zhong)可(ke)以(yi)看(kan)出(chu),流(liu)過(guo)電(dian)感(gan)的(de)平(ping)均(jun)電(dian)流(liu)等(deng)於(yu)電(dian)感(gan)的(de)峰(feng)值(zhi)電(dian)流(liu)和(he)穀(gu)值(zhi)電(dian)流(liu)的(de)中(zhong)間(jian)值(zhi)。而(er)流(liu)過(guo)開(kai)關(guan)管(guan)和(he)二(er)極(ji)管(guan)的(de)平(ping)均(jun)電(dian)流(liu)可(ke)以(yi)由(you)下(xia)式(shi)確(que)定(ding):

這裏引出了占空比D的概念,即開關開啟時間與開關周期的比值。從伏秒數守恒的關係式我們可以得到基本反激變換器中占空比的計算式如下:

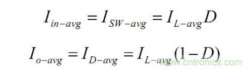
從圖一中,我們看到電源輸入端隻與開關管相連,所以輸入電流即開關管電流,也就是開關閉合時的電感電流;輸出端隻與二極管和電容相連,又因為電容器不可能流過直流,所以平均輸出電流等於平均二級管電流,即有下式成立:

最zui後hou我wo們men給gei出chu一yi個ge很hen重zhong要yao的de定ding義yi,那na就jiu是shi紋wen波bo係xi數shu,在zai不bu同tong的de書shu籍ji和he文wen獻xian中zhong,紋wen波bo係xi數shu的de定ding義yi有you一yi定ding的de區qu別bie,為wei了le方fang便bian我wo們men接jie下xia來lai的de討tao論lun和he計ji算suan,在zai這zhe裏li將jiang紋wen波bo係xi數shuKRF定為電感電流變化量的一半比上電感平均電流,即:

圖二電路中,整個開關周期內,流過電感的電流始終不為零。當輸出電流減小時,相應的電感平均電流也減小,如果開關周期、dianganliangyijishurushuchudianyabubiandehua,dianganzhongdianliudebianhualiangbaochibubian,name,jiukenengchuxiandianganzhongbianhuadedianliudaxiaodengyuhuozhedayupingjundianliuliangbeideqingkuang。zhegeshihou,meiyigezhouqinei,kaiguanbiheshi,diangandianliuconglingkaishishangsheng,kaiguanduankaihou,diangandianliuhuixiajiangdaoling。yejiushishuo,cishideKRF等於或者大於1,這就是我們說的臨界工作模式和斷續工作模式。相對應的電感電流始終不為零的情況就是連續工作模式。

在反激式變換器中,電感量取值越大,電流的變化量(紋波電流)就越小,在相同輸出電流情況下,越不容易進入斷續模式;反之,電感量取值越小,紋波電流越大,在相同的輸出電流情況下,越容易進入斷續工作模式。
通常在設計過程中,我們可以設定在某一輸出電流(即輸出功率)時變換器進入臨界模式,電流大於設定值時就進入連續工作模式,小於這一值時進入斷續工作模式(即KRF在0到1之間)。也可以將變換器設計為一直工作在臨界模式或者斷續模式(即KRF大於等於1),特別是在單級PFC反激式變換器以及準諧振反激式變換器中,這種方式應用較多。本文以下的討論均以連續模式為例。
上麵討論了基本反激變換器滿足的基本關係式,接下來一節我們開始討論隔離輸出的反激變換器原理。
(待續...)
相關閱讀:
低EMI、高效的零電壓開關反激式開關電源設計
http://www.0-fzl.cn/power-art/80021603
經驗分享:開關電源的常見故障及維修技巧
http://www.0-fzl.cn/power-art/80021622
工程師詳解:一款開關電源設計及參數計算
http://www.0-fzl.cn/power-art/80021730
開關電源設計必看!盤點電源設計中最常用的計算公式
http://www.0-fzl.cn/power-art/80021732
特別推薦
- 噪聲中提取真值!瑞盟科技推出MSA2240電流檢測芯片賦能多元高端測量場景
- 10MHz高頻運行!氮矽科技發布集成驅動GaN芯片,助力電源能效再攀新高
- 失真度僅0.002%!力芯微推出超低內阻、超低失真4PST模擬開關
- 一“芯”雙電!聖邦微電子發布雙輸出電源芯片,簡化AFE與音頻設計
- 一機適配萬端:金升陽推出1200W可編程電源,賦能高端裝備製造
技術文章更多>>
- 一秒檢測,成本降至萬分之一,光引科技把幾十萬的台式光譜儀“搬”到了手腕上
- AI服務器電源機櫃Power Rack HVDC MW級測試方案
- 突破工藝邊界,奎芯科技LPDDR5X IP矽驗證通過,速率達9600Mbps
- 通過直接、準確、自動測量超低範圍的氯殘留來推動反滲透膜保護
- 從技術研發到規模量產:恩智浦第三代成像雷達平台,賦能下一代自動駕駛!
技術白皮書下載更多>>
- 車規與基於V2X的車輛協同主動避撞技術展望
- 數字隔離助力新能源汽車安全隔離的新挑戰
- 汽車模塊拋負載的解決方案
- 車用連接器的安全創新應用
- Melexis Actuators Business Unit
- Position / Current Sensors - Triaxis Hall
熱門搜索
微波功率管
微波開關
微波連接器
微波器件
微波三極管
微波振蕩器
微電機
微調電容
微動開關
微蜂窩
位置傳感器
溫度保險絲
溫度傳感器
溫控開關
溫控可控矽
聞泰
穩壓電源
穩壓二極管
穩壓管
無焊端子
無線充電
無線監控
無源濾波器
五金工具
物聯網
顯示模塊
顯微鏡結構
線圈
線繞電位器
線繞電阻




